Bài tập Toán 6 So sánh phân số
A. Bài tập So sánh phân số
Bài 1. So sánh hai phân số.

Lời giải:

Quy đồng hai phân số
ta thực hiện:

Ta có
(vì phân số này là phân số dương).
Và
(vì phân số này là phân số âm).
Theo tính chất bắc cầu, phân số dương lớn hơn phân số âm nên
.
Vậy
.
Bài 2. So sánh
và −4.
Lời giải:
Cách 1: Đưa số nguyên và phân số về dạng phân số có cùng mẫu số dương, rồi so sánh tử số của hai phân số.
Ta có:

Cách 2: Đưa số nguyên về dạng phân số có mẫu số là 1, tử số là số nguyên đó, sau đó quy đồng mẫu số hai phân số đó (đưa hai phân số về cùng mẫu số dương).
Ta có:
.
Quy đồng mẫu số hai phân số
, ta được:

Bài 3. Sắp xếp các số theo thứ tự tăng dần:
.
Lời giải:
Để sắp xếp các phân số theo thứ tự tăng dần, ta làm như sau:
Bước 1: Đưa các phân số vào hai nhóm: nhóm các phân số dương và nhóm các phân số âm.
– Phân số dương là phân số có tử số và mẫu số là các số nguyên cùng dấu.
– Phân số âm là phân số có tử số và mẫu số là các số nguyên trái dấu.
Bước 2: So sánh các phân số dương với nhau, các phân số âm với nhau (bằng cách đưa về cùng mẫu số dương rồi so sánh tử số).
Bước 3: Sắp xếp các phân số trên theo thứ tự từ tăng dần (phân số âm luôn bé hơn phân số dương).
Ta có
.
+ Các phân số dương:
.
+ Các phân số âm:
.
Ta so sánh các phân số dương với nhau, các phân số âm với nhau:
+ So sánh
.
Mẫu số chung: 20.
Ta thực hiện:
.
Vì 25 < 36 nên
.
+ So sánh 
Mẫu số chung: 3.
Ta thực hiện:
và giữ nguyên phân số
.

Vậy ta sắp xếp được theo thứ tự tăng dần như sau: 
Bài 4. Bình đọc hết một quyển sách trong 3 ngày. Ngày thứ nhất đọc được
quyển sách, ngày thứ hai đọc được
quyển sách, ngày thứ ba đọc được
quyển sách. Hỏi trong ba ngày đó thì ngày nào Bình đọc được nhiều nhất, ngày nào đọc được ít nhất?
Lời giải:
Bài toán đưa về sắp xếp các phân số
theo thứ tự tăng dần hoặc giảm dần. Sau đó kiểm tra xem ngày nào Bình đọc được nhiều nhất, ngày nào đọc được ít nhất.
Quy đồng mẫu số các phân số
, ta được:
giữ nguyên phân số
.

Vậy ngày thứ hai Bình đọc được nhiều nhất tương ứng với
quyển sách, ngày thứ ba Bình đọc được ít nhất tương ứng với
quyển sách
Bài 5: So sánh các phân số trong các trường hợp sau:

