Trắc nghiệm Toán lớp 6 Chương 2: Tính chia hết trong tập hợp các số tự nhiên
Phần 1. Trắc nghiệm Chương 2: Tính chia hết trong tập hợp các số tự nhiên
I. Nhận biết
Câu 1. Kết quả khi phân tích 204 ra tích các thừa số nguyên tố:
A. 2.3.17;
B. 2.32.17;
C. 22.32.17;
D. 22.3.17.
Lời giải
Ta có:
|
204 102 51 17 1 |
2 2 3 17 |
Vậy 204 = 22.3.17.
Đáp án: D
Câu 2. Không thực hiện phép tính, hãy cho biết tổng(hiệu) nào dưới đây chia hết cho 5.
A. 123 + 50;
B. 145 300 + 34 + 570;
C. 12 760 – 105;
D. 875 – 234 – 120.
Lời giải
Ta có 12 760 có chữ số tận cùng là 0 nên chia hết cho 5;
105 có chữ số tận cùng là 5 nên chia hết cho 5.
Vậy 12 760 – 105 chia hết cho 5.
Đáp án: C
Câu 3. Hợp số là gì:
A. Hợp số là số tự nhiên.
B. Hợp số là số tự nhiên khác 0 có hai ước.
C. Hợp số là số tự nhiên khác 0 có nhiều hơn hai ước.
D. Hợp số là số tự nhiên lớn hơn 1 và có nhiều hơn hai ước.
Lời giải Hợp số là các số tự nhiên lớn hơn 1 có nhiều hơn hai ước.
Đáp án: C
Câu 4. Điền từ thích hợp vào chỗ chấm: “Bội chung nhỏ nhất của hai hay nhiều số tự nhiên là số ……. các bội chung của các số đó.”
A. nhỏ nhất.
B. lớn nhất.
C. nguyên tố.
D. hợp số.
Lời giải Bội chung nhỏ nhất của hai hay nhiều số tự nhiên là số nhỏ nhất các bội chung của các số đó.
Đáp án: A
Câu 5. Điền số thích hợp vào ô trống:
A.
B.
C.
D.
Lời giải
Ta có:

Đáp án: B
Câu 6. Cho các số sau: 112; 345; 256; 1 045; 20 134. Có bao nhiêu số chia hết cho 2.
A. 0;
B. 1;
C. 2;
D. 3.
Lời giải
Các số chia hết cho 2 có chữ số tận cùng là: 0; 2; 4; 6; 8.
Trong các số đã cho các số chia hết cho:112; 256; 20 134.
Vậy có 3 số trong các số đã cho chia hết cho 2.
Đáp án: D
Câu 7. Tìm x {55; 67; 79; 84} sao cho x – 12 chia hết cho 3.
A. x = 55;
B. x = 67;
C. x = 79;
D. x = 84.
Lời giải
Vì 12 = 3.4 nên 12 chia hết cho 3.
Do đó để x – 12 chia hết cho 3 thì x phải chia hết cho 3.
Trong các số ta thấy 84 là thỏa mãn chia hết cho 3 vì 8 + 4 = 12 chia hết cho 3.
Đáp án: D
Câu 8. Thay * trong số bằng chữ số thích hợp để số đó chia hết cho 9.
A. 7;
B. 8;
C. 2;
D. 5.
Lời giải
Ta có 2 + 3 + * + 5 = 10 + *.
Để số đã cho chia hết cho 9 thì 10 + * phải chia hết cho 9.
Nên * thuộc {8; 17; 26; …}.
Mà * là chữ số nên * = 8.
Đáp án: B
Câu 9. Trong các số nào dưới đây số nào chia hết cho 5.
A. 11 234 005;
B. 1 267;
C. 567;
D. 6 559.
Lời giải Số 11 234 005 có tận cùng là chữ số 5 nên số này chia hết cho 5.
Đáp án: A
Câu 10. Cho các số sau: 113; 321; 729; 811. Có bao nhiêu số là số nguyên tố?
