Giải bài tập Toán lớp 6 Bài 26: Phép nhân và phép chia phân số
Video giải Toán 6 Bài 26: Phép nhân và phép chia phân số – Kết nối tri thức
Mở đầu
Giải Toán 6 trang 19 Tập 2
Bài toán mở đầu trang 19 Toán lớp 6 Tập 2: Mẹ Minh dành
tiền lương hàng tháng để chi tiêu trong gia đình.
số tiền chi tiêu đó là tiền bán trú cho Minh. Hỏi tiền bán trú cho Minh bằng bao nhiêu phần tiền lương hàng tháng của mẹ?
Lời giải:
Sau khi học xong bài học này, ta sẽ biết được số tiền bán trú của mình bằng:
phần tiền lương tháng của mẹ.
Trả lời câu hỏi giữa bài
Hoạt động 1 trang 19 Toán lớp 6 Tập 2: Em hãy nhớ lại quy tắc nhân hai phân số (có tử và mẫu đều dương), rồi tính

Lời giải:
Quy tắc nhân hai phân số (có tử và mẫu đều dương) ta nhân các tử với nhau và nhân các mẫu với nhau.
Ta có:

Luyện Tập 1 trang 19 Toán lớp 6 Tập 2: Tính:

Lời giải:

Giải Toán 6 trang 20 Tập 2
Vận dụng 1 trang 20 Toán lớp 6 Tập 2: Tính diện tích hình tam giác biết một cạnh dài
cm, chiều cao ứng với cạnh đó bằng
cm.
Lời giải:
Diện tích hình tam giác là:

Vậy diện tích của tam giác là 
Luyện Tập 2 trang 20 Toán lớp 6 Tập 2: Tính: 
Lời giải:


Hoạt động 2 trang 20 Toán lớp 6 Tập 2: Tính các tích sau: 
Lời giải:

Câu hỏi trang 20 Toán lớp 6 Tập 2: Em hãy tìm phân số nghịch đảo của 11 và
.
Lời giải:

Giải Toán 6 trang 21 Tập 2
Hoạt động 3 trang 21 Toán lớp 6 Tập 2: Em hãy nhắc lại quy tắc chia hai phân số (có tử và mẫu đều dương), rồi tính

Lời giải:
Quy tắc chia hai phân số (có tử và mẫu đều dương), ta nhân số bị chia với phân số nghịch đảo của số chia.

Luyện Tập 3 trang 21 Toán lớp 6 Tập 2: Tính:

Lời giải:

Vận dụng 2 trang 21 Toán lớp 6 Tập 2: Trong một công thức làm bánh, An cần 3/4 cốc đường để làm 9 cái bánh. Nếu An chỉ muốn làm 6 cái bánh thì cần bao nhiêu cốc đường?
Lời giải:
Một cái bánh cần số phần của cốc đường là:

Làm 6 cái bánh cần số phần cốc đường là:

Vậy An làm 6 cái bánh thì cần 1/2 cốc đường.
Bài tập
Bài 6.27 trang 21 Toán lớp 6 Tập 2: Thay dấu “?” bằng số thích hợp

Lời giải:

Ta có bảng sau:

Bài 6.28 trang 21 Toán lớp 6 Tập 2: Tính

Lời giải:


Bài 6.29 trang 21 Toán lớp 6 Tập 2: Tính một cách hợp lí.

Lời giải:

Bài 6.30 trang 21 Toán lớp 6 Tập 2: Mỗi buổi sáng, Nam thường đi xe đạp từ nhà đến trường với vận tốc 15km/h và hết 20 phút. Hỏi quãng đường từ nhà Nam đến trường dài bao nhiêu ki lô mét?
Lời giải:

Quãng đường từ nhà Nam đến trường dài số ki lô mét là:

Vậy quãng đường từ nhà Nam đến trường dài 5km.
Bài 6.31 trang 21 Toán lớp 6 Tập 2: Một hình chữ nhật có chiều dài là
cm, diện tích là
cm2. Tìm chiều rộng của hình chữ nhật.
Lời giải:
Chiều rộng của hình chữ nhật là:

Vậy chiều rộng của hình chữ nhật dài
cm
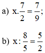
Bài 6.32 trang 21 Toán lớp 6 Tập 2: Tìm x, biết:

Lời giải:

Bài 6.33 trang 21 Toán lớp 6 Tập 2: Lớp 6A có 1/3 số học sinh thích môn Toán. Trong số các học sinh thích môn Toán, có 1/2 số học sinh thích môn Ngữ văn. Hỏi có bao nhiêu phần số học sinh lớp 6A thích cả hai môn Toán và Ngữ văn?
Lời giải:
Số phần số học sinh lớp 6A thích cả môn toán và môn ngữ văn là:

Vậy có 1/6 số học sinh lớp 6A thích cả môn Toán và Ngữ Văn.
Bài giảng Toán 6 Bài 26: Phép nhân và phép chia phân số – Kết nối tri thức
Xem thêm các bài giải SGK Toán lớp 6 Kết nối tri thức hay, chi tiết khác:
Bài 25: Phép cộng và phép trừ phân số
Bài 27: Hai bài toán về phân số
Luyện tập chung trang 25
Bài tập cuối chương 6
Lý thuyết Phép nhân và phép chia phân số
1. Phép nhân hai phân số
– Muốn nhân hai phân số, ta nhân các tử số với nhau và các mẫu số với nhau.
Cho a, b, c, d ∈ ℤ; b≠0; d≠0.
Khi đó phép nhân hai phân số ta có:
Ví dụ 1:

2. Tính chất của phép nhân
Cho
là các phân số với a, b, c, d, e, f ∈ ℤ; b≠0; d≠0; f≠0.
Khi đó ta có các tính chất của phép nhân như sau:
+ Tính giao hoán:
+ Tính kết hợp:
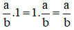
+ Tính nhân với 1:
+ Tính phân phối giữa phép nhân với phép cộng:
Ví dụ 2:

3. Phép chia phân số
a) Phân số nghịch đảo:
Phân số này được gọi là nghịch đảo của phân số kia nếu tích của chúng bằng 1
Cho a, b ∈ ℤ; a, b ≠ 0
Phân số
là phân số nghịch đảo của phân số
vì
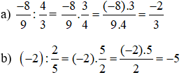
Ví dụ 3:
Phân số
là phân số nghịch đảo của phân số
vì
b) Phép chia phân số
– Muốn chia một phân số cho một phân số khác 0, ta nhân số bị chia với phân số nghịch đảo của số chia.
với a, b, c, d ∈ ℤ; b≠0; c≠0; d≠0
Ví dụ 4:
