Giải bài tập Toán lớp 6 Bài 20: Chu vi và diện tích của một số tứ giác đã học
Video giải Toán 6 Bài 20: Chu vi và diện tích của một số tứ giác đã học – Kết nối tri thức
Trả lời câu hỏi giữa bài
Giải Toán 6 trang 91 Tập 1
Luyện tập 1 trang 91 Toán lớp 6 Tập 1: 1. Một người thợ phải làm các khung thép hình chữ nhật có chiều dài 35 cm, chiều rộng 30 cm để làm đai cho cột bê tông cốt thép. Nếu dùng 260 m dây thép thì người đó sẽ làm được bao nhiêu khung thép như vậy?

2. Một chiếc bàn khung thép được thiết kế như hình bên. Mặt bàn là hình thang cân có hai đáy lần lượt là 1 200 mm, 600 mm và cạnh bên 600 mm. Chiều cao bàn là 730 mm. Hỏi làm một chiếc khung bàn nói trên cần bao nhiêu mét thép (coi mối hàn không đáng kể)?

3. Một thửa ruộng có dạng như hình bên. Nếu trên mỗi mét vuông thu hoạch được 0,8 kg thóc thì thửa ruộng đó thu hoạch được bao nhiêu kilogam thóc?

Lời giải:
1. Đổi 260m = 26 000 cm
Chu vi một khung thép hình chữ nhật là:
(35 + 30). 2 = 130 (cm)
Nếu dùng 260m hay chính là 26 000 cm dây thép thì sẽ làm được số khung thép:
26 000 : 130 = 200 (khung)
Vậy nếu dùng 260m dây thép thì sẽ làm được 200 khung thép.
2. Do mặt bàn là hình thang cân nên có hai cạnh bên đều bằng 600 mm
Chu vi mặt bàn là:
600 + 1 200 + 600. 2 = 3 000 (mm)
Chiều dài 4 chân bàn là: 730. 4 = 2 920 (mm)
Để làm một chiếc khung bàn cần lượng thép là:
3 000 + 2 920 = 5 920 (mm)
Đổi 5 920 mm = 5, 92m.
Vậy để làm một chiếc khung bàn cần 5,92m thép.
3. Thửa ruộng gồm 2 phần: một phần hình chữ nhật và một phần hình thang cân
Diện tích phần thửa ruộng hình chữ nhật là:
15. 50 = 750 (m2)
Diện tích phần thửa ruộng hình thang là:
(50 + 30). 10 : 2 = 400 (m2)
Diện tích thửa ruộng là:
750 + 400 = 1 150 (m2)
Thửa ruộng đó thu hoạch được số kilogam thóc là:
1 150. 0,8 = 920 (kg)
Vậy thửa ruộng đó thu hoạch được 920 kilogam thóc.
Thử thách nhỏ trang 91 Toán lớp 6 Tập 1: Một chiếc móc treo quần áo có dạng hình thang cân (hình bên) được làm từ đoạn dây nhôm dài 60 cm. Phần hình thang cân có đáy nhỏ 15 cm, đáy lớn 25 cm, cạnh bên 7 cm. Hỏi phần còn lại làm móc treo có độ dài bao nhiêu (bỏ qua mối nối)?

Lời giải:
Chu vi hình thang cân là:
15 + 25 + 7. 2 = 54 (cm)
Độ dài phần còn lại làm móc treo là:
60 – 54 = 6 (cm)
Vậy phần còn lại làm móc treo có độ dài 6cm.
Giải Toán 6 trang 92 Tập 1
Hoạt động 1 trang 92 Toán lớp 6 Tập 1: Vẽ hình bình hành trên giấy kẻ ô vuông rồi cắt, ghép thành hình chữ nhật

Lời giải:
Thực hành cắt trên giấy như hình vẽ trên.
Hoạt động 2 trang 92 Toán lớp 6 Tập 1: Từ HĐ 1, hãy so sánh độ dài cạnh, chiều cao tương ứng của hình bình hành với chiều dài, chiều rộng của hình chữ nhật. Từ đó, so sánh diện tích của hình bình hành với diện tích hình chữ nhật.
Lời giải:
Từ HĐ 1 ta thấy độ dài cạnh, chiều cao tương ứng của hình bình hành bằng với chiều dài, chiều rộng của hình chữ nhật.
Từ đó thấy được diện tích của hình bình hành bằng diện tích của hình chữ nhật.
Giải Toán 6 trang 93 Tập 1
Luyện tập 2 trang 93 Toán lớp 6 Tập 1: Trên một mảnh đất hình chữ nhật có chiều dài 12m, chiều rộng 10m, người ta phân chia khu vực để trồng hoa, trồng cỏ như hình bên. Hoa sẽ được trồng ở trong khu vực hình bình hành AMCN, cỏ sẽ trồng ở phần đất còn lại. Tiền công để trả cho mỗi mét vuông trồng hoa là 50 000 đồng, trồng cỏ là 40 000 đồng. Tính số tiền công cần chi trả để trồng hoa và cỏ.

Lời giải:
Dễ thấy trong hình bình hành AMCN chiều cao tương ứng của cạnh AN là MN và MN = AB = 10m
Do đó diện tích hình bình hành AMCN là:
6. 10 = 60 (m2)
Diện tích hình chữ nhật ABCD là:
10. 12 = 120 (m2)
Phần diện tích còn lại trồng cỏ là:
120 – 60 = 60 (m2)
Số tiền công cần để chi trả trồng hoa là:
50 000. 60 = 3 000 000 (đồng)
Số tiền công cần để chi trả trồng cỏ là:
40 000. 60 = 2 400 000 (đồng)
Số tiền công cần để chi trả trồng hoa và cỏ là:
3 000 000 + 2 400 000 = 5 400 000 (đồng)
Vậy số tiền công cần để chi trả trồng hoa và cỏ là 5 400 000 đồng.
Hoạt động 3 trang 93 Toán lớp 6 Tập 1: Vẽ hình thoi trên giấy kẻ ô vuông và cắt, ghép thành hình chữ nhật

Lời giải:
Thực hành cắt, ghép như hình vẽ trên.
Hoạt động 4 trang 93 Toán lớp 6 Tập 1: Từ HĐ 3, hãy so sánh các đường chéo của hình thoi với chiều rộng và chiều dài của hình chữ nhật. Từ đó so sánh diện tích hình thoi ban đầu với diện tích hình chữ nhật.
Lời giải:
Từ HĐ 3 ta nhận thấy một đường chéo bằng với chiều rộng của hình chữ nhật, đường chéo còn lại bằng một nửa chiều dài hình chữ nhật
Từ đó thấy được diện tích hình thoi bằng một nửa diện tích hình chữ nhật
Giải Toán 6 trang 94 Tập 1
Luyện tập 3 trang 94 Toán lớp 6 Tập 1: Trong mảnh vườn hình chữ nhật có chiều dài 8 m, chiều rộng 5 m, người ta trồng hoa hồng trong một mảnh đất hình thoi như hình bên. Nếu mỗi mét vuông trồng 4 cây hoa thì cần bao nhiêu cây hoa để trồng trên mảnh đất hình thoi đó?

Lời giải:
Dễ thấy độ dài hai đường chéo hình thoi là chiều dài và chiều rộng của hình chữ nhật
Diện tích hình thoi là:

Cần số cây hoa trồng trên mảnh đất hình thoi đó là:
20. 4 = 80 (cây)
Vậy cần 80 cây hoa trồng trên mảnh đất hình thoi đó.
Bài tập
Bài 4.16 trang 94 Toán lớp 6 Tập 1: Tính chu vi và diện tích của hình chữ nhật ABCD có AB = 4 cm; BC = 6 cm.
Lời giải:
Chu vi hình chữ nhật ABCD là:
2. (AB + BC) = 2. (4 + 6) = 2. 10 = 20 (cm)
Diện tích của hình chữ nhật ABCD là:
AB. BC = 4. 6 = 24(cm2)
Vậy chu vi hình chữ nhật là 20cm, diện tích của hình chữ nhật là 24 cm2.
Bài 4.17 trang 94 Toán lớp 6 Tập 1: Hình thoi MNPQ có cạnh MN = 6 cm. Tính chu vi hình thoi MNPQ
Lời giải:
Chu vi hình thoi MNPQ là:
4. MN = 4. 6 = 24 (cm)
Vậy chu vi hình thoi MNPQ là 24 cm.
Bài 4.18 trang 94 Toán lớp 6 Tập 1: Một khu vườn hình chữ nhật có chiều dài 15m, chiều rộng 10 m như hình dưới, cổng vào có độ rộng bằng
chiều dài, phần còn lại là hàng rào. Hỏi hàng rào của khu vườn dài bao nhiêu mét?

Lời giải:
Chu vi của khu vườn hình chữ nhật là:
2. (10 + 15) = 50 (m)
Chiều dài của cổng vào là:
15.
= 5 (m)
Chiều dài của hàng rào là:
50 – 5 = 45 (m)
Vậy chiều dài của hàng rào là 45m.
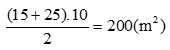
Bài 4.19 trang 94 Toán lớp 6 Tập 1: Một mảnh ruộng hình thang có kích thước như hình dưới. Biết năng suất lúa là 0,8 kg/m2.

a) Tính diện tích mảnh ruộng.
b) Hỏi mảnh ruộng cho sản lượng là bao nhiêu kilogam thóc?
Lời giải:
a) Diện tích mảnh ruộng hình thang là:

b) Sản lượng của mảnh ruộng là:
200. 0,8 = 160 (kg)
Vậy diện tích mảnh ruộng là 200 m2 và sản lượng 160 kg thóc.
Bài 4.20 trang 94 Toán lớp 6 Tập 1: Mặt sàn của một ngôi nhà được thiết kế như hình dưới (đơn vị m). Hãy tính diện tích mặt sàn.

Lời giải:
Cách 1:
Mặt sàn ngôi nhà đó là hình chữ nhật được tạo bởi 4 hình chữ nhật nhỏ.
Chiều dài của mặt sàn ngôi nhà là:
8 + 6 = 14 (m)
Chiều rộng của mặt sàn ngôi nhà là:
6 + 2 = 8 (m)
Diện tích mặt sàn của ngôi nhà là:
14. 8 = 112 (m2)
Vậy diện tích mặt sàn của ngôi nhà là 112 m2.
Cách 2:
Diện tích phòng khách là:
6. 8 = 48 (m2)
Diện tích phòng ăn và bếp là:
6. 6 = 36 (m2)
Diện tích hành lang là:
2. 12 = 24 (m2)
Diện tích WC là:
2. 2 = 4 (m2)
Diện tích mặt sàn là:
48 + 36 + 24 + 4 = 112 (m2)
Vậy diện tích mặt sàn của ngôi nhà là 112 m2.
Bài 4.21 trang 94 Toán lớp 6 Tập 1: Tính diện tích mảnh đất hình thang ABCD như hình dưới, biết AB = 10 m; DC = 25 m và hình chữ nhật ABED có diện tích là 150m2.

Lời giải:
Chiều dài của đoạn AD là:
150 : 10 = 15 (m)
Diện tích mảnh đất là:

Vậy diện tích mảnh đất hình thang ABCD là 262, 5 m2.
Bài 4.22 trang 94 Toán lớp 6 Tập 1: Một gia đình dự định mua gạch men loại hình vuông cạnh 30 cm để lát nền của căn phòng hình chữ nhật có chiều rộng 3 m, chiều dài 9 m. Tính số viên gạch cần mua để lát căn phòng đó.
Lời giải:
Đổi 30 cm = 0,3 m
Diện tích một viên gạch men hình vuông là là:
0,3. 0,3 = 0,09 (m2)
Diện tích căn phòng là:
3. 9 = 27 (m2)
Số viên gạch cần lát căn phòng đó là:
27 : 0,09 = 300 (viên)
Vậy số viên gạch cần lát căn phòng đó là 300 viên.
Lý thuyết Chu vi và diện tích của một số tứ giác đã học
1. Chu vi, diện tích của hình vuông, hình chữ nhật, hình thang
Công thức:
Hình vuông cạnh a:

Chu vi: C = 4a.
Diện tích: S = a2.
Hình chữ nhật có chiều dài là a, chiều rộng là b:

Chu vi: C = 2(a + b).
Diện tích: S = a.b.
Hình thang có độ dài hai cạnh đáy là a, b chiều cao h:

Chu vi: C = a + b + c + d.
Diện tích: S = (a + b).h:2.
Ví dụ 1. Bác Khôi muốn lát nền cho một căn phòng hình chữ nhật có chiều dài 6m, chiều rộng 3m. Loại gạch lát nền được sử dụng là hình vuông có cạnh 30cm. Hỏi bác Khôi phải sử dụng bao nhiêu viên gạch (coi mạch vữa không đáng kể).
Lời giải
Diện tích căn phòng hình chữ nhật là: 6.3 = 18 (m2).
Diện tích một viên gạch lát nền là: 30.30 = 900(cm2).
Đổi 18 m2 = 180 000 (cm2).
Số viên gạch cần để lát đủ căn phòng là: 180 000:900 = 200 (viên).
Ví dụ 2. Một thửa ruộng có dạng như hình bên. Nếu trên mỗi mét vuông thu hoạch được 0,8kg thóc thì thửa ruộng đó thu hoạch được bao nhiêu ki – lô – gam thóc?

Lời giải
Diện tích thửa ruộng hình thang là: (60 + 30).10:2 = 450 (m2).
Trên thửa ruộng đó thu hoạch được số ki – lô – gam thóc là: 450.0,8 = 360 (kg).
Vậy trên thửa ruộng đó thu hoạch được 360 ki – lô – gam thóc.
2. Chu vi, diện tích hình bình hành, hình thoi.
Hình bình hành:

Chu vi: C = 2(a + b).
Diện tích: S = a.h.
Hình thoi:

Chu vi: C = 4.m.
Diện tích: S =
ab .
Ví dụ 3. Trên một mảnh đất hình chữ nhật có chiều dài 12m, chiều rộng 10m.
a) Người nông dân định làm một tường rào bao quanh khu vườn. Hỏi tường rào đó dài bao nhiêu m?
b) Trên khu vườn nó người nông dân phân chia khu vực để trồng hoa, trồng cỏ như hình bên. Hoa sẽ được trồng ở khu vực hình bình hành AMCN, cỏ sẽ được trồng ở phần đất còn lại. Tính diện tích trồng hoa và trồng cỏ.

Lời giải
a) Chu vi của khu vườn hình chữ nhật là: 2.(12 + 10) = 2.22 = 44 (m).
Vậy độ dài của tường rào là: 44m.
b) Diện tích trồng hoa là: 6.10 = 60 (m2).
Diện tích khu vườn hình chữ nhật: 12.10 = 120 (m2).
Diện tích trồng cỏ là: 120 – 60 = 60 (m2).
Ví dụ 4. Hình thoi MNPQ có độ dài hai đường chéo 5m và 4m. Diện tích hình thoi MNPQ bằng bao nhiêu?
Lời giải
Diện tích hình thoi MNPQ là:
.5.4 = 10(m2) .
Vậy diện tích hình thoi MNPQ là 10 m2.
Bài giảng Toán 6 Bài 20: Chu vi và diện tích của một số tứ giác đã học – Kết nối tri thức
Xem thêm các bài giải SGK Toán lớp 6 Kết nối tri thức hay, chi tiết khác:
Bài 19: hình chữ nhật. Hình thoi hình bình hành. Hình thang cân
Bài tập cuối Chương 4
Bài 21: Hình có trục đối xứng
Bài 22: Hình có tâm đối xứng