Bài tập Toán 6 Hỗn số
A. Bài tập Hỗn số
Bài 1. Viết các hỗn số
dưới dạng phân số.
Lời giải:
Các hỗn số
chuyển sang phân số như sau:

Bài 2. Tính giá trị biểu thức:
.
Lời giải:

Bài 3. Sắp xếp các độ dài sau theo thứ tự từ nhỏ đến lớn:

Lời giải:
Đổi: 1 m = 100 cm.
Khi đổi từ m sang cm, ta chia số đó cho 100 (viết dưới dạng phân số).
Khi đó,
.
Ta có:
.
Quy đồng các phân số
, ta thực hiện:

Giữ nguyên phân số
.
Vì 25 < 49 < 52 < 75 nên
.
Do đó
.
Vậy các độ dài theo thứ tự từ nhỏ đến lớn là:

Câu 4: Dùng phân số hoặc hỗn số (nếu có thể) để viết các đại lượng diện tích dưới đây theo mét vuông, ta được:
a) 125dm2b) 218cm2 c) 240dm2 d) 34cm2
A.
B.
C.
D.
Trả lời:
a)
b)
c)
d)
Vậy
Đáp án cần chọn là: A
Câu 5: Hai xe ô tô cùng đi được quãng đường 100 km, xe taxi chạy trong giờ và xe tải chạy trong 70 phút. So sánh vận tốc hai xe.
A.Vận tốc xe tải lớn hơn vận tốc xe taxi
B.Vận tốc xe taxi lớn hơn vận tốc xe tải
C.Vận tốc hai xe bằng nhau
D.Không so sánh được
Trả lời:
Đổi 70 phút = giờ
Vận tốc của xe taxi là:
(km/h)
Vận tốc của xe tải là:
(km/h)
Ta có: nên vận tốc của xe taxi lớn hơn vận tốc xe tải.
Đáp án cần chọn là: B
Câu 6: Viết 2 giờ 15 phút dưới dạng hỗn số với đơn vị là giờ:
A. giờ
B. giờ
C. giờ
D. giờ
Trả lời:
2 giờ 15 phút = giờ
Đáp án cần chọn là: C
Câu 7: Tính
A.
B.
C.
D.
Trả lời:
Đáp án cần chọn là: C
Câu 8: Tìm x biết
A. x = 1
B. x = 2
C. x = 3
D. x = 4
Trả lời:
Đáp án cần chọn là: A
Câu 9: Viết phân số dưới dạng hỗn số ta được
A.
B.
C.
D.
Trả lời:
Ta có: 4 : 3 bằng 1 (dư 1) nên
Đáp án cần chọn là: D
Câu 10: Hỗn số được viết dưới dạng phân số là
A.
B.
C.
D.
Trả lời:
Đáp án cần chọn là: B
Câu 11: Chọn câu đúng
A.
B.
C.
D.
Trả lời:
Đáp án A: Nên A sai.
Đáp án B: nên B sai.
Đáp án C: nên C đúng.
Đáp án D: nên D sai.
Đáp án cần chọn là: C
Câu 12: Dùng hỗn số viết thời gian ở đồng hồ trong các hình vẽ, ta được lần lượt các hỗn số là:
A.
B.
C.
D.
Trả lời:
Hình a:
Hình b:
Hình c:
Hình d:
Vậy ta được các hỗn số:
Đáp án cần chọn là: A
Câu 13: Sắp xếp các khối lượng sau theo thứ tự từ lớn đến nhỏ:
tạ; tạ; tạ; tạ; 365 kg.
A. tạ; tạ; 365 kg; tạ; tạ.
B. tạ; tạ; tạ; tạ; 365 kg.
C. tạ; tạ; 365 kg; tạ; tạ.
D. tạ; 365 kg; tạ; tạ; tạ.
Trả lời:
Ta có:
tạ = tạ = tạ
tạ = tạ
tạ = tạ = tạ
365 kg = tạ
=> Các khối lượng theo thứ tự từ lớn đến nhỏ là:
tạ; tạ; 365 kg; tạ; tạ.
Đáp án cần chọn là: C
Câu 14: Kết quả của phép tính bằng
A.
B.
C.
D.
Trả lời:
Đáp án cần chọn là: B
Câu 15: Giá trị nào dưới đây của x thỏa mãn
A.
B.
C.
D.
Trả lời:
Đáp án cần chọn là: A
Câu 16: Chọn câu đúng
A.
B.
C.
D.
Trả lời:
Đáp án A: Nên A sai.
Đáp án B: nên B sai.
Đáp án C: Nên C đúng.
Đáp án D: nên D sai.
Đáp án cần chọn là: C
Câu 17: Tính hợp lý ta được
A.
B.
C.
D.
Trả lời:
Đáp án cần chọn là: B
Câu 18. Giá trị nào dưới đây của x thỏa mãn
A.
B.
C.
D.
Trả lời:
Đáp án cần chọn là: A
B. Lý thuyết Hỗn số
1. Hỗn số
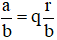
Cho a và b là hai số nguyên dương, a > b, a không chia hết cho b. Nếu a chia cho b được thương là q và số dư là r, thì ta viết
và gọi
là hỗn số.
Ví dụ 1. Cho hai số nguyên dương là 25 và 3; 25 > 3 và 25 không chia hết cho 3.
Thực hiện phép chia 25 cho 3 được thương là 8 và số dư là 1.
Khi đó,
. Đọc là “tám, một phần ba”.
Chú ý: Với hỗn số
người ta gọi q là phần số nguyên và
là phần phân số của hỗn số.
Ví dụ 2. Viết phân số
dưới dạng hỗn số và cho biết phần số nguyên, phần phân số.
Lời giải:
Thực hiện phép chia 31 cho 9 được thương là 3 và số dư là 4.
Khi đó,
.
Trong đó, phần số nguyên là 3 và phần phân số là
.
Vậy phân số
dưới dạng hỗn số là
và phần số nguyên là 3, phần phân số là
.
2. Đổi hỗn số ra phân số
Ta biết viết phân số
với a > b > 0 thành hỗn số
.
Ngược lại, ta đổi được hỗn số
thành phân số, theo quy tắc sau:

Ví dụ 3. So sánh
.
Lời giải:
