Skip to content

Cộng đồng học tập lớp 12

  • Thi đấu
  • Sitemap

Cộng đồng học tập lớp 12

  • Home » 
  • Giải SBT Hóa học 12 - Cánh diều

Giải SBT Hóa 12 Bài 3 (Cánh diều): Giới thiệu về carbohydrate

By Admin Lop12.com 06/03/2025

Sách bài tập Hóa học 12 Bài 3: Giới thiệu về carbohydrate

Bài 3.1 trang 10 Sách bài tập Hóa học 12: Chất nào dưới đây là một disaccharide?

A. Saccharose.

B. Glucose.

C. Cellulose.

D. Fructose.

Lời giải:

Đáp án đúng là: A

Saccharose là một disaccharide. Saccharose được tạo thành từ sự liên kết của một đơn vị glucose với một đơn vị fructose.

Bài 3.2 trang 10 Sách bài tập Hóa học 12: Chất nào dưới đây là một polysaccharide?

A. Saccharose.

B. Maltose.

C. Cellulose.

D. Fructose.

Lời giải:

Đáp án đúng là: C

Cellulose là một polysaccharide, phân tử gồm nhiều đơn vị β-glucose liên kết với nhau.

Bài 3.3 trang 10 Sách bài tập Hóa học 12: Tinh bột là hợp chất thuộc loại

A. disaccharide.

B. monosaccharide.

C. polysaccharide.

D. triglyceride.

Lời giải:

Đáp án đúng là: C

Tinh bột thuộc loại polysaccharide, phân tử gồm nhiều đơn vị α-glucose liên kết với nhau.

Bài 3.4 trang 10 Sách bài tập Hóa học 12: Điền từ hoặc cụm từ thích hợp trong khung vào chỗ trống trong mỗi phát biểu sau.

cellulose; saccharose; maltose; 𝛼 – 1,2 – glycoside; 𝛼 – 1,4 – glycoside;

𝛽– 1,4 – glycoside;𝛽– 1,2 – glycoside;

a) Bông là … (1) … gần như tinh khiết. Phân tử …(1)… gồm các đơn vị glucose liên kết với nhau bằng liên kết …(2)… tạo thành mạch dài.

b) Trong tự nhiên, …(3)… là loại đường có nhiều trong cây mía, củ cải đường, … Phân tử …(3)… gồm một đơn vị glucose và một đơn vị fructose liên kết với nhau bằng liên kết …(4)….

Lời giải:

a) (1) cellulose; (2) β-1,4-glycoside.

b) (3) saccharose; (4) α-1,2-glycoside.

Bài 3.5 trang 10 Sách bài tập Hóa học 12: Tinh bột và cellulose là các polymer lần lượt tạo bởi các mắt xích

A. α-fructose và β-glucose.

B. β-fructose và β-glucose.

C. α-glucose và β-glucose.

D. α-glucose và β-fructose.

Lời giải:

Đáp án đúng là: C

Tinh bột là polymer được tạo bởi các mắt xích α-glucose, cellulose là polymer được tạo bởi các mắt xích β-glucose.

Bài 3.6 trang 10 Sách bài tập Hóa học 12: Công thức nào dưới đây mô tả đúng cấu tạo của fructose ở dạng mạch hở?

Công thức nào dưới đây mô tả đúng cấu tạo của fructose ở dạng mạch hở

Lời giải:

Đáp án đúng là: B

Dựa vào công thức cấu tạo của fructose ở dạng mạch hở trong SGK

Bài 3.7 trang 11 Sách bài tập Hóa học 12: Carbohydrate nào sau đây kém tan trong nước lạnh nhưng tan được trong nước nóng tạo dung dịch keo, nhớt?

A. Glucose.

B. Tinh bột.

C. Cellulose.

D. Saccharose.

Lời giải:

Đáp án đúng là: B

Tinh bột kém tan trong nước lạnh. Tinh bột tan được trong nước nóng tạo dung dịch keo, nhớt (đó là hồ tinh bột).

Bài 3.8 trang 11 Sách bài tập Hóa học 12: Polymer là nguồn carbohydrate dự trữ có trong cơ thể động vật và được tạo thành từ các đơn vị glucose là

A. cellulose.

B. amylose.

C. amylopectin.

D. glycogen.

Lời giải:

Đáp án đúng là: D

Glycogen là polysaccharide có trong cơ thể động vật với vai trò là chất dự trữ năng lượng. Glycogen có cấu trúc tương tự amylopectin nhưng có độ phân nhánh nhiều hơn. Trong cơ thể người, glycogen có nhiều trong gan và trong các cơ.

