Sách bài tập Hóa học 12 Bài 7: Peptide, protein và enzyme
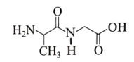
Bài 7.1 trang 23 Sách bài tập Hóa học 12: Cho các chất có công thức cấu tạo sau:
Trong các hợp chất trên, những hợp chất nào thuộc loại dipeptide?
A. Hợp chất (1) và (2).
B. Hợp chất (1) và (3).
C. Hợp chất (2) và (3).
D. Hợp chất (2) và (4).
Lời giải:
Đáp án đúng là: A
Sự kết hợp của 2 đơn vị α – amino acid với nhau được dipeptide.
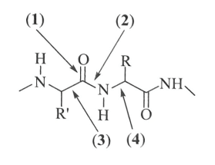
Bài 7.2 trang 23 Sách bài tập Hóa học 12: Trong cấu trúc phân tử của chất cho ở hình bên, liên kết peptide là
A. liên kết (1).
B. liên kết (3).
C. liên kết (2).
D. liên kết (4).
Lời giải:
Đáp án đúng là: C
Liên kết peptide là liên kết giữa nhóm C=O của α-amino acid này với nguyên tử N thuộc nhóm amino của α-amino acid khác.
Bài 7.3 trang 24 Sách bài tập Hóa học 12: Một tripeptide X được cấu thành từ 2 phân tử Ala và 1 phân tử Gly. Công thức cấu tạo của X không thể là
A. Ala-Ala-Gly.
B. Ala-Gly-Ala.
C. Gly-Ala-Ala.
D. Gly-Ala-Gly.
Lời giải:
Đáp án đúng là: D
Do Gly-Ala-Gly được cấu thành từ 2 phân tử gly và 1 phân tử ala.
Bài 7.4 trang 24 Sách bài tập Hóa học 12: Cho peptide X có công thức cấu tạo sau:
Khi thuỷ phân hoàn toàn X trong môi trường thu được sản phẩm hữu cơ có công thức là
A. và .
B. và .
C. và .
D. và .
Lời giải:
Đáp án đúng là: B
Trong môi trường base (NaOH), các amino acid tồn tại dưới dạng muối của nhóm –COOH (có nhóm –COONa).
Bài 7.5 trang 24 Sách bài tập Hóa học 12: Cho các peptide sau: Gly-Val-Ala-Gly (1); Ala-Gly (2); Val-Gly-Ala (3); Gly- Val-Ala (4). Những peptide nào có phản ứng tạo màu biuret với Cu(OH)2 trong môi trường kiềm?
A. (1), (2).
B. (2), (3) và (4).
C. (1), (3) và (4).
D. (3) và (4).
Lời giải:
Đáp án đúng là: C
Trừ dipeptide (2), các peptide còn lại có phản ứng tạo màu biuret với Cu(OH)2 trong môi trường kiềm.
Bài 7.6 trang 24 Sách bài tập Hóa học 12: Phát biểu nào sau đây là không đúng?
A. Khi bị đun nóng, lòng trắng trứng chuyển từ trạng thái lỏng sang trạng thái rắn.
B. Protein là chuỗi polypeptide được tạo thành từ nhiều đơn vị α-amino acid.
C. Albumin trong lòng trắng trứng là protein có dạng hình sợi và không tan trong nước.
D. Khi nhỏ nitric acid vào lòng trắng trứng, màu trắng của lòng trắng trưng chuyển thành màu vàng.
Lời giải:
Đáp án đúng là: C
Albumin trong lòng trắng trứng là protein có dạng hình cầu, tan được trong nước tạo thành dung dịch keo.
