Skip to content

Cộng đồng học tập lớp 12

  • Thi đấu
  • Sitemap

Cộng đồng học tập lớp 12

  • Home » 
  • Giải SBT Toán 12 – Chân trời

Sách bài tập Toán 12 (Chân trời sáng tạo): Bài tập cuối chương 2

By Admin Lop12.com 19/02/2025

Giải SBT Toán 12 Bài tập cuối chương 2

A. Trắc nghiệm

Bài 1 trang 77 SBT Toán 12 Tập 1: Cho hai điểm A(1; 1; −2) và B(2; 2; 1). Tọa độ của vectơ AB→ là

A. (3; 3; −1).

B. (−1; −1; −3).

C. (3; 1; 1).

D. (1; 1; 3).

Lời giải:

Đáp án đúng là: D

Tọa độ vectơ AB→ là AB→ = (2 – 1; 2 – 1; 1 – (−2)) = (1; 1; 3).

Bài 2 trang 77 SBT Toán 12 Tập 1: Cho hai vectơ a→ = (1; 2; −3) và b→ = (−2; −4; 6). Trong các khẳng định sau, khẳng định nào đúng?

Cho hai vectơ a  = (1; 2; −3) và vectơ b = (−2; −4; 6). Trong các khẳng định sau, khẳng định nào đúng

Lời giải:

Đáp án đúng là: B

Ta có: b→ = (−2; −4; 6) = −2(1; 2; −3) = −2a→.

Vậy b→=−2a→

Bài 3 trang 77 SBT Toán 12 Tập 1: Cho hai điểm A(2; 0; 1) và B(0; 5; −1). Tích vô hướng của hai vectơ OA→ và OB→ bằng

A. −2.

B. −1.

C. 1.

D. 2.

Lời giải:

Đáp án đúng là: B

Ta có: OA→ = (2; 0; 1); OB→ = (0; 5; −1).

OA→.OB→ = 2.0 + 0.5 + 1.(−1) = −1.

Bài 4 trang 77 SBT Toán 12 Tập 1: Cho hai vectơ a→ thỏa mãn a→=2i→+k→−3j→. Tọa độ của vectơ a→ là

A. (2; 1; −3).

B. (2; −3; 1).

C. (1; 2; −3).

D. (1; −3; 2).

Lời giải:

Đáp án đúng là: B

Ta có: a→=2i→+k→−3j→ = 2i→−3j→+k→ ⇒ a→ = (2; −3; 1).

Bài 5 trang 77 SBT Toán 12 Tập 1: Cho ba vectơ a→ = (−1; 1; 0), b→= (1; 1; 0) và c→ = (1; 1; 1). Trong các khẳng định sau, khẳng định nào sai?

Cho ba vectơ  a = (−1; 1; 0), vectơ b = (1; 1; 0) và vectơ c  = (1; 1; 1)

Lời giải:

Đáp án đúng là: D

Ta có: a→ = (−1; 1; 0) ⇒ a→=−12+12+02=2.

           c→ = (1; 1; 1) ⇒ c→=12+12+12=3.

        a→.b→ = −1.1 + 1.1 + 0.0 = 0 suy ra a→⊥b→.

        c→.b→ = 1.1 + 1.1 + 0.1 = 2 ≠ 0 do đó c→ không vuông góc với b→.

Chọn D.

Bài 6 trang 77 SBT Toán 12 Tập 1: Cho hai vectơ a→ = (−3; 4; 0) và b→ = (5; 0; 12). Côsin của góc giữa hai vectơ a→ và b→ bằng

Cho hai vectơ a = (−3; 4; 0) và vectơ b  = (5; 0; 12). Côsin của góc giữa hai vectơ a và  vectơ b bằng

Lời giải:

Đáp án đúng là: D

Ta có: cosa→,b→ = a→.b→a→.b→=−3.5+4.0+0.12−32+42+02.52+02+122=−313.

Bài 7 trang 77 SBT Toán 12 Tập 1: Góc giữa hai vectơ i→ và u→ = −3;0;1 bằng

A. 30°.

B. 60°.

C. 120°.

D. 150°.

Lời giải:

Đáp án đúng là: D

Ta có: i→ = (1; 0; 0) và u→ = −3;0;1.

cosi→,u→=i→.u→i→.u→=1.−3+0.0+0.112+02+02.−32+02+12 = −32 ⇒ i→,u→ = 150°.

