Skip to content

Cộng đồng học tập lớp 12

  • Thi đấu
  • Sitemap

Cộng đồng học tập lớp 12

  • Home » 
  • Giải SGK Toán 12 – Kết nối

Giải SGK Toán 12 (Kết nối tri thức): Khảo sát và vẽ đồ thị hàm số với phần mềm GeoGebra

By Admin Lop12.com 18/02/2025

Giải bài tập Toán 12 Khảo sát và vẽ đồ thị hàm số với phần mềm GeoGebra

Thực hành 1 trang 91 Toán 12 Tập 1: Cho các hàm số đa thức sau:

(1) y = 3x2+3x+1;

(2) y = x3 – 6x2 + 9;

(3) y = x4 – 4x2 + 3.

a) Tìm đạo hàm cấp một và đạo hàm cấp hai của các hàm số trên.

b) Tìm tất cả các điểm cực trị của các hàm số trên.

c) Vẽ đồ thị của các hàm số trên.

Lời giải:

(1) y = 3x2+3x+1.

a) Để tính đạo hàm cấp một ta dùng lệnh Derivative(3x2+3x+1), kết quả sẽ được hiển thị như hình bên dưới

Thực hành 1 trang 91 Toán 12 Tập 1 | Kết nối tri thức Giải Toán 12

Để tính đạo hàm cấp hai ta dùng lệnh Derivative(3x2+3x+1, 2), kết quả sẽ được hiển thị như hình bên dưới

Thực hành 1 trang 91 Toán 12 Tập 1 | Kết nối tri thức Giải Toán 12

b) Để tìm cực trị của hàm số, ta dùng lệnh Extremum(3x2+3x+1), kết quả sẽ được hiển thị như hình sau

Thực hành 1 trang 91 Toán 12 Tập 1 | Kết nối tri thức Giải Toán 12

c) Nhập hàm số y = 3x2+3x+1 vào ô lệnh, màn hình sẽ hiển thị đồ thị của hàm số cần vẽ như hình bên dưới

Thực hành 1 trang 91 Toán 12 Tập 1 | Kết nối tri thức Giải Toán 12

(2) y = x3 – 6x2 + 9

a) Để tính đạo hàm cấp một ta dùng lệnh Derivative(x3 – 6x2 + 9), kết quả sẽ được hiển thị như hình bên dưới

Thực hành 1 trang 91 Toán 12 Tập 1 | Kết nối tri thức Giải Toán 12

Để tính đạo hàm cấp hai ta dùng lệnh Derivative(x3 – 6x2 + 9, 2), kết quả sẽ được hiển thị như hình bên dưới

Thực hành 1 trang 91 Toán 12 Tập 1 | Kết nối tri thức Giải Toán 12

b) Để tìm cực trị của hàm số, ta dùng lệnh Extremum(x3 – 6x2 + 9), kết quả sẽ được hiển thị như hình sau

Thực hành 1 trang 91 Toán 12 Tập 1 | Kết nối tri thức Giải Toán 12

c) Nhập hàm số y = x3 – 6x2 + 9 vào ô lệnh, màn hình sẽ hiển thị đồ thị của hàm số cần vẽ như hình bên dưới

Thực hành 1 trang 91 Toán 12 Tập 1 | Kết nối tri thức Giải Toán 12

(3) y = x4 – 4x2 + 3

a) Để tính đạo hàm cấp một ta dùng lệnh Derivative(x4 – 4x2 + 3), kết quả sẽ được hiển thị như hình bên dưới

Thực hành 1 trang 91 Toán 12 Tập 1 | Kết nối tri thức Giải Toán 12

Để tính đạo hàm cấp hai ta dùng lệnh Derivative(x4 – 4x2 + 3, 2), kết quả sẽ được hiển thị như hình bên dưới

Thực hành 1 trang 91 Toán 12 Tập 1 | Kết nối tri thức Giải Toán 12

b) Để tìm cực trị của hàm số, ta dùng lệnh Extremum(x4 – 4x2 + 3), kết quả sẽ được hiển thị như hình sau

Thực hành 1 trang 91 Toán 12 Tập 1 | Kết nối tri thức Giải Toán 12

c) Nhập hàm số y = x4 – 4x2 + 3 vào ô lệnh, màn hình sẽ hiển thị đồ thị của hàm số cần vẽ như hình bên dưới

Thực hành 1 trang 91 Toán 12 Tập 1 | Kết nối tri thức Giải Toán 12

Thực hành 2 trang 91 Toán 12 Tập 1: Cho các hàm số phân thức hữu tỉ sau:

(1) y = xx+2;

(2) y = 2x−1x+1;

(3) y = x2−2x−8x−1;

(4) y = 5x+1+32x−3.

a) Tìm đạo hàm cấp một của các hàm số trên.

b) Tìm các đường tiệm cận của đồ thị các hàm số trên.

c) Vẽ đồ thị của các hàm số trên.

