Trắc nghiệm Toán lớp 6 Bài 10: Số nguyên tố
Phần 1. Trắc nghiệm Số nguyên tố
I. Nhận biết
Câu 1. Phân tích một số ra thừa số nguyên tố là:
A. phân tích số đó thành tích của số nguyên tố với các hợp số.
B. phân tích số đó thành tích của các số tự nhiên.
C. Phân tích số đó thành tích của các thừa số nguyên tố.
D. Phân tích số đó thành tích của hai thừa số nguyên tố.
Lời giải Phân tích một số ra thừa số nguyên tố là phân tích số đó thành tích của các thừa số nguyên tố.
Đáp án: D
Câu 2. Có bao nhiêu cách để phân tích một số ra thừa số nguyên tố?
A. 1;
B. 2;
C. 3;
D. 4.
Lời giải
Có hai cách phân tích một số ra thừa số nguyên tố là:
+ Phương pháp phân tích theo sơ đồ cây;
+ Phương pháp phân tích theo sơ đồ cột.
Đáp án: B
Câu 3. Có bao nhiêu khẳng định đúng trong các khẳng định sau?
a) Ước nguyên tố của 18 là 1; 2; và 3.
b) Tích của hai số nguyên tố bất kì luôn là số lẻ.
c) Mọi số chẵn đều là hợp số.
A. 0;
B. 1;
C. 2;
D. 3.
Lời giải
Ước nguyên tố của 18 chỉ có 2 và 3, 1 không phải số nguyên tố nên a sai.
2 là số nguyên tố, 3 là số nguyên tố. Ta có tích 2.3 = 6 là số chẵn nên b sai.
Ta có 2 là số chẵn, 2 cũng là số nguyên tố nên c sai.
Vậy không có phát biểu nào đúng.
Đáp án: A
Câu 4. Tìm chữ số a để là số nguyên tố:
A. 1;
B. 9;
C. A và B đều đúng;
D. cả A và B đều sai.
Lời giải
Dựa vào bảng số nguyên tố ở cuối sách giáo khoa ta có:
491 và 499 là hai số nguyên tố nên a = 1 hoặc a = 9.
Đáp án: C
Câu 5. Số nào trong các số sau là số nguyên tố?
A. 3;
B. 8;
C. 12;
D. 15.
Lời giải
Trong các số đã cho:
3 có hai ước là 1 và 3. Do đó 3 là số nguyên tố.
8 có 4 ước là 1; 2; 4; và 8 nên 8 là hợp số.
12 có 6 ước là 1; 2; 3; 4; 6 và 12 nên 12 là hợp số.
15 có 4 ước là 1; 3; 5 và 15 nên 15 là hợp số.
Đáp án: A
Câu 6. Trong các số sau: 16; 17; 20; 21; 23; 97. Có bao nhiêu số là hợp số?
A. 0;
B. 1;
C. 2;
D. 3.
Lời giải
16 có 5 ước là 1; 2; 4; 8; 16 nên 16 là hợp số.
17 có 2 ước là 1 và 17 nên 17 là số nguyên tố.
20 có 6 ước là 1; 2; 4; 5; 10 và 20 nên 20 là hợp số.
21 có 4 ước là 1; 3; 7 và 21 nên 21 là hợp số.
23 có 2 ước là 1 và 23 nên 23 là số nguyên tố.
97 có 2 ước là 1 và 97 nên 97 là số nguyên tố.
Vậy có 3 số là hợp số.
Đáp án: D
Câu 7. Hoàn thành phát biểu sau: “Số nguyên tố là số tự nhiên lớn hơn 1, chỉ có …”:
A. ước là 1.
B. ước là chính nó.
C. duy nhất một ước.
D. hai ước là 1 và chính nó.
Lời giải Số nguyên tố là số tự nhiên lớn hơn 1, chỉ có hai ước là 1 và chính nó.
Đáp án: D
Câu 8. Cho A là tập hợp các số nguyên tố nhỏ hơn 30. Chọn đáp án đúng.
A. 1 ∈ A;
B. 2 ∉ A;
C. 29 ∉ A;
D. 17 ∈ A
Lời giải
Các số nguyên tố nhỏ hơn 30 bao gồm: 2; 3; 5; 7; 11; 13; 17; 23; 29.
Do đó A = {2; 3; 5; 7; 11; 13; 17; 23; 29}.
Ta có 1 không thuộc tập A, ta viết 1 ∉ A nên A sai.
Ta có 2 thuộc tập A, ta viết 2 ∈ A nên B sai.
Ta có 29 thuộc tập A, ta viết 29 ∈ A nên C sai.
Ta có 17 thuộc tập A, ta viết 17 ∈ A nên D đúng.
Đáp án: D
II. Thông hiểu
Câu 1. Hãy phân tích A = 42.95 ra thừa số nguyên tố.
A. A = 42.95.
B. A = 24.95.
C. A = 42.310.
D. A = 24.310.
Lời giải A = 42.95 = 4.4.9.9.9.9.9 = 2.2.2.2.3.3.3.3.3.3.3.3.3.3 = 24.310.
Đáp án: D
Câu 2. Chọn câu sai:
A. 504 = 23.32.7.
B. 102 = 2.3.17.
C. 75 = 2.52.
D. 170 = 2.5.17.
Lời giải
|
504 252 126 63 21 7 1 |
2 2 2 3 3 7 |
Vậy 504 = 23.32.7 nên A đúng.
|
102 51 17 |
2 3 17 |
Vậy 102 = 2.3.17 nên B đúng
|
75 25 5 1 |
3 5 5 |
Vậy 75 = 3.52 nên C sai.
|
170 85 17 1 |
2 5 17 |
Vậy 170 = 2.5.17 nên D đúng.
Đáp án: C
Câu 3. Tìm các số còn thiếu trong sơ đồ phân tích một số ra thừa số nguyên tố sau:

Các số cần điền từ lần lượt từ trên xuống dưới là:
A. 105; 5 và 7.
B. 105; 7 và 5.
C. 150; 5 và 7.
D. 150; 7 và 5.
Lời giải
+) Ta có 210 : 2 = 105
105 : 3 = 35
35 : 5 = 7
7 : 7 = 1
Ta hoàn thiện sơ đồ:

Vậy các số còn thiếu lần lượt từ trên xuống dưới là: 105; 5 và 7.
Đáp án: A
Câu 4. Tìm các số thích hợp điền vào ô trống trong sơ đồ sau:

Các số cần điền lần lượt từ trên xuống dưới là:
A. 630; 35; 105.
B. 35; 105; 630.
C. 630; 105; 35.
D. 35; 630; 105.
Lời giải
Ta có: 5 x 7 = 35;
35 x 3 = 105;
105 x 6 = 630.

Vậy các số cần điền từ trên xuống dưới lần lượt là: 630; 105 và 35.
Đáp án: B
Câu 5. Phân tích 70 ra thừa số nguyên tố ta được: 70 = 2x.5y.7z. Tổng x + y + z = ?
A. 3;
B. 4;
C. 5;
D. 6.
Lời giải
Ta có:

Vậy 70 = 2.5.7.
Suy ra x = 1; y = 1; z = 1.
Do đó x + y + z = 1 + 1 + 1 = 3.
Đáp án: A
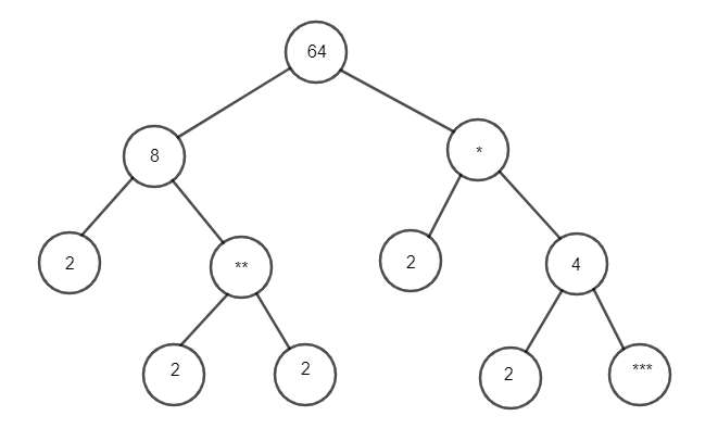
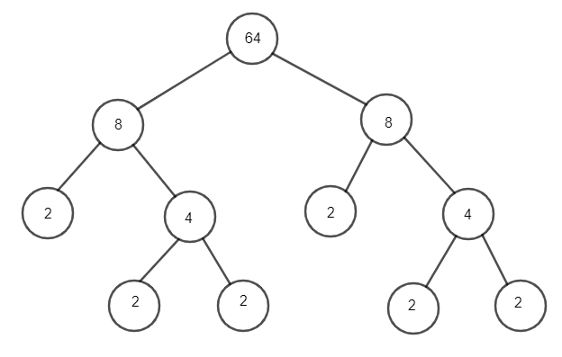
Câu 6. Hoàn thành sơ đồ cây sau:

A. * = 8; ** = 2; *** = 4.
B. * = 4; ** = 8; *** = 2.
C. * = 8; ** = 4; *** = 2.
D. * = 4; ** = 2; *** = 8.
Lời giải
Sơ đồ cây hoàn chỉnh là:

Vậy * = 8; ** = 4; *** = 2.
Đáp án: C
Câu 7. Phân tích số 75 ra thừa số nguyên tố là:
A. 75 = 3.25;
B. 75 = 15.5;
C. 75 = 3.52;
D. 75 = 75.1.
Lời giải: Ta có:

Suy ra 75 = 3.52.
Đáp án: C
Lời giải
Ta có:

Suy ra 75 = 3.52.
Chọn C.
Câu 8. Bạn Nam phân tích số 120 ra thừa số nguyên tố như sau: 120 = 23.3.5.
Bạn An phân tích 105 ra thừa số nguyên tố như sau: 105 = 3.5.7.
Chọn đáp án đúng.
A. Bạn Nam;
B. Bạn An;
C. Cả Nam và An đều sai.
D. Cả Nam và An đều đúng.
Lời giải
Ta có:
|
120 60 30 15 5 1 |
2 2 2 3 5 |
Vậy 120 = 23.3.5. Do đó Nam đúng.
Ta có
|
105 35 7 1 |
3 5 7 |
Vậy 105 = 3.5.7. Do đó An đúng.
Đáp án: D
III. Vận dụng
Câu 1. Một lớp có 30 học sinh. Cô giáo muốn chia lớp thành các nhóm để thực hiện các dự án học tập nhỏ. Biết rằng, các nhóm đều có số người bằng nhau, số người trong một nhóm là các số nguyên tố. Hỏi có bao nhiêu cách chia?
A. 1;
B. 2;
C. 3;
D. 4.
Lời giải
Phân tích 30 ra thừa số nguyên tố ta được: 30 = 2.3.5
Vì cô giáo muốn chia lớp 30 học sinh thành các nhóm, các nhóm có số người bằng nhau nên số người của mỗi ngóm là ước của 30.
Mà số người mỗi nhóm là số nguyên tố nên số người mỗi nhóm là ước nguyên tố của 30.
Ta có bảng sau:
|
Số nhóm |
Số người một nhóm |
|
30:2 = 15 |
2 |
|
30:3 = 10 |
3 |
|
30:5 = 6 |
5 |
Do đó có thể chia thành 15 nhóm, 10 nhóm hoặc 6 nhóm.
Đáp án: C
Câu 2. Trong nghi lễ thượng cờ lúc 6 giờ sáng và hạ cờ lúc 21 giờ hàng ngày ở Quảng trường Ba Đình, đội tiêu binh có 34 người gồm 1 sĩ quan chỉ huy đứng đầu và 33 chiến sĩ. Hỏi có bao nhiêu cách sắp xếp 33 chiến sĩ thành các hàng, sao cho mỗi hàng có số người như nhau?
A. 1;
B. 2;
C. 3;
D. 4.
Lời giải
Ta có: 33 = 3 . 11
Vì xếp 33 chiến sĩ thành các hàng thì số hàng là ước của 33
Ư(33) = 1; 3; 11; 33.
Với số hàng là 1 thì số người mỗi hàng là: 33 : 1 = 33 (người)
Với số hàng là 3 thì số người mỗi hàng là: 33 : 3 = 11 (người)
Với số hàng là 11 thì số người mỗi hàng là: 33 : 11 = 3 (người)
Với số hàng là 33 thì số người mỗi hàng là: 33 : 33 = 1 (người)
Vậy có 4 cách cách sắp xếp 33 chiến sĩ thành các hàng.