Lời giải:
a) Ta quy đồng mẫu số các phân số
BCNN (2; 5; 10) = 10

Vì 5 < 6 < 7 nên
hay
.
b) Ta quy đồng mẫu số các phân số
BCNN (3; 5; 7) = 105

Vì 15 > –42 > –140 nên
hay
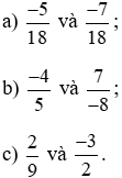
Bài 6. So sánh các phân số sau:
a) và ;
b) và ;
c) và ;
d) và .
Hướng dấn giải
a) và
Ta có:
Do ‒2 > ‒3 nên .
Vậy ;
b) và
Ta có
Vì 2 < 5 nên
Vậy
c) và
Ta có: và
Vì 55 > 49 nên –55 < –49 do đó .
Vậy
d) và
Ta có: và
Do đó
Vậy .
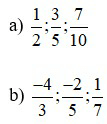
Bài 7. Sắp xếp các số sau theo thứ tự tăng dần:
Hướng dấn giải
Ta chia các số thành hai nhóm:
Nhóm 1: gồm các số
Nhóm 2: gồm các số
Ta đi so sánh nhóm 1:
Có ; và
Do 9 < 10 < 18 nên
Vậy
Ta đi so sánh nhóm 2:
Vì nên
Vì nên
Do đó
Trong tất cả các phân số thì phân số âm luôn nhỏ hơn phân số dương, do đó ta có:
Vậy ta có thể sắp xếp theo thứ tự tăng dần là
Bài 8. Viết các đại lượng sau dưới dạng phân số và so sánh:
a) Thời gian nào dài hơn: 2 giờ 45 phút hay giờ?
b) Vận tốc nào nhỏ hơn: km/h hay km/h?
Hướng dẫn giải
a) Ta có 45 phút = giờ = giờ = giờ
Do đó 2 giờ 45 phút = giờ = giờ = giờ.
giờ = giờ = giờ = giờ.
Vì 11 > 9 nên
Do đó 2 giờ 45 phút > giờ.
Vậy 2 giờ 45 phút dài hơn giờ.
b) Ta có và
Vì 42 < 45 nên
Do đó km/h < km/h
Vậy vận tốc km/h nhỏ hơn km/h.
Bài 9. Điền số nguyên thích hợp vào các chỗ trống sau:
a) ;
b) ;
Hướng dẫn giải
a) Giả sử
Ta thấy các phân số trên đều có mẫu số chung là 15, do đó ta có:
10 < a < b < c < d < 15
Mà a, b, c, d là các số nguyên nên a = 11, b = 12, c = 13, d = 14.
Vậy các số nguyên điền vào chỗ trống lần lượt là: 11; 12; 13; 14.
b) Giả sử
Suy ra
Do đó ‒5 < ‒x < ‒y < ‒z < ‒1
Hay 5 > x > y > z > 1
Mà x, y, z là các số nguyên nên x = 4, y = 3, z = 2.
Vậy các số nguyên cần điền vào chỗ trống lần lượt là 4; 3; 2.
Câu 10: Chọn câu đúng:
A.
B.
C.
D.
Trả lời:
11 > (−22) nên
8 > (−9) nên
7 < 9 nên
6 > 4 nên
Đáp án cần chọn là: C
Câu 11: Chọn số thích hợp điền vào chỗ trống sau:
A.9
B.7
C.5
D.4
Trả lời:
7 < 9 nên
Đáp án cần chọn là: A
Câu 12: Không quy đồng mẫu số, em hãy so sánh và :
A.
B.
C.
D.
Trả lời:
Ta có:
Và
Do vậy:
Đáp án cần chọn là: A
Câu 13: Điền dấu thích hợp vào chỗ chấm
A. >
B. <
C. =
D.Tất cả các đáp án trên đều sai
Trả lời:
Vì -12 > -17 nên hay
Đáp án cần chọn là: A
Câu 14: Chọn câu sai
A.
B.
C.
D.
Trả lời:
Đáp án A: Ta có:
Vì nên suy ra nên A đúng.
Đáp án B: Ta có:
Vì nên suy ra nên B đúng.
Đáp án C: Ta có:
nên C đúng.
Đáp án D: Ta có:
Vì nên suy ra nên D sai.
Đáp án cần chọn là: D
Câu 15. Sắp xếp các phân số theo thứ tự giảm dần ta được:
A.
B.
C.
D.
Hướng dẫn giải
Trả lời:
Dễ thấy:
So sánh:
Ta có:
Vì – 208 < – 149 nên Hay
Vậy
Đáp án cần chọn là: D
Câu 16. Cho và . Chọn câu đúng
A. A < B
B. A = B
C. A > 1; B < 0
D. A > B
Hướng dẫn giải
Trả lời:
Vì A < 1 nên loại đáp án C
So sánh A và B:
MSC = 450
Vì 125 > 72 nên hay
Vậy A > B
Đáp án cần chọn là: D
Câu 17. Số các cặp số nguyên (x; y) thỏa mãn là:
A. 2
B. 3
C. 1
D. 4
Hướng dẫn giải
Trả lời:
MSC:36
Khi đó:
⇒ 2 < x.3 < y.4 < 9
Mà (x.3)⁝3 và (y.4)⁝4 nên x.3∈{3;6} và y.4∈{4;8}
Mà x.3 < y.4 nên:
+ Nếu x.3 = 3 thì y.4 = 4 hoặc y.4 = 8
Hay nếu x = 1 thì y = 1 hoặc y = 2
+ Nếu x.3 = 6 thì y.4 = 8
Hay nếu x = 2 thì y = 2
Vậy các cặp số nguyên (x;y) là (1;1), (1;2), (2;2)
Đáp án cần chọn là: B
Câu 18. Có bao nhiêu phân số lớn hơn nhưng nhỏ hơn mà có tử số là 5.
A. 9
B. 10
C. 11
D. 12
Hướng dẫn giải
Trả lời:
Gọi phân số cần tìm là
Ta có:
⇒ 30 > x > 20 hay x∈{21; 22; …; 29}
Số giá trị của x là: (29 − 21):1 + 1 = 9
Vậy có tất cả 9 phân số thỏa mãn bài toán.
Đáp án cần chọn là: A
Câu 19. So sánh các phân số
A. A < B < C
B. A = B < C
C. A > B > C
D. A = B = C
Hướng dẫn giải
Trả lời:
Vì nên B < C
Mà B > 1 nên B > A
Vậy A < B < C
Đáp án cần chọn là: A
Câu 20. Lớp 6A cósố học sinh thích bóng bàn,số học sinh thích bóng chuyền,số học sinh thích bóng đá. Môn bóng nào được các bạn học sinh lớp 6A yêu thích nhất?
A. Môn bóng bàn.
B. Môn bóng chuyền.
C. Môn bóng đá.
D. Cả 3 môn bóng được các bạn yêu thích như nhau.
Trả lời:
Ta có:
Vậy môn bóng đá được các bạn lớp 6A yêu thích nhất.
Đáp án cần chọn là:C
B. Lý thuyết So sánh phân số
1. So sánh các phân số
a) So sánh hai phân số
Trong hai phân số khác nhau luôn có một phân số nhỏ hơn phân số kia.
– Nếu phân số nhỏ hơn phân số thì ta viết hay
– Phân số lớn hơn 0 gọi là phân số dương.
– Phân số nhỏ hơn 0 gọi là phân số âm.
– Nếu và thì
b) Cách so sánh hai phân số
* So sánh hai phân số cùng mẫu
Trong hai phân số có cùng một mẫu dương, phân số nào có tử lớn hơn thì lớn hơn.
Ví dụ 1. So sánh hai phân số và .
Hướng dẫn giải
Ta thấy hai phân số trên cùng mẫu số là 3, tử số của hai phân số là 1 < 2
Nên hay
Chú ý: Với hai phân số có cùng một mẫu nguyên âm, ta đưa chúng về hai phân số có cùng mẫu nguyên dương rồi so sánh.
Ví dụ 2. So sánh hai phân số và
Hướng dẫn giải
Ta có: và
Hai phân số có cùng mẫu số là 3, tử số của hai phân số là ‒1 < 2 nên .
Do đó .
*So sánh hai phân số không cùng mẫu
Để so sánh hai phân số không cùng mẫu, ta quy đồng mẫu hai phân số đó (về cùng một mẫu dương) rồi so sánh các tử với nhau. Phân số nào có tử lớn hơn thì phân số đó lớn hơn.
Bước 1: Quy đồng mẫu hai phân số đã cho (về cùng một mẫu dương)
Bước 2: So sánh tử của các phân số: Phân số nào có tử lớn hơn thì phân số đó lớn hơn.
Ví dụ 3. So sánh hai phân số và .
Hướng dẫn giải
Ta có và
Do ‒40 < ‒21 nên .
Vậy