Bài 3.9 trang 11 Sách bài tập Hóa học 12: Polysaccharide mạch phân nhánh, có nhiều trong các loại ngũ cốc, thường được sử dụng làm lương thực là

A. cellulose.

B. amylose.

C. amylopectin.

D. glycogen.

Lời giải:

Đáp án đúng là: C

Polysaccharide có nhiều trong các loại ngũ cốc, thường được sử dụng làm lương thực là tinh bột (gồm amylose và amylopectin). Trong đó: amylose mạch không phân nhánh, amylopection mạch phân nhánh ⟹ Đáp án C.

Bài 3.10 trang 11 Sách bài tập Hóa học 12: Chất có công thức phân tử C12H22O11, được tạo thành trong quá trình thuỷ phân không hoàn toàn amylose có trong tinh bột là

A. glucose.

B. saccharose.

C. fructose.

D. maltose.

Lời giải:

Đáp án đúng là: D

Từ công thức phân từ C12H22O11 ⟹ Đáp án B hoặc D.

Vì amylose được tạo thành từ các đơn vị glucose nên hợp chất này cũng phải được tạo thành từ các đơn vị glucose ⟹ Maltose ⟹ Đáp án D.

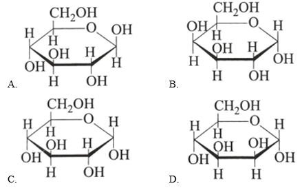
Bài 3.11 trang 11 Sách bài tập Hóa học 12: Công thức nào dưới đây phù hợp với công thức cấu tạo của β-glucose?

Công thức nào dưới đây phù hợp với công thức cấu tạo của β-glucose

Lời giải:

Đáp án đúng là: A

Dựa vào công thức cấu tạo của β-glucose trong SGK.

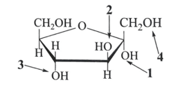
Bài 3.12 trang 11 Sách bài tập Hóa học 12: Trong công thức fructose ở hình bên, nhóm −OH hemiketal là nhóm −OH được đánh số

Trong công thức fructose ở hình bên, nhóm −OH hemiketal là nhóm −OH được đánh số

A. 1.

B. 3.

C. 2.

D. 4.

Lời giải:

Đáp án đúng là: A

Nhóm −OH hemiketal là nhóm −OH được đánh số 1.

Bài 3.13 trang 11 Sách bài tập Hóa học 12: Enzyme amylase chỉ có tác dụng thuỷ phân liên kết α-glycoside giữa các đơn vị glucose. Chất nào dưới đây không chịu tác động của enzyme amylase?

A. Cellulose.

B. Amylose.

C. Amylopectin.

D. Glycogen.

Lời giải:

Đáp án đúng là: A

Cellulose chứa liên kết 𝛽-glycoside giữa các đơn vị glucose nên không chịu tác động của enzyme amylase.

Bài 3.14 trang 12 Sách bài tập Hóa học 12: Sorbitol (C6H14O6) là một chất được dùng trong sản xuất một số loại bánh để tạo vị ngọt, đồng thời làm cho bánh giữ được độ ẩm, độ bóng mịn. Sorbitol cũng được dùng làm thuốc trị táo bón, khó tiêu. Sorbitol thường được tạo thành từ phản ứng hydrogen hoá glucose:

Sorbitol (C6H14O6) là một chất được dùng trong sản xuất một số loại bánh để tạo vị ngọt

Sorbitol có thuộc loại hợp chất carbohydrate không? Vì sao?

Lời giải:

Carbohydrate là những hợp chất hữu cơ tạp chức và thường có công thức chung là Cn(H2O)m.

Sorbitol chỉ chứa nhóm chức −OH, là hợp chất đa chức, không phải hợp chất tạp chức nên sorbitol không thuộc hợp chất carbohydrate.

Bài 3.15 trang 12 Sách bài tập Hóa học 12: Phổ hồng ngoại của fructose được cho ở Hình 3.1. Dựa vào những thông tin nào có thể kết luận: Trong điều kiện đo mẫu, fructose tồn tại chủ yếu ở dạng̣ mạch vòng mà không phải ở dạng mạch hở?

Phổ hồng ngoại của fructose được cho ở Hình 3.1. Dựa vào những thông tin nào có thể kết luận

Lời giải:

Trên phổ hồng ngoại của fructose không thấy xuất hiện tín hiệu của nhóm carbonyl ở vùng 1740 – 1670 cm−1.

Vậy trong điều kiện đo mẫu, fructose tồn tại chủ yếu ở dạng̣ mạch vòng mà không phải ở dạng mạch hở.

Bài 3.16 trang 12 Sách bài tập Hóa học 12: Tìm hiểu và cho biết:

a) Ethanol sinh học là gì?

b) Ở nước ta hiện nay, ethanol sinh học được sản xuất từ nguyên liệu nào?