Bài 7.7 trang 25 Sách bài tập Hóa học 12: Các enzyme đóng vai trò quan trọng đối với cơ thể sinh vật, như xúc tác cho các quá trình sinh hoá và hoá học. Ví dụ, lipase là enzyme xúc tác cho quá trình thuỷ phân các chất béo chuỗi dài; protease là enzyme xúc tác cho quá trình thuẏ phân các liên kết peptide có trong protein và polypeptide;
Các enzyme chỉ tồn tại và phát triển ở môi truờng gần trung tính và nhiệt độ tương đối thấp (gần với nhiệt độ của cơ thể sinh vật). Khi đóng vai trò là chất xúc tác trong các quá trình sinh hoá, các enzyme không có đặc điểm nào sau đây?
A. Có tính chọn lọc cao.
B. Làm tăng tốc độ của các quá trình sinh hoá.
C. Có tác dụng tốt ở nhiệt độ cao hoặc môi trường acid mạnh.
D. Chỉ hoạt động trong điều kiện nhiệt độ phù hợp.
Lời giải:
Đáp án đúng là: C
Ở nhiệt độ cao, các enzyme bị phân hủy nên mất tính xúc tác. Trong môi trường acid mạnh, các enzyme bị biến đổi cấu trúc (do các enzyme được cấu tạo từ các protein).
Bài 7.8 trang 25 Sách bài tập Hóa học 12: Mỗi phát biểu sau là đúng hay sai?
(a) Tất cả các peptide đều có thể tạo phức chất màu tím với Cu(OH)2/NaOH.
(b) Dung dịch của dipeptide Ala-Gly không làm đổi màu quỳ tím.
(c) Từ 3 α-amino acid khác nhau có thể tạo được 3 tripeptide.
(d) Khi thuỷ phân hoàn toàn polypeptide thu được hỗn hợp các α-amino acid.
Lời giải:
Phát biểu (a) sai vì dipeptide không có phản ứng này.
Phát biểu (b) đúng.
Phát biểu (c) sai vì từ 3 α-amino acid khác nhau có thể tạo được 9 tripeptide chứa đồng thời 3 đơn vị 3 α-amino acid khác nhau này.
Phát biểu (d) đúng.
Bài 7.9 trang 25 Sách bài tập Hóa học 12: Mỗi phát biểu về các protein sau đây là đúng hay sai?
(a) Tất cả các loại protein đều không tan trong nước.
(b) Có thể sử dụng phản ứng màu biuret để nhận biết sự có mặt của protein.
(c) Protein có thể tạo hợp chất màu vàng khi tác dụng với nitric acid.
(d) Khi thuỷ phân hoàn toàn protein thu được hỗn hợp các α-amino acid.
Lời giải:
Phát biểu (a) sai vì protein dạng hình cầu tan được trong nước tạo thành dung dịch keo.
Phát biểu (b) đúng.
Phát biểu (c) đúng.
Phát biểu (d) sai, vì chỉ đúng với các protein đơn giản, các protein phức tạp khi bị thủy phân còn sinh ra các thành phần khác.
Bài 7.10 trang 25 Sách bài tập Hóa học 12: Khi phân tích nguyên tố của một dipeptide X thu được phần trăm khối lượng của các nguyên tố như sau:
A.
B.
C.
D.
Lời giải:
Đáp án đúng là: A
Đặt công thức phân tử của X có dạng: CxHyOzNt.
Ta có:
Vậy công thức phân tử của X là C5H10O3N2.
Vì X là dipeptide, nên X phải có 2 đơn vị α-amino acid.
Vậy các α-amino acid phải là: H2NCH2COOH và H2NCH(CH3)COOH.
Từ đó, dipeptide X có thể là H2NCH2CONHCH(CH3)COOH.
Lý thuyết Peptide, protein và enzyme
I. Peptide
1. Khái niệm
– Peptide là hợp chất được hình thành từ các đơn vị – amino acid kết hợp với nhau qua liên kết peptide ( – CO – NH – )
Ví dụ cấu tạo peptide:

– Sự kết hợp của 2,3,4,… đơn vị – amino acid với nhau tương ứng tạo thành dipeptide, tripeptide, tetrapeptide,…Sự kết hợp của nhiều đơn vị – amino acid với nhau tạo thành polypeptide.