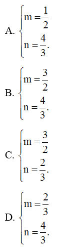
Bài 8 trang 77 SBT Toán 12 Tập 1: Hai vectơ a→ = (m; 2; 3) và b→ = (1; n; 2) cùng phương khi

Hai vectơ a = (m; 2; 3) và b = (1; n; 2) cùng phương khi trang 77 SBT Toán 12 Tập 1

Lời giải:

Đáp án đúng là: B

Hai vectơ a→ = (m; 2; 3) và b→ = (1; n; 2) cùng phương khi a→=kb→

Suy ra m=k.12=k.n3=k.2⇒m=kn=2kk=32⇒m=32n=43

Bài 9 trang 78 SBT Toán 12 Tập 1: Cho hai vectơ a→ = (2; 1; −2) và b→ = (0; 2m; −4).

Giá trị của tham số m để hai vectơ a→ và b→ vuông góc với nhau là

A. m = −4.

B. m = −2.

C. m = 2.

D. m = 4.

Lời giải:

Đáp án đúng là: A

Để hai vectơ vuông góc với nhau khi a→.b→ = 0 ⇔ 2.0 + 1.2m + (−2).(−4) = 0 ⇔ m = −4.

Bài 10 trang 78 SBT Toán 12 Tập 1: Cho hai điểm A(2; 3; −1) và B(0; −1; 1). Trung điểm I của đoạn thẳng AB có tọa độ là

A. (1; 1; 0).

B. (2; 2; 0).

C. (−2; −4; 2).

D. (−1; −2; 1).

Lời giải:

Đáp án đúng là: A

Gọi I(x; y; z), ta có:

x=2+02=1y=3+−12=1z=−1+12=0 ⇒ I(1; 1; 0).

Bài 11 trang 78 SBT Toán 12 Tập 1: Cho hai vectơ a→ = (1; 1; −2), b→ = (−3; 0; −1) và điểm A(0; 2; 1). Tọa độ điểm M thỏa mãn AM→=2a→−b→ là

A. M(−5; 1; 2).

B. M(3; −2; 1).

C. M(1; 4; −2).

D. M(5; 4; −2).

Lời giải:

Đáp án đúng là: D

Ta có: 2a→ = (2; 2; −4).

AM→=2a→−b→ = (5; 2; −3).

Gọi M(x; y; z), ta có:

x−0=5y−2=2z−1=−3⇒x=5y=4z=−2⇒ M(5; 4; −2).

Bài 12 trang 78 SBT Toán 12 Tập 1: Cho điểm A(3; −1; 1). Hình chiếu vuông góc với điểm A trên mặt phẳng (Oyz) là điểm

A. M(3; 0; 0).

B. N(0; −1; 1).

C. P(0; −1; 0).

D. Q(0; 0; 1).

Lời giải:

Đáp án đúng là: B

Hình chiếu vuông góc của A trên mặt phẳng (Oyz) là N(0; −1; 1).

Bài 13 trang 78 SBT Toán 12 Tập 1: Cho điểm M(−3; 2; −1) và điểm M’ là điểm đối xứng với M qua mặt phẳng (Oxy). Tọa độ điểm M’ là

A. (−3; 2; 1).

B. (3; 2; 1).

C. (3; 2; −1).

D. (3; −2; −1).

Lời giải:

Đáp án đúng là: A

M’ là điểm đối xứng với M qua mặt phẳng (Oxy) do đó M'(−3; 2; 1).

Bài 14 trang 78 SBT Toán 12 Tập 1: Hình chiếu vuông góc của điểm M(2; 1; −1) trên trục Oz có tọa độ là

A. (2; 1; 0).

B. (0; 0; −1).

C. (2; 0; 0).

D. (0; 1; 0).

Lời giải:

Đáp án đúng là: B

Hình chiếu vuông góc của điểm M(2; 1; −1) trên trục Oz có tọa độ là (0; 0; −1).

Bài 15 trang 78 SBT Toán 12 Tập 1: Cho điểm A(−3; 1; 2) và điểm A’ là điểm đối xứng của A qua trục Oy. Tọa độ của điểm A’ là

A. (3; −1; −2).

B. (3; −1; 2).

C. (3; 1; −2).

D. (−3; −1; 2).

Lời giải:

Đáp án đúng là: C

A’ là điểm đối xứng của A qua trục Oy nên A'(3; 1; −2).

Bài 16 trang 78 SBT Toán 12 Tập 1: Cho hình lập phương ABCD.A’B’C’D’ có cạnh bằng 2.

Cho hình lập phương ABCD.A'B'C'D' có cạnh bằng 2 trang 78 SBT Toán 12 Tập 1

Lời giải:

a) S

b) Đ

c) Đ

d) S

Cho hình lập phương ABCD.A'B'C'D' có cạnh bằng 2 trang 78 SBT Toán 12 Tập 1

Bài 17 trang 79 SBT Toán 12 Tập 1: Cho hai điểm A(3; −2; 4), B(5; 0; 7).

a) OA→=3i→−2j→+4k→.

b) AB→ = (8; −2; 11).

c) Điểm B nằm trong mặt phẳng (Oxz).

d) 2OB→ = (10; 0; 14).

Lời giải:

a) Đ

b) S

c) Đ

d) Đ

a) Ta có: A(3; −2; 4) ⇒ OA→=3;−2;4⇒OA→=3i→−2j→+4k→.

b) Ta có: AB→ = (2; 2; 3).

c) Ta có: yB = 0 do đó điểm B nằm trong mặt phẳng (Oxz).

d) Ta có: B(5; 0; 7) ⇒ OB→ = (5; 0; 7) ⇒ 2OB→ = (10; 0; 14).

Bài 18 trang 79 SBT Toán 12 Tập 1: Cho hai vectơ a→ = (2; 1; 5) và b→ = (5; 0; −2).

a) a→=30.

b) a→, b→ cùng phương.

c) a→+b→ = (7; 1; 3).

d) a→.b→ = 1.

Lời giải:

a) Đ

b) S

c) Đ

d) S

a) Ta có: a→ = (2; 1; 5) ⇒ a→=22+12+52=30.

b) Để a→, b→ cùng phương thì a→=kb→ suy ra:

2=k.51=k.05=k−2⇒k=25k=0k=−52, do đó không có giá trị k thỏa mãn.

Do đó, a→,b→ không cùng phương.

c) Ta có: a→ = (2; 1; 5) và b→ = (5; 0; −2) ⇒ a→+b→ = (2 + 5; 1 + 0; 5 + (−2)) = (7; 1; 3).

d) Ta có: a→.b→ = 2.5 + 1.0 + 5.(−2) = 0.

Bài 19 trang 79 SBT Toán 12 Tập 1: Cho một lực F→ = (4; 6; 9) (đơn vị: N) thực hiện một độ dịch chuyển d→ = (20; 50; 10) (đơn vị: m).

a) Cường độ của lực F→ là 133 N.

b) Độ dài quãng đường dịch chuyển là 1030 m.

c) Công sinh bởi lực F→ khi thực hiện độ dời d→ là 103990 J.

d) cos F→,d→= 470103990

Lời giải:

a) Đ

b) Đ

c) S

d) Đ

a) Cường độ của lực F→=42+62+92= 133 N.

b) Độ dài quãng đường dịch chuyển là: d→=202+502+102=1030 m.

c) Công sinh bởi lực F→ khi thực hiện độ dời d→ là:

A = F→.d→ = 4.20 + 6.50 + 9.10 = 470 (N).

d) Ta có: cosF→,d→ = F→.d→F→.d→=4.20+6.50+9.10133.1030=470103990.

Bài 20 trang 79 SBT Toán 12 Tập 1: Hai vật đang chuyển động với vận tốc lần lượt là a→ = (2; 1; 5) và b→ = (8; 4; 20).

a) Hai vật đang chuyển động cùng hướng.

b) a→.b→ = 120.

c) cosa→,b→ = 1.

d) cosa→,b→ = 0.

Lời giải:

a) Đ

b) Đ

c) Đ

d) S

Ta có: b→ = (8; 4; 20) = 4(2; 1; 5) = 4a→.

Suy ra hai vectơ a→,b→ cùng hướng hay hai vật đang chuyển động cùng hướng.

Ta có: a→.b→ = 2.8 + 1.4 + 5.20 = 120.

Ta có: cosa→,b→ = a→.b→a→.b→=12022+12+52.82+42+202=1.

B. Tự luận

Bài 1 trang 79 SBT Toán 12 Tập 1: Cho hai vectơ a→ = (0; 1; 3) và b→ = (−2; 3; 1). Tìm tọa độ vectơ x→ thỏa mãn 2x→+3a→=4b→

Lời giải:

Ta có: 3a→ = (0; 3; 9), 4b→ = (−8; 12; 4).

2x→+3a→=4b→ ⇔ 2x→=4b→−3a→=(−8;9;−5).

⇒ x→ = −4;92;−52

Bài 2 trang 80 SBT Toán 12 Tập 1: Cho ba vectơ a→ = (1; 0; −2), b→ = (−2; 1; 3) và c→ = (−4; 3; 5). Tìm hai số thực m, n sao cho ma→+nb→=c→

Lời giải:

Ta có: ma→+nb→ = (m – 2n; n; −2m + 3n).

Để ma→+nb→=c→ ⇔ m−2n=−4n=3−2m+3n=5⇒n=3m=2.

Vậy n = 3 và m = 2.

Bài 3 trang 80 SBT Toán 12 Tập 1: Cho hai vectơ a→ = (2; m + 1; −1) và b→ = (1; −3; 2). Tìm giá trị nguyên của m để b→2a→−b→=4

Lời giải:

Ta có: 2a→ = (4; 2m + 2; −2) nên 2a→−b→ = (3; 2m + 5; −4).

            b→2a→−b→ = 3.1 + (2m + 5).(−3) + 2.(−4) = −6m – 20.

Theo đề, ta có: b→2a→−b→=4 ⇒ −6m−20=4 ⇒−6m−20=4−6m−20=−4⇒m=−4m=−83.

Do m ∈ ℤ nên m = −4.

Bài 4 trang 80 SBT Toán 12 Tập 1: Cho hai vectơ u→ = (m; −2; m + 1) và v→ = (0; m – 2; 1). Tìm giá trị của m, để hai vectơ u→ và v→ cùng phương.

Lời giải:

Để hai vectơ u→ và v→ cùng phương thì u→=kv→.

Suy ra, ta có:

m=k.0−2=km−2m+1=k.1⇒m=0k=0.

Vậy m = 0.

Bài 5 trang 80 SBT Toán 12 Tập 1: Cho ba điểm A(2; −1; 3), B(−10; 5; 3) và M(2m – 1; 2; n + 2). Tìm m, n để A, B, M thẳng hàng.

Lời giải:

Ta có: AB→ = (−12; 6; 0), AM→ = (2m – 3; 3; n – 1).

Để A, B, M thẳng hàng thì AB→=kAM→.

Suy ra, ta được:

−12=k2m−36=k.30=kn−1⇒k=2m=−32n=2.

Vậy n = 2, m = −32

Bài 6 trang 80 SBT Toán 12 Tập 1: Cho hai vectơ a→ và b→ thỏa mãn a→=23, b→ = 3 và a→,b→ = 30°. Tính độ dài của vectơ 3a→−2b→

Lời giải:

Ta có: a→.b→=a→.b→.cosa→,b→=23.3.cos30°=9.

Có: 3a→−2b→=9a→2−12a→.b→+4b→2=9.12−12.9+4.9=6

Bài 7 trang 80 SBT Toán 12 Tập 1: Cho hai vectơ u→ = (2; −1; 2), v→ thỏa mãn v→ = 1 và u→−v→ = 4. Tính độ dài của vectơ u→+v→.

Lời giải:

Ta có: u→=22+−12+22=3.

Theo đề, u→−v→ = 4 ⇔ u→−v→2=u→2−2u→.v→+v→2 ⇒ 2u→.v→=u→2+v→2−u→−v→2=−6.

Khi đó, u→+v→2=u→2+v→2+2u→.v→=9+1−6=4.

Vậy u→+v→=4=2.

Bài 8 trang 80 SBT Toán 12 Tập 1: Cho hai vectơ u→,v→ thỏa mãn u→ = 2, v→ = 1 và u→,v→ = 60°. Tính góc giữa hai vectơ v→ và u→−v→

Lời giải:

Vẽ tam giác đều ABC và M là trung điểm BC.

Cho hai vectơ vectơ u, vectơ v  thỏa mãn trị tuyệt đối vetơ u = 2, trị tuyệt đối vectơ v = 1

Ta chọn u→=BA→, v→=BM→ thỏa mãn giá thiết bài toán.

Suy ra u→−v→=BA→−BM→=MA→.

Khi đó, v→,u→−v→=BM→,MA→ = 90°.

Bài 9 trang 80 SBT Toán 12 Tập 1: Cho ba điểm A(−3; 4; 2), B(−5; 6; 2) và C(−4; 7; −1). Tìm tọa độ điểm D thỏa mãn AD→=2AB→+3AC→

Lời giải:

Ta có: AB→ = (−2; 2; 0), AC→ = (−1; 3; −3).

Gọi D(x; y; z).

Theo giả thiết, ta có:

AD→=2AB→+3AC→ ⇔ x+3=−7y−4=13z−2=−9⇔x=−10y=17z=−7.

Vậy D(−10; 17; −7).

Bài 10 trang 80 SBT Toán 12 Tập 1: Cho các điểm A, B, C có tọa độ thỏa mãn OA→=i→+j→+k→, OB→=5i→+j→−k→, BC→=2i→+8j→+3k→. Tìm tọa độ điểm D để tứ giác ABCD là hình bình hành.

Lời giải:

Ta có: OA→=i→+j→+k→ ⇒ OA→ = (1; 1; 1) ⇒ A(1; 1; 1).

           OB→=5i→+j→−k→⇒ OB→ = (5; 1; −1) ⇒ B(5; 1; −1).

           BC→=2i→+8j→+3k→ ⇒ BC→ = (2; 8; 3).

Gọi C(x; y; z), ta có: x−5=2y−1=8z−−1=3⇒x=7y=9z=2 ⇒ C(7; 9; 2).

Gọi D(a; b; c). Vì ABCD là hình bình hành nên

AD→=BC→ ⇒ a−1=2b−1=8c−1=3⇒a=3b=8c=4.

Vậy D(3; 9; 4).

Bài 11 trang 80 SBT Toán 12 Tập 1: Cho tam giác ABC có A(0; 0; 1), B(−1; −2; 0), C(2; 1; −1). Tìm tọa độ chân đường cao H hạ từ A xuống BC.

Lời giải:

Gọi H(x; y; z).

Ta có: AH→ = (x; y; z – 1), BC→ = (3; 3; −1), BH→ = (x + 1; y + 2; z).

H là chân đường cao hạ từ A xuống BC ⇔ AH→⊥BC→BC→,BH→ cuøng phöông.

⇔ x.3+y.3+z−1.−1=0x+13=y+23=z−1⇔x=519y=−1419z=−819.

Vậy H 519;−1419;−819

Bài 12 trang 80 SBT Toán 12 Tập 1: Cho sáu điểm A(1; 2; 3), B(2; −1; 1), C(3; 3; −3) và A’, B’, C’ thỏa mãn

A‘A→+B‘B→+C‘C→=0→. Tìm tọa độ trọng tâm G của tam giác A’B’C’.

Lời giải:

Ta có: A‘A→+B‘B→+C‘C→=0→

⇔ A‘G→+GA→+B‘G→+GB→+C‘G→+GC→=0→

⇔ A‘G→+B‘G→+C‘G→+GA→+GB→+GC→=0→

⇔ GA→+GB→+GC→=0→.

Suy ra G cũng là trọng tâm của tam giác ABC.

Gọi G(x; y; z), ta có:

x=1+2+33=2y=2+−1+33=43z=3+1+−33=13 ⇒ G2;43;13

Bài 13 trang 80 SBT Toán 12 Tập 1: Cho tam giác ABC có đỉnh C(−2; 2; 2) và trọng tâm G(−1; 1; 2). Tìm tọa độ các đỉnh A, B của tam giác ABC, biết điểm A thuộc mặt phẳng (Oxy) và điểm B thuộc Oz.

Lời giải:

Gọi A(xA; yA; 0) ∈ (Oxy) và B(0; 0; zB) ∈ Oz.

Vì G(−1; 1; 2) là trọng tâm tam giác ABC nên

−1=xA+0+−231=yA+0+232=0+zB+23⇒xA=−1yA=1zB=4.

Vậy A(−1; 1; 0), B(0; 0; 4).

Bài 14 trang 80 SBT Toán 12 Tập 1: Cho ba điểm A(2; −1; 3), B(4; 0; 1) và C(−10; 5; 30). Đường phân giác trong của góc B của tam giác ABC cắt BC tại D. Tính BD.

Lời giải:

Gọi D là chân đường phân giác trong của góc B.

Ta có: DADC=BABC=315 ⇒ DA→=−15DC→ ⇒ D(0; 0; 3).

Khi đó, BD→ = (−4; 0; 2) ⇒ BD = −42+02+22 = 25.

Vậy BD = 25

Bài 15 trang 81 SBT Toán 12 Tập 1: Cho ba điểm A(1; 1;1 ), B(−1; 1; 0) và C(3; 1; −1). Gọi M(a; b; c) là điểm thuộc mặt phẳng (Oxz) và cách đều ba điểm A, B, C. Tính tổng a + b + c.

Lời giải:

Vì M(a; b; c) ∈ (Oxz) nên b = 0.

M cách đều ba điểm A, B, C ⇔ MA=MBMA=MC⇔MA2=MB2MA2=MC2.

⇔ 1−a2+1−02+1−c2=−1−a2+1−02+0−c21−a2+1−02+1−c2=3−a2+1−02+−1−c2

⇔a=56c=−76.

Suy ra a + b + c = 56+−76+0 = −13

Bài 16 trang 81 SBT Toán 12 Tập 1: Trong không gian Oxyz được thiết lập tại một sân bay, người ta ghi nhận hai máy bay đang bay đến với các vectơ vận tốc u→ = (90; −80; −120), v→ = (60; −50; −60).

Trong không gian Oxyz được thiết lập tại một sân bay, người ta ghi nhận hai máy bay

Tính góc giữa hai vectơ vận tốc nói trên (kết quả làm tròn đến hàng phần mười của độ).

Lời giải:

Ta có: cosu→,v→=u→.v→u→.v→=90.60+−80.−50+−120.−60902+−802+−1202.602+−502+−602 ≈ 0,991.

Vậy u→,v→ ≈ 7,5°.

Bài 17 trang 81 SBT Toán 12 Tập 1: Để nghiên cứu mô hình mạng tinh thể than chì, một nhà hóa học đã thiết lập một hệ tọa độ Oxyz như Hình 2 (đơn vị: nm). Cho biết ABCDEF có dạng lục giác đều.

Để nghiên cứu mô hình mạng tinh thể than chì, một nhà hóa học đã thiết lập một hệ tọa độ Oxyz

Tìm tọa độ các điểm A, B, C, E, A’.

Lời giải:

Để nghiên cứu mô hình mạng tinh thể than chì, một nhà hóa học đã thiết lập một hệ tọa độ Oxyz

Ta có: AH = 32AB=0,213 (nm).

           CH=AB32 ≈ 0,123 (nm).

           AE = AB3 ≈ 0,246 (nm).

Suy ra A(0; 0; 0), B(0,142; 0; 0), C(0,213; 0,213; 0), E(0; 0,246; 0), A'(0; 0; 0,340).

Bài 18 trang 81 SBT Toán 12 Tập 1: Một robot cắt dây đã di chuyển một lực P→ = (0; 0; −150) (đơn vị: N) theo độ dời d→ = (0; −8; −10) (đơn vị: m). Tính công sinh bởi lực P→ khi thực hiện độ dời nói trên.

Một robot cắt dây đã di chuyển một lực vectơ P= (0; 0; −150) (đơn vị: N)

Lời giải:

Công sinh bởi lực P→ khi thực hiện độ dời d→ là:

A = P→.d→ = 0.0 + 0.(−8) + (−10).(−150) = 1500 (J).

Xem thêm các bài giải SBT Toán lớp 12 Chân trời sáng tạo hay, chi tiết khác:

Bài 3: Biểu thức toạ độ của các phép toán vectơ

Bài tập cuối chương 2

Bài 1: Khoảng biến thiên và khoảng tứ phân vị của mẫu số liệu ghép nhóm

Bài 2: Phương sai và độ lệch chuẩn của mẫu số liệu ghép nhóm

Bài tập cuối chương 3

Bài 1: Nguyên hàm

Tags : Tags 1. Giải sgk Toán 12 Kết nối tri thức | Giải bài tập Toán 12 Kết nối tri thức Tập 1   chi tiết)   Tập 2 (hay
Share
facebookShare on Facebook

Bài liên quan

Sách bài tập Toán 12 (Chân trời sáng tạo): Bài tập cuối chương 4

Sách bài tập Toán 12 Bài 1 (Chân trời sáng tạo): Phương trình mặt phẳng

Sách bài tập Toán 12 Bài 1 (Chân trời sáng tạo): Tính đơn điệu và cực trị của hàm số

Sách bài tập Toán 12 Bài 2 (Chân trời sáng tạo): Phương trình đường thẳng trong không gian

Sách bài tập Toán 12 Bài 2 (Chân trời sáng tạo): Giá trị lớn nhất, giá trị nhỏ nhất của hàm số

Sách bài tập Toán 12 Bài 3 (Chân trời sáng tạo): Phương trình mặt cầu

Sách bài tập Toán 12 Bài 3 (Chân trời sáng tạo): Đường tiệm cận của đồ thị hàm số

Sách bài tập Toán 12 (Chân trời sáng tạo): Bài tập cuối chương 5

Mục lục

  1. Sách bài tập Toán 12 Bài 1 (Chân trời sáng tạo): Tính đơn điệu và cực trị của hàm số
  2. Sách bài tập Toán 12 Bài 2 (Chân trời sáng tạo): Giá trị lớn nhất, giá trị nhỏ nhất của hàm số
  3. Sách bài tập Toán 12 Bài 3 (Chân trời sáng tạo): Đường tiệm cận của đồ thị hàm số
  4. Sách bài tập Toán 12 Bài 4 (Chân trời sáng tạo): Khảo sát và vẽ đồ thị một số hàm số cơ bản
  5. Sách bài tập Toán 12 (Chân trời sáng tạo): Bài tập cuối chương 1
  6. Sách bài tập Toán 12 Bài 1 (Chân trời sáng tạo): Vectơ và các phép toán trong không gian
  7. Sách bài tập Toán 12 Bài 2 (Chân trời sáng tạo): Toạ độ của vectơ trong không gian
  8. Sách bài tập Toán 12 Bài 3 (Chân trời sáng tạo): Biểu thức toạ độ của các phép toán vectơ
  9. Sách bài tập Toán 12 Bài 1 (Chân trời sáng tạo): Khoảng biến thiên và khoảng tứ phân vị của mẫu số liệu ghép nhóm
  10. Sách bài tập Toán 12 Bài 2 (Chân trời sáng tạo): Phương sai và độ lệch chuẩn của mẫu số liệu ghép nhóm
  11. Sách bài tập Toán 12 (Chân trời sáng tạo): Bài tập cuối chương 3
  12. Sách bài tập Toán 12 Bài 1 (Chân trời sáng tạo): Nguyên hàm
  13. Sách bài tập Toán 12 Bài 2 (Chân trời sáng tạo): Tích phân
  14. Sách bài tập Toán 12 Bài 3 (Chân trời sáng tạo): Ứng dụng hình học của tích phân
  15. Sách bài tập Toán 12 (Chân trời sáng tạo): Bài tập cuối chương 4
  16. Sách bài tập Toán 12 Bài 1 (Chân trời sáng tạo): Phương trình mặt phẳng
  17. Sách bài tập Toán 12 Bài 2 (Chân trời sáng tạo): Phương trình đường thẳng trong không gian
  18. Sách bài tập Toán 12 Bài 3 (Chân trời sáng tạo): Phương trình mặt cầu
  19. Sách bài tập Toán 12 (Chân trời sáng tạo): Bài tập cuối chương 5
  20. Sách bài tập Toán 12 Bài 1 (Chân trời sáng tạo): Xác suất có điều kiện
  21. Sách bài tập Toán 12 Bài 2 (Chân trời sáng tạo): Công thức xác suất toàn phần và công thức Bayes
  22. Sách bài tập Toán 12 (Chân trời sáng tạo): Bài tập cuối chương 6

  • Quên mật khẩu
  • Login
  • Đăng ký
Copyright © 2025 Cộng đồng học tập lớp 12 - Sách Toán
Back to Top
Menu
  • Thi đấu
  • Sitemap
Tài khoản

  • Lost your password ?