Lời giải:

a) Ethanol sinh học là ethanol được điều chế bằng phương pháp lên men các nguyên liệu chứa nhiều tinh bột hoặc đường như: ngũ cốc (gạo, ngô, khoai, sắn …), quả chín (nho, anh đào…)…, hoặc những loại sinh khối rẻ tiền, dễ kiếm và không phải là lương thực cho người hoặc thức ăn cho vật nuôi như: rơm, rạ, gỗ,… 

b) Ở nước ta hiện nay, ethanol sinh học được sản xuất chủ yếu bằng cách lên men sắn. Đây là một trong 4 cây lương thực chính ở Việt Nam, có diện tích đứng thứ 3 sau lúa và ngô.

Xem thêm các bài giải SBT Hóa học lớp 12 Cánh diều hay, chi tiết khác:

Bài 2: Xà phòng và chất giặt rửa tổng hợp

Bài 3: Giới thiệu về carbohydrate

Bài 4: Tính chất hoá học của carbohydrate

Bài 5: Amine

Bài 6: Amino acid

Bài 7: Peptide, protein và enzyme

Tags : Tags 1. Giải Hóa học 12 Bài 30: Thực hành: Tính chất của natri   magie   nhôm và hợp chất của chúng
Share
facebookShare on Facebook

Bài liên quan

Giải SBT Hóa 12 Bài 16 (Cánh diều): Hợp kim – Sự ăn mòn kim loại

Giải SBT Hóa 12 Bài 17 (Cánh diều): Nguyên tố nhóm IA

Giải SBT Hóa 12 Bài 1 (Cánh diều): Ester – Lipid

Giải SBT Hóa 12 Bài 18 (Cánh diều): Nguyên tố nhóm IIA

Giải SBT Hóa 12 Bài 2 (Cánh diều): Xà phòng và chất giặt rửa tổng hợp

Giải SBT Hóa 12 Bài 19 (Cánh diều): Nước cứng và làm mềm nước cứng

Giải SBT Hóa 12 Bài 4 (Cánh diều): Tính chất hoá học của carbohydrate

Giải SBT Hóa 12 Bài 20 (Cánh diều): Sơ lược về kim lại chuyển tiếp dãy thứ nhất

Mục lục

  1. Giải SBT Hóa 12 Bài 1 (Cánh diều): Ester – Lipid
  2. Giải SBT Hóa 12 Bài 2 (Cánh diều): Xà phòng và chất giặt rửa tổng hợp
  3. Giải SBT Hóa 12 Bài 4 (Cánh diều): Tính chất hoá học của carbohydrate
  4. Giải SBT Hóa 12 Bài 5 (Cánh diều): Amine
  5. Giải SBT Hóa 12 Bài 6 (Cánh diều): Amino acid
  6. Giải SBT Hóa 12 Bài 7 (Cánh diều): Peptide, protein và enzyme
  7. Giải SBT Hóa 12 Bài 8 (Cánh diều): Đại cương về polymer
  8. Giải SBT Hóa 12 Bài 9 (Cánh diều): Vật liệu polymer
  9. Giải SBT Hóa 12 Bài 10 (Cánh diều): Thế điện cực chuẩn của kim loại
  10. Giải SBT Hóa 12 Bài 11 (Cánh diều): Nguồn điện hoá học
  11. Giải SBT Hóa 12 Bài 12 (Cánh diều): Điện phân
  12. Giải SBT Hóa 12 Bài 13 (Cánh diều): Cấu tạo và tính chất vật lí của kim loại
  13. Giải SBT Hóa 12 Bài 14 (Cánh diều): Tính chất hoá học của kim loại
  14. Giải SBT Hóa 12 Bài 15 (Cánh diều): Tách kim loại và tái chế kim loại
  15. Giải SBT Hóa 12 Bài 16 (Cánh diều): Hợp kim – Sự ăn mòn kim loại
  16. Giải SBT Hóa 12 Bài 17 (Cánh diều): Nguyên tố nhóm IA
  17. Giải SBT Hóa 12 Bài 18 (Cánh diều): Nguyên tố nhóm IIA
  18. Giải SBT Hóa 12 Bài 19 (Cánh diều): Nước cứng và làm mềm nước cứng
  19. Giải SBT Hóa 12 Bài 20 (Cánh diều): Sơ lược về kim lại chuyển tiếp dãy thứ nhất
  20. Giải SBT Hóa 12 Bài 21 (Cánh diều): Sơ lược về phức chất
  21. Giải SBT Hóa 12 Bài 22 (Cánh diều): Sơ lược về sự hình thành phức chất của ion kim loại chuyển tiếp trong dung dịch

  • Quên mật khẩu
  • Login
  • Đăng ký
Copyright © 2025 Cộng đồng học tập lớp 12
Back to Top
Menu
  • Thi đấu
  • Sitemap
Tài khoản

  • Đăng ký
  • Lost your password ?