– Theo quy ước, khi biểu diễn phân tử peptide, nhóm amino (của amino acid đầu N) được đặt bên trái, nhóm carboxyl (của amino acid đầu C) được đặt bên phải.
– Các phân tử peptide có thể được biểu diễn bằng cách ghép tên viết tắt (kí hiệu) của các đơn vị amino acid theo đúng trật tự của chúng.
2. Tính chất hóa học
a) Phản ứng màu biuret
Trừ dipeptide, các peptide còn lại có khả năng hòa tan Cu(OH)2 trong môi trường kiềm tạo thành phức chất tan trong nước có màu tím đặc trưng. Phản ứng này còn được gọi là phản ứng màu biuret.
b) Phản ứng thủy phân
Khi đun nóng peptide với dung dịch acid hoặc kiềm sẽ xảy ra phản ứng thủy phân. Tùy thuộc vào pH của phản ứng sẽ cho sản phẩm cuối cùng là các phân tử – amino acid ở các dạng khác nhau (phân tử trung hòa, cation, anion).
II. Protein
1. Khái niệm
Protein là hợp chất cao phân tử được tạo thành từ một hay nhiều polypeptide
2. Cấu tạo
Protein đơn giản là chuỗi polypeptide được tạo thành từ nhiều đơn vị – amino acid.
3. Tính chất vật lí
Các protein như keratin của tóc, móng, sừng, fibroin của tơ nhện, tơ tằm;… là những protein dạng hình sợi, không tan trong nước. Trong khi đó, các protein như albumin của lòng trắng trứng, hemoglobin của máu;…. Là những protein dạng hình cầu, tan được vào nước và tạo thành các dung dịch keo.
4. Tính chất hóa học
a) Phản ứng đông tụ protein
Protein sẽ đông tụ và tách khỏi dung dịch khi được đun nóng hoặc khi thêm dung dịch acid, base, muối của các kim loại nặng như Pb2+, Hg2+,… trong các trường hợp này, sự đông tụ xảy ra do cấu trúc ban đầu của protein đã bị biến đổi.
b) Phản ứng thủy phân
Dưới tác dụng của acid hoặc base hay khi có mặt của các enzyme protease hay peptidase, phân tử protein bị thủy phân với sự phân cắt dần các liên kết peptide để tạo thành các chuỗi peptide và cuối cùng là các – amino acid.
c) Phản ứng màu
– Phản ứng với HNO3
Một số đơn vị amino acid chứa vòng benzene trong protein có thể tham gia phản ứng với dung dịch HNO3 đặc tạo thành hợp chất rắn có màu vàng, đồng thời protein bị đông tụ tạo thành kết tủa.
– Phản ứng với Cu(OH)2 (phản ứng màu biuret)
Protein chứa chuỗi polypeptide nên cũng có phản ứng màu biuret, tác dụng với Cu(OH)2 trong môi trường kiềm tạo thành dung dịch có màu tím đặc trưng.
5. Vai trò của protein với sự sống
– Protein có trong thành phần của mọi tế bào nên ở đâu có sự sống ở đó có protein. Protein cũng là một trong các chất dinh dưỡng, cung cấp năng lượng cho cơ thể.
– Protein cũng đóng vai trò quan trọng trong việc duy trì PH của máu. Nhiều protein là các enzyme, đóng vai trò là xúc tác trong phản ứng sinh hóa.
6. Enzyme
Phần lớn enzyme được cấu tạo từ protein, có khả năng xúc tác cho các quá trình hóa học và sinh hóa.
Xem thêm các bài giải SBT Hóa học lớp 12 Cánh diều hay, chi tiết khác:
Bài 6: Amino acid
Bài 7: Peptide, protein và enzyme
Bài 8: Đại cương về polymer
Bài 9: Vật liệu polymer
Bài 10: Thế điện cực chuẩn của kim loại
Bài 11: Nguồn điện hoá học