A. 1;
B. 2;
C. 3;
D. 4.
Lời giải
Dựa vào bảng số nguyên tố cuối sách giáo khoa, ta có: 113 và 811 là hai số nguyên tố.
Vậy có 2 số nguyên tố trong các số đã cho.
Đáp án: B
II. Thông hiểu
Câu 1. Thực hiện phép tính 122:6 + 2.7 rồi phân tích ra thừa số nguyên tố:
A. 23.7;
B. 22.32;
C. 2.19;
D. 2.32.
Lời giải
122:6 + 2.7
= 144:6 + 2.7
= 24 + 14
= 38.
Ta có:
|
38 19 1 |
2 19 |
Vậy 38 = 2.19.
Đáp án: C
Câu 2. Kết quả của các phân số:
sau khi quy đồng là:
A.
B.
C.
D.
Lời giải
Ta có 15 = 3.5; 9 = 32; 27 = 33.
BCNN(15, 9, 27) = 33.5 = 135.
Khi đó: 135:15 = 9; 135:9 = 15; 135:27 = 5. Ta được:


Vậy các phân số sau quy đồng là:
Đáp án: D
Câu 3. Viết tập hợp BC(24, 18):
A. BC(24, 18) = 72.
B. BC(24, 18) = {1; 2; 3; 4; 6; 8; 9; 12; 18; 24; 36; 72}.
C. BC(24, 18) = {0; 72; 144; 216; 288; …}.
D. BC(24, 18) = {0; 36; 72; 108; 144; …}.
Lời giải
Ta có: 24 = 3.23; 18 = 2.32.
BCNN(24, 18) = 23.32 = 72.
Khi đó BC(24, 18) = B(72) = {0; 72; 144; 216; 288; …}.
Đáp án: C
Câu 4. Cho các chữ số x và y biết vừa chia hết cho 3 vừa chia hết cho 5. Có tất cả bao nhiêu cặp số (x, y) thỏa mãn điều kiện trên.
A. 5;
B. 6;
C. 7;
D. 8.
Lời giải
Số cần tìm là số chia hết cho 5 nên y = 0 hoặc y = 5.
+) Với y = 0 thì số đã cho là , ta có: 2 + x + 5 + 7 + 0 = 14 + x.
Để số đã cho chia hết cho 3 thì 14 + x chia hết cho 3.
Khi đó x .
Vì x là chữ số nên x .
+) Với y = 5 thì số đã cho là , ta có: 2 + x + 5 + 7 + 5 = 18 + x.
Để số đã cho chia hết cho 3 thì 17 + x chia hết cho 3.
Khi đó x .
Vì x là chữ số nên x .
Vậy có tất cả 7 cặp x và y thỏa mãn điều kiện.
Đáp án: C
Câu 5. Tìm ƯCLN của hai số m và n biết m = 2.32.52 và n = 23.3.54.
A. 24;
B. 150;
C. 45 000;
D. 30.
Lời giải
Ta có: m = 2.32.52 và n = 23.3.54.
Tích các thừa số chung và riêng với số mũ nhỏ nhất là: 2.3.52 = 150.
Vậy ƯCLN(m, n) = 150.
Đáp án: B
Câu 6. Tìm x để , và 0 < x ≤ 70. Có bao nhiêu giá trị của x thỏa mãn điều kiện trên?
A. 0;
B. 1;
C. 2;
D. 3.
Lời giải
Vì và nên x là bội chung của 5 và 7.
Do 5 và 7 là hai số nguyên tố nên BCNN(5, 7) = 5.7 = 35.
Suy ra BC(5, 7) = { 0; 35; 70; 105; …}.
Vì x là bội chung của 5 và 7 nên x BC(5, 7) = { 0; 35; 70; 105; …}.
Mà 0 < x ≤ 70 nên x .
Vậy có 2 giá trị của x thỏa mãn điều kiện.
Đáp án: C
Câu 7. Kết quả phân tích số 120 ra thừa số nguyên tố:
A. 120 = 22.3.5;
B. 120 = 23.3.5;
C. 120 = 2.32.5;
D. 120 = 22.32.5.
Lời giải
Ta có:
|
120 60 30 15 5 1 |
2 2 2 3 5 |
Vậy 120 = 23.3.5.