Lời giải:

(1) y = xx+2

a) Để tính đạo hàm cấp một ta dùng lệnh Derivative(xx+2), kết quả sẽ được hiển thị như hình bên dưới

Thực hành 2 trang 91 Toán 12 Tập 1 | Kết nối tri thức Giải Toán 12

b) Để tìm đường tiệm cận của đồ thị hàm số, ta nhập lệnh Asymptote(xx+2), kết quả được hiển thị như hình bên dưới

Thực hành 2 trang 91 Toán 12 Tập 1 | Kết nối tri thức Giải Toán 12

c) Bước 1: Vẽ tiệm cận của đồ thị hàm số y = xx+2 bằng cách nhập câu lệnh Asymptote(xx+2).

Bước 2: Vẽ đồ thị hàm số y = xx+2 bằng cách nhập hàm số y = xx+2 vào ô lệnh. Kết quả được hiển thị như hình bên dưới

Thực hành 2 trang 91 Toán 12 Tập 1 | Kết nối tri thức Giải Toán 12

(2) y = 2x−1x+1

a) Để tính đạo hàm cấp một ta dùng lệnh Derivative(2x−1x+1), kết quả sẽ được hiển thị như hình bên dưới

Thực hành 2 trang 91 Toán 12 Tập 1 | Kết nối tri thức Giải Toán 12

b) Để tìm đường tiệm cận của đồ thị hàm số, ta nhập lệnh Asymptote(2x−1x+1), kết quả được hiển thị như hình bên dưới

Thực hành 2 trang 91 Toán 12 Tập 1 | Kết nối tri thức Giải Toán 12

c) Bước 1: Vẽ tiệm cận của đồ thị hàm số y = 2x−1x+1 bằng cách nhập câu lệnh Asymptote(2x−1x+1).

Bước 2: Vẽ đồ thị hàm số y = 2x−1x+1bằng cách nhập hàm số y = 2x−1x+1 vào ô lệnh. Kết quả được hiển thị như hình bên dưới

Thực hành 2 trang 91 Toán 12 Tập 1 | Kết nối tri thức Giải Toán 12

(3) y = x2−2x−8x−1

a) Để tính đạo hàm cấp một ta dùng lệnh Derivative(x2−2x−8x−1), kết quả sẽ được hiển thị như hình bên dưới

Thực hành 2 trang 91 Toán 12 Tập 1 | Kết nối tri thức Giải Toán 12

b) Để tìm đường tiệm cận của đồ thị hàm số, ta nhập lệnh Asymptote(x2−2x−8x−1), kết quả được hiển thị như hình bên dưới

Thực hành 2 trang 91 Toán 12 Tập 1 | Kết nối tri thức Giải Toán 12

c) Bước 1: Vẽ tiệm cận của đồ thị hàm số y = x2−2x−8x−1 bằng cách nhập câu lệnh Asymptote(x2−2x−8x−1).

Bước 2: Vẽ đồ thị hàm số y = x2−2x−8x−1 bằng cách nhập hàm số y = x2−2x−8x−1 vào ô lệnh. Kết quả được hiển thị như hình bên dưới

Thực hành 2 trang 91 Toán 12 Tập 1 | Kết nối tri thức Giải Toán 12

(4) y = 5x+1+32x−3

a) Để tính đạo hàm cấp một ta dùng lệnh Derivative(5x+1+32x−3), kết quả sẽ được hiển thị như hình bên dưới

Thực hành 2 trang 91 Toán 12 Tập 1 | Kết nối tri thức Giải Toán 12

b) Để tìm đường tiệm cận của đồ thị hàm số, ta nhập lệnh Asymptote(5x+1+32x−3), kết quả được hiển thị như hình bên dưới

Thực hành 2 trang 91 Toán 12 Tập 1 | Kết nối tri thức Giải Toán 12

c) Bước 1: Vẽ tiệm cận của đồ thị hàm số y = 5x+1+32x−3 bằng cách nhập câu lệnh Asymptote(5x+1+32x−3).

Bước 2: Vẽ đồ thị hàm số y = