Giải SBT Toán 12 Bài 1: Tính đơn điệu và cực trị của hàm số
Bài 1 trang 10 SBT Toán 12 Tập 1: Tìm các khoảng đơn điệu và cực trị của các hàm số có đồ thị cho ở Hình 3.
Lời giải:
a) Dựa vào đồ thị hàm số, ta thấy:
Hàm số đồng biến trên các khoảng (−6; −4) và (−1; 3).
Hàm số nghịch biết trên các khoảng (−4; −1) và (3; 6).
Hàm số đạt cực đại tại x = −4, yCĐ = 4 và tại x = 3, yCĐ = 6.
Hàm số đạt cực tiểu tại x = −1, yCT = 2.
b) Dựa vào đồ thị hàm số, ta thấy:
Hàm số đồng biến trên khoảng (−3; 3).
Hàm số nghịch biến trên các khoảng (−6; −3) và (3; 6).
Hàm số đạt cực đại tại x = 3, yCĐ = 4.
Hàm số đạt cực tiểu tại x = −3, yCT = −1.
Bài 2 trang 10 SBT Toán 12 Tập 1: Xét tính đơn điệu và tìm cực trị của các hàm số:
a) y = −x3 – 3x2 + 24x – 1;
b) y = x3 – 8x2 + 5x + 2;
c) y = x3 + 2x2 + 3x + 1;
d) y = −3x3 + 3x2 – x + 2.
Lời giải:
a) y = −x3 – 3x2 + 24x – 1
Tập xác định: D = ℝ.
Ta có: y’ = −3x2 – 6x + 24 ⇔ y’ = 0 ⇔ x = 2 hoặc x = −4.
Ta có bảng biến thiên như sau:
Hàm số đồng biến trên khoảng (−4; 2).
Hàm số nghịch biến trên các khoảng (−∞; −4) và (2; +∞).
Hàm số đạt cực đại tại x = 2, yCĐ = 27.
Hàm số đạt cực tiểu tại x = −4, yCT = −81.
b) y = x3 – 8x2 + 5x + 2
Tập xác định: D = ℝ.
Ta có: y’ = 3x2 – 16x + 5 ⇔ y’ = 0 ⇔ x = 5 hoặc x = .
Ta có bảng biến thiên:
Hàm số đồng biến trên các khoảng và (5; +∞).
Hàm số nghịch biến trên khoảng .
Hàm số đạt cực đại tại x = , yCĐ = .
Hàm số đạt cực tiểu tại x = 5, yCT = −48.
c) y = x3 + 2x2 + 3x + 1
Tập xác định: D = ℝ.
Ta có: y’ = 3x2 + 4x + 3 = > 0, với mọi x.
Do đó hàm số đồng biến trên (−∞; +∞).
Hàm số không có cực trị.
d) y = −3x3 + 3x2 – x + 2.
Tập xác định: D = ℝ.
Ta có: y’ = −9x2 + 6x – 1 = −(3x – 1)2 ≤ 0, với mọi x.
Do đó, hàm số nghịch biến trên (−∞; +∞).
Hàm số không có cực trị.
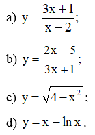
Bài 3 trang 10 SBT Toán 12 Tập 1: Xét tính đơn điệu và tìm cực trị của các hàm số:
Lời giải:
a)
Tập xác định: D = ℝ\{2}.
Ta có: y’ = < 0, với mọi x ∈ D.
Bảng biến thiên:
Do đó, hàm nghịch biến trên các khoảng (−∞; 2) và (2; +∞).
Hàm số không có cực trị.
b)
Tập xác định: D = ℝ\.
Ta có: y’ = > 0, với mọi x ∈ D.
Bảng biến thiên:
Hàm số đồng biến trên các khoảng và .
Hàm số không có cực trị.
c)
Tập xác định: D = [−2; 2].
Ta có: y’ = ⇔ y’ = 0 ⇔ x = 0.
Ta có bảng biến thiên như sau:
Hàm số đồng biến trên khoảng (−2; 0) và nghịch biến trên khoảng (0; 2).
Hàm số đạt cực đại tại x = 0, yCĐ = 2.
d)
Tập xác định: D = (0; +∞).
Ta có: y’ = 1 – = ⇔ y’ = 0 ⇔ x = 1.
Ta có bảng biến thiên như sau:
Hàm số đồng biến trên khoảng (1; +∞).
Hàm số nghịch biến trên khoảng (0; 1).
Hàm số đạt cực tiểu tại x = 1, yCT = 1.
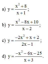
Bài 4 trang 10 SBT Toán 12 Tập 1: Xét tính đơn điệu và tìm cực trị của các hàm số:
Lời giải:
a)
Tập xác định: D = ℝ\{−1}.
Ta có: y’ = =
y’ = 0 ⇔ x2 + 2x – 8 = 0 ⇔ x = 2 hoặc x = −4.
Ta có bảng biến thiên:
Hàm số đồng biến trên các khoảng (−∞; −4) và (2; +∞).
Hàm số nghịch biến trên các khoảng (−4; −1) và (−1; 2).
Hàm số đạt cực đại tại x = −4, yCĐ = −8.
Hàm số đạt cực tiểu tại x = 2, yCT = 4.
b)
Tập xác định: D = ℝ\{2}.
Ta có: y’ = = = .
Nhận thấy y’ > 0, với mọi x ∈ D.
Ta có bảng biến thiên như sau:
Hàm số đồng biến trên các khoảng (−∞; 2) và (2; +∞).
Hàm số không có cực trị.
c)
Tập xác định: D = ℝ\.
Ta có: y’ = = =
Nhận thấy y’ < 0, với mọi x ∈ D.
Ta có bảng biến thiên:
Hàm số nghịch biến trên các khoảng và .
Hàm số không có cực trị.
d)
Tập xác định: D = ℝ\{−3}.
Ta có: y’ = =
y’ = 0 ⇔ = 0 ⇔ x = 1 hoặc x = −7.
Bảng biến thiên:
Hàm số đồng biến trên các khoảng (−7; −3) và (−3; 1).
Hàm số nghịch biến trên các khoảng (−∞; −7) và (1; +∞).
Hàm số đạt cực đại tại x = 1, yCĐ = −8.
Hàm số đạt cực tiểu tại x = −7, yCT = 8.
Bài 5 trang 10 SBT Toán 12 Tập 1: Tìm m để
a) Hàm số đồng biến trên từng khoảng xác định.
b) Hàm số nghịch biến trên từng khoảng xác định.
Lời giải:
a)
Tập xác định: D = ℝ\{1}.
Ta có: y’ = .
Để hàm số đồng biến trên từng khoảng xác định
⇔ y’ = > 0 với mọi x ∈ ℝ\{1}.
⇔ −2 – m > 0
⇔ m < −2.
b)
Tập xác định: D = ℝ\{−2}.
Ta có: y’ = =
Để hàm số nghịch biến trên từng khoảng xác định
y’ ≤ 0 với mọi x ∈ ℝ\{−2}.
⇔ −x2 – 4x + 6 – m ≤ 0 với mọi x ∈ ℝ\{−2}.
⇔ ∆’ = 4 + 6 – m ≤ 0
⇔ 10 – m ≤ 0
⇔ m ≥ 10.
Bài 6 trang 11 SBT Toán 12 Tập 1: Đạo hàm f'(x) của hàm số y = f(x) có đồ thị như Hình 4. Xét tính đơn điệu và tìm các điểm cực trị của hàm số y = f(x).
Lời giải:
Từ đồ thị hàm số y = f'(x) trên, ta có bảng xét dấu sau:
Hàm số y = f(x) đồng biến trên các khoảng (−3; −2) và (1; 2), hàm số nghịch biến trên khoảng (−2; 1).
Hàm số đạt cực đại tại x = −2 và đạt cực tiểu tại x = 1.
Bài 7 trang 11 SBT Toán 12 Tập 1: Chứng minh rằng:
a) tanx ≥ x với mọi x ∈ ;
b) lnx ≤ x – 1 với mọi x > 0.
Lời giải:
a) Đặt f(x) = tanx – x với mọi x ∈ .
Ta có: f'(x) = > 0 với mọi x ∈ .
Do đó f(x) đồng biến trên khoảng , nên f(x) ≥ f(0) – 0 hay tanx ≥ x với mọi
x ∈ .
b) Đặt f(x) = lnx – x + 1 với mọi x > 0.
Ta có: f'(x) = − 1
f'(x) = 0 ⇔ x = 1.
Hàm số đồng biến trên khoảng (0; 1) và nghịch biến trên khoảng (1; +∞).
Do đó f(x) ≤ f(1) – 0 với mọi x > 0 hay lnx ≤ x – 1 với mọi x > 0.
Bài 8 trang 11 SBT Toán 12 Tập 1: Chứng minh rằng:
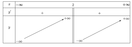
a) Phương trình x3 + 5x2 – 8x + 4 = 0 có duy nhất một nghiệm.
b) Phương trình −x3 + 3x2 + 24x – 1 = 0 có ba nghiệm phân biệt.
Lời giải:
a) Đặt f(x) = x3 + 5x2 – 8x + 4
Khi đó, f'(x) = 3x2 + 10x – 8.
f'(x) = 0 ⇔ x = hoặc x = −4.
Ta có bảng biến thiên như sau:
Từ bảng biến thiên, ta thấy đường thẳng y = 0 giao với đồ thị của hàm số tại đúng một thời điểm trong khoảng (−∞; −4).
Do đó, phương trình x3 + 5x2 – 8x + 4 = 0 có duy nhất một nghiệm.
b) Đặt f(x) = −x3 + 3x2 + 24x + 1
Ta có: f'(x) = −3x2 + 6x + 24
f'(x) = 0 ⇔ x = −2 hoặc x = 4.
Ta có bảng biến thiên như sau:
Từ bảng biến thiên, ta thấy đường thẳng y = 0 giao với đồ thị của hàm số tại ba điểm phân biệt.
Do đó, phương trình −x3 + 3x2 + 24x – 1 = 0 có ba nghiệm phân biệt.
Bài 9 trang 11 SBT Toán 12 Tập 1: Tìm m để phương trình = m có hai nghiệm phân biệt.
Lời giải:
Đạt f(x) =
Tập xác định: D = ℝ\{−1}.
Ta có: f'(x) = =
f'(x) = 0 ⇔ = 0 ⇔ x = 1 hoặc x = −3.
Bảng biến thiên:
Xét sự tương giao của đồ thị hàm số y = và đường thẳng y = m, để phương trình có hai nghiệm phân biệt thì m < −5 hoặc m > 3.
Bài 10 trang 11 SBT Toán 12 Tập 1: Một chất điểm chuyển động lên, xuống theo phương thẳng đứng. Độ cao h(t) của chất điểm tại thời điểm t (giây) được cho bởi công thức
h(t) = t3 – 4t2 + 12t + 1 với 0 ≤ t ≤ 8.
a) Viết công thức tính vận tốc của chất điểm.
b) Trong khoảng thời gian nào chất điểm chuyển động lên, trong khoảng thời gian nào chất điểm chuyển động đi xuống?
Lời giải:
a) Công thức tính vận tốc chất điểm là:
v(t) = h'(t) = t2 – 8t + 12.
b) Ta có: v(t) = h'(t) = t2 – 8t + 12 với 0 ≤ t ≤ 8.
v(t) = 0 ⇔ t2 – 8t + 12 = 0 ⇔ t = 2 hoặc t = 6.
Bảng xét dấu:
Vậy chất điểm chuyển động đi lên (h(t) tăng) khi t trong các khoảng (0; 2) và (6; 8), đi xuống (h(t) giảm) khi t trong khoảng (2; 6).
Bài 11 trang 11 SBT Toán 12 Tập 1: Độ cao (tính bằng mét) của tàu lượn siêu tốc so với mặt đất sau t (giây) (0 ≤ t ≤ 20) từ lúc bắt đầu được cho bởi công thức
h(t) =
Trong khoảng thời gian nào tàu lượn đi xuống, trong khoảng thời gian nào thời gian tàu lượn đi lên?
Lời giải:
Ta có: h(t) = với 0 ≤ t ≤ 20.
h'(t) =
h'(t) = 0 ⇔ x = 7 hoặc x = .
Bảng xét dấu:
Do đó, tàu lượn đi xuống khi t trong các khoảng (0; 7) và , tàu lượn đi lên khi t trong khoảng .
Bài 12 trang 12 SBT Toán 12 Tập 1: Cho điểm A di động trên nửa đường tròn tâm O đường kính MN = 20 cm, = α với 0 ≤ α ≤ π. Lấy điểm B thuộc nửa đường tròn và C, D thuộc đường kính MN được xác định sao cho ABCD là hình chữ nhật. Khi A di động từ trái sang phải, trong các khoảng nào của α thì diện tích của hình chữ nhật ABCD tăng, trong khoảng nào của α thì diện tích hình chữ nhật ABCD giảm?
Lời giải:
Xét tam giác ADO vuông tại D, có AD = sin.AO = 10sinα;
DO = cos.AO = 10cosα.
Diện tích hình chữ nhật ABCD là: y = AD.DC = AD.2DO = 200sinαcosα = 100sin2α.
Ta có: y’ = 200cos2α
y’ = 0 ⇔ α = (0 ≤ α ≤ π).
Ta có bảng biến thiên:
Diện tích ABCD tăng trên khoảng , giảm trên khoảng .
Bài 13 trang 12 SBT Toán 12 Tập 1: Người ta thấy rằng trong vòng 3 năm tính từ đầu năm 2020, giá thành P của một loại sản phẩm vào tháng thứ t thay đổi theo công thức
P(t) = 80t3 – 3 600t2 + 48 000t + 100 000 (đồng) với 0 ≤ t ≤ 36.
Hãy cho biết trong khoảng thời gian nào giá thành sản phẩm tăng, trong khoảng thời gian nào giá thành sản phẩm giảm. Giá thành đạt cực đại và cực tiểu vào thời điểm nào?
Lời giải:
Ta có: P(t) = 80t3 – 3 600t2 + 48 000t + 100 000 với 0 ≤ t ≤ 36.
P'(t) = 240t2 – 7 200t + 48 000
P'(t) = 0 ⇔ 240t2 – 7 200t + 48 000 = 0 ⇔ t = 10 hoặc t = 20.
Ta có bảng xét dấu:
Do đó, giá thành tăng khi t khong các khoảng (0; 10) và (20; 36), giảm khi t trong khoảng (10; 20).
Bài 14 trang 12 SBT Toán 12 Tập 1: Một cửa hàng ước tính số lượng sản phẩm q (0 ≤ q ≤ 100) bán được phụ thuộc vào giá bán p (tính bằng nghìn đồng) theo công thức p + 2q = 300. Chi phi cửa hàng cần chi để nhập về q sản phẩm là C(p) = 0,05p3 – 5,7q2 + 295q + 300 (nghìn đồng).
a) Viết công thức tính lợi nhuận l của cửa hàng khi nhập về và bán được q sản phẩm.
b) Trong khoảng nào của q thì lợi nhuận sẽ tăng khi q tăng, trong khoảng nào thì lợi nhuận giảm khi q tăng?
Lời giải:
a) l = pq – C = q(300 – 2q) – (0,05q3 – 5,7q2 + 295q + 300)
= −0,05q3 + 3,7q2 + 5q – 300.
b) Ta có: l = −0,05q3 + 3,7q2 + 5q – 300
l’ = −0,15q2 + 7,4q + 5
l’ = 0 ⇔ q = (loại) hoặc q = 50.
Ta có bảng biến thiên:
Từ đó, lợi nhuận tăng khi q tăng trong khoảng (0; 50), giảm khi q trong khoảng (50; 100).
Lý thuyết Tính đơn điệu và cực trị của hàm số
1. Tính đơn điệu của hàm số
Định lý 1
|
Cho hàm số y = f(x) có đạo hàm trên K
|
Chú ý:
a) Nếu hàm số y = f(x) có đạo hàm trên K, f’(x) 0 với mọi x thuộc K và f’(x) = 0 chỉ tại một số hữa hạn điểm của K thì hàm số f(x) đồng biến trên K.
b) Nếu hàm số y = f(x) có đạo hàm trên K, f’(x) 0 với mọi x thuộc K và f’(x) = 0 chỉ tại một số hữa hạn điểm của K thì hàm số f(x) nghịch biến trên K.
c) Nếu f’(x) = 0 với mọi x thuộc K thì hàm số không đổi trên K.
2. Cực trị của hàm số
Khái niệm cực trị của hàm số
|
Cho hàm số y = f(x) liên tục trên tập , trong đó K là một khoảng, đoạn hoặc nửa khoảng và
|
Định lý
|
Giả sử hàm số y = f(x) liên tục trên khoảng (a;b) chứa điểm và có đạo hàm trên các khoảng và . Khi đó: a) Nếu f’(x) < 0 với mọi và f’(x) > 0 với mọi thì hàm số f(x) đạt cực tiểu tại điểm b) Nếu f’(x) > 0 với mọi và f’(x) < 0 với mọi thì hàm số f(x) đạt cực tiểu tại điểm |
Sơ đồ tư duy Tính đơn diệu và cực trị của hàm số

Xem thêm các bài giải SBT Toán lớp 12 Chân trời sáng tạo hay, chi tiết khác:
Bài 1: Tính đơn diệu và cực trị của hàm số
Bài 2: Giá trị lớn nhất, giá trị nhỏ nhất của hàm số
Bài 3: Đường tiệm cận của đồ thị hàm số
Bài 4: Khảo sát và vẽ đồ thị một số hàm số cơ bản
Bài tập cuối chương 1
Bài 1: Vectơ và các phép toán trong không gian