Đáp án: B
Câu 8. Tìm ƯCLN(128; 36)
A. 22;
B. 27;
C. 22.32;
D. 27.32.
Lời giải
Ta có 128 = 27; 36 = 22.32.
Tích các thừa số chung với số mũ nhỏ nhất là: 22.
Vậy ƯCLN(128; 36) = 22.
Đáp án: A
Câu 9. Cho A = 2.7.12 + 49.53 và B = 3.4.5 + 2 020.2 021. 2022. Phát biểu nào dưới đây là đúng?
A. A và B là các số nguyên tố;
B. A và B là hợp số;
C. A là số nguyên tố, B là hợp số.
D. A là hợp số, B là số nguyên tố.
Lời giải
+) Xét A = 2.7.12 + 49.53:
Vì 2.7.12 chia hết cho 7, 49.53 = 7.7.53 chia hết cho 7 nên A chia hết cho 7.
Vậy A có một ước khác 1 và chính nó nên A là hợp số.
+) Xét B = 3.4.5 + 2 020.2 021. 2022
Ta có: 3.4.5 = 3.2.2.5 chia hết cho 2, 2 020.2 021.2 022 chia hết cho 2 nên B chia hết cho 2.
Vậy B có một ước nữa khác 1 và chính nó nên B là hợp số.
Đáp án: B
Câu 10. Thực hiện phép tính

Lời giải
Ta có: 14 = 2.7, 21 = 3.7.
BCNN(14, 21) = 2.3.7 = 42.
Ta có: 42:14 = 3; 42:21 = 2. Khi đó:
Đáp án: A
III. Vận dụng
Câu 1. Tìm các số tự nhiên n thỏa mãn 6 (n + 1).
A. n ∈{0; 1; 2; 5}.
B. n ∈{0; 2; 3; 6}.
C. n ∈{0; 6; 12; 18; …}.
D. n ∈ {0; 5; 11; 17; …}.
Lời giải
Vì nên n + 1 thuộc Ư(6).
Lấy 6 chia cho các số tự nhiên từ 1 đến 6, ta thấy 6 chia hết cho 1; 2; 3; 6.
Khi đó Ư(6) = {1; 2; 3; 6}.
Suy ra n + 1 thuộc {1; 2; 3; 6}.
Hay n thuộc {0; 1; 2; 5}.
Đáp án: A
Câu 2. Số học sinh khối 6 của một trường trong khoảng từ 500 đến 700 học sinh, khi xếp thành các hàng 10; 12 và 15 đều vừa đủ. Tính số học sinh khối lớp 6.
A. 330;
B. 500;
C. 660;
D. 700.
Lời giải
Vì số học sinh của khối 6 khi xếp thành 10; 12 và 15 hàng đều vừa đủ nên số học sinh khối 6 chia hết cho 10; 11 và 15. Hay học sinh khối 6 là bội chung của 10; 11 và 15.
Ta có: 10 = 2.5; 11 = 11; 15 = 3.5
Tích các thừa số chung và riêng là: 2.3.5.11.
Khi đó BCNN(10, 11, 15) = 2.3.5.11 = 330.
Suy ra BC(10, 11, 15) = B(330) = {0; 330; 660; 990; …}..
Vì số học sinh khối 6 trong khoảng từ 500 đến 700 học sinh nên số học sinh khối 6 là 660 học sinh.
Đáp án: C
Câu 3. Bác Nam định kì 3 tháng một lần thay dầu, 6 tháng một lần xoay lốp xe oto của mình. Hỏi nếu bác ấy làm hai việc đó cùng lúc vào tháng 4 năm nay thì lần gần nhất tiếp theo của bác ấy sẽ cùng làm hai việc vào tháng nào?
A. tháng 7;
B. tháng 8;
C. tháng 9;
D. tháng 10.
Lời giải
Khoảng cách giữa hai đợt bác ấy sẽ làm hai việc sẽ là bội chung của 3 và 6.