Đáp án: D
Câu 3. Hai số nguyên tố được gọi là sinh đôi nếu chúng hơn kém nhau hai đơn vị. Ví dụ 17 và 19 là hai số nguyên tố sinh đôi. Em hãy liệt kê các cặp số nguyên tố sinh đôi nhỏ hơn 40. Có tất cả bao nhiêu cặp?
A. 5;
B. 6;
C. 7;
D. 8.
Lời giải
Các cặp số nguyên tố sinh đôi nhỏ hơn 40:
+) 3 và 5
+) 5 và 7
+) 11 và 13
+) 17 và 19
+) 29 và 31
Vậy có tất cả 5 cặp.
Đáp án: A
Phần . Lý thuyết Số nguyên tố
1. Số nguyên tố và hợp số
– Số nguyên tố là số tự nhiên lớn hơn 1, chỉ có hai ước là 1 và chính nó.
– Hợp số là số tự nhiên lơn hơn 1, có nhiều hơn hai ước.
Ví dụ 1. Trong các số đã cho dưới đây, số nào là số nguyên tố, số nào là hợp số? Vì sao?
190; 11; 132; 23; 43; 17; 21.
Lời giải
Ta thấy 190 có các ước là 1, 2, 5, 190 nhiều hơn hai ước nên 190 là hợp số;
11 chỉ có ước là 1 và 11 nên 11 là số nguyên tố;
132 có các ước là 1; 2; 132 nhiều hơn hai ước nên 132 là hợp số;
23 chỉ có ước là 1 và 23 nên 23 là số nguyên tố;
43 chỉ có ước là 1 và 43 nên 43 là số nguyên tố;
17 chỉ có ước là 1 và 17 nên 17 là số nguyên tố;
21 có các ước là 1; 3; 7; 21 nhiều hơn hai ước nên 21 là hợp số.
2. Phân tích một số ra thừa số nguyên tố
Mọi số đều có thể phân tích ra tích của các thừa số nguyên tố
Cách phân tích một số ra thừa số nguyên tố:
+) Phương pháp phân tích bằng sơ đồ cây
Ví dụ 2. Phân tích 36 ra tích các thừa số nguyên tố bằng sơ đồ cây:
Lời giải

Vậy 36 = 22.32.
+) Phương pháp phân tích bằng sơ đồ cột
Ví dụ 3. Phân tích 36 ra tích các thừa số nguyên tố bằng sơ đồ cột:
|
36 18 9 3 1 |
2 2 3 3 |
Vậy 36 = 22.32.
Xem thêm các bài Trắc nghiệm Toán 6 Kết nối tri thức hay, chi tiết khác:
Trắc nghiệm Bài 9: Dấu hiệu chia hết
Trắc nghiệm Bài 10: Số nguyên tố
Trắc nghiệm Bài 11: Ước chung. Ước chung lớn nhất
Trắc nghiệm Bài 12: Bội chung. Bội chung nhỏ nhất
Trắc nghiệm Bài 13: Tập hợp các số nguyên