Ta có 3 = 3; 6 = 2.3.
Khi đó BCNN(3, 6) = 6.
Nghĩa là cứ 6 tháng 1 thì bác sẽ làm hai việc cùng một lúc.
Đợt vừa rồi là tháng 4 thì lần gần nhất tiếp theo là 4 + 6 = 10.
Vậy vào tháng 10 thì bác ấy sẽ vừa thay dầu và vừa xoay lốp ô tô.
Đáp án: D
Phần 2. Lý thuyết Chương 2: Tính chia hết trong tập hợp các số tự nhiên
I. Quan hệ chia hết và tính chất
1. Quan hệ chia hết
Cho hai số tự nhiên a và b (b 0).
Nếu có số tự nhiên k sao cho a = kb thì ta nói a chia hết cho b kí hiệu là a b.
Nếu a không chia hết cho b ta kí hiệu là a b.
+ Ước và bội:
Nếu a chia hết cho b, ta nói b là ước của a và a là bội của b.
Ta kí hiệu Ư(a) là tập hợp các ước của a và B(b) là tập hợp các bội của b.
+ Cách tìm ước và bội:
Muốn tìm các ước của a (a > 1), ta lần lượt chia a cho các số tự nhiên từ 1 đến a để xem a chia hết cho những số nào thì các số đó là ước của a.
Ta có thể tìm các bội của một số khác 0 bằng cách nhân số đó lần lượt với 0; 1; 2; 3; …
2. Tính chất chia hết của một tổng
+ Tính chất 1
Nếu tất cả các số hạng của một tổng đều chia hết cho cùng một số thì tổng chia hết cho số đó.
– Nếu a
m và b
m thì (a + b)
m.
– Nếu a
m, b
m và c
m thì (a + b + c)
m.
+ Tính chất 2
Nếu có một số hạng của một tổng không chia hết cho một số đã cho, các số hạng còn lại đều chia hết cho số đó thì tổng không chia hết cho số đã cho.
– Nếu a
m và b
m thì (a + b)
m .
– Nếu a
m, b
m và c
m thì (a + b + c)
m.
Chú ý: Hai số không chia hết cho một số đã cho thì chưa chắc tổng của chúng không chia hết cho số đó.
II. Dấu hiệu chia hết
1. Dấu hiệu chia hết cho 2, cho 5
Các số có chữ số tận cùng là 0, 2, 4, 6, 8 thì chia hết cho 2 và chỉ những số đó mới chia hết cho 2.
Các số có chữ số tận cùng là 0 hoặc 5 thì chia hết cho 5 và chỉ những số đó mới chia hết cho 5.
2. Dấu hiệu chia hết cho 9, cho 3
Các số có tổng các chữ số chia hết cho 9 thì chia hết cho 9 và chỉ những số đó mới chia hết cho 9.
Các số có tổng các chữ số chia hết cho 3 thì chia hết cho 3 và chỉ những số đó mới chia hết cho 3.
Chú ý: Các số chia hết cho 9 thì chia hết cho 3 nhưng chia hết cho 3 chưa chắc chia hết cho 9.
III. Số nguyên tố
1. Số nguyên tố và hợp số
– Số nguyên tố là số tự nhiên lớn hơn 1, chỉ có hai ước là 1 và chính nó.
– Hợp số là số tự nhiên lơn hơn 1, có nhiều hơn hai ước.
2. Phân tích một số ra thừa số nguyên tố
Mọi số đều có thể phân tích ra tích của các thừa số nguyên tố
Cách phân tích một số ra thừa số nguyên tố:
+) Phương pháp phân tích bằng sơ đồ cây
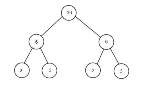
Ví dụ. Phân tích 36 ra tích các thừa số nguyên tố bằng sơ đồ cây:

Vậy 36 = 22.32.
+) Phương pháp phân tích bằng sơ đồ cột
Ví dụ. Phân tích 36 ra tích các thừa số nguyên tố bằng sơ đồ cột:
|
36 18 9 3 1 |
2 2 3 3 |
Vậy 36 =22.32
IV. Ước chung, ước chung lớn nhất
1. Ước chung và ước chung lớn nhất
Ước chung của hai hay nhiều số là ước của tất cả các số đó.
Ước chung lớn nhất của hai hay nhiều số là số lớn nhất trong tập hợp các ước chung của các số đó.
Ta kí hiệu:
ƯC(a, b) là tập hợp các ước chung của a và b.
ƯCLN(a, b) là ước chung lớn nhất của a và b.
Nhận xét:
– Trong các số đã cho, nếu số nhỏ nhất là ước của các số còn lại thì ƯCLN của các số đã cho chính là số nhỏ nhất ấy.
Nếu a
b thì Ư CLN(a, b) = b.
– Số 1 chỉ có 1 ước là 1. Do đó với mọi số tự nhiên a và b, ta có:
ƯCLN(a, 1) = 1; ƯCLN(a, b, 1) = 1.
2. Cách tìm ước chung lớn nhất
Các bước tìm ƯCLN của hai hay nhiều số lớn hơn 1:
Bước 1: Phân tích các số ra thừa số nguyên tố.
Bước 2: Chọn ra các thừa số nguyên tố chung.
Bước 3. Lập tích các thừa số đã chọn, mỗi thừa số lấy với số mũ nhỏ nhất. Tích đó là ƯCLN phải tìm.
3. Rút gọn về phân số tối giản
Vận dụng ƯCLN để rút gọn về phân số tối giản
Ta rút gọn phân số bằng cách chia cả tử và mẫu của phân số đó cho một ước chung khác 1 (nếu có).
Phân số
được gọi là phân số tối giản nếu a và b không có ước chung nào khác 1, nghĩa là ƯCLN(a, b) = 1.
V. Bội chung. Bội chung nhỏ nhất
1. Bội chung và bội chung nhỏ nhất
Bội chung của hai hay nhiều số là bội của tất cả các số đã cho.
Bội chung nhỏ nhất của hai hay nhiều số là số nhỏ nhất khác 0 trong tập hợp các bội chung của các số đó.
Kí hiệu:
BC(a, b) là tập hợp các bội chung của a và b.
BCNN(a, b) là bội chung nhỏ nhất của a và b.
Nhận xét: Trong các số đã cho, nếu số lớn nhất là bội của các số còn lại thì BCNN của các số đã cho chính là số lớn nhất đó.
Nếu a
b thì BCNN(a, b) = a.
Mọi số tự nhiên đều là bội của 1. Do đó với mọi số tự nhiên a và b (khác 0), ta có:
BCNN(a, 1) = a; BCNN(a, b, 1) = BCNN(a, b).
2. Cách tìm bội chung nhỏ nhất
Các bước tìm BCNN của hai hay nhiều số lớn hơn 1:
Bước 1. Phân tích mỗi số ra thừa số nguyên tố;
Bước 2. Chọn ra các thừa số nguyên tố chung và riêng;
Bước 3. Lập tích các thừa số đã chọn, mỗi thừa số lấy với số mũ lớn nhất. Tích đó là BCNN cần tìm.
Tìm bội chung từ bội chung nhỏ nhất
Để tìm bội chung của các số đã cho ta có thể làm như sau:
Bước 1. Tìm BCNN của các số đã cho.
Bước 2. Tìm các bội của BCNN đó.
3. Quy đồng mẫu các phân số
Vận dụng BCNN để tìm mẫu chung của hai phân số:
Để quy đồng mẫu số hai phân số
và
, ta phải tìm mẫu chung của hai phân số đó. Thông thường ta nên chọn mẫu chung là BCNN của hai mẫu.
Xem thêm các bài Trắc nghiệm Toán 6 Kết nối tri thức hay, chi tiết khác:
Chương 1: Tập hợp các số tự nhiên
Chương 2: Tính chia hết trong tập hợp các số tự nhiên
Chương 3: Số nguyên
Chương 4: Một số hình phẳng trong thực tiễn
Chương 5: Tính đối xứng của hình phẳng trong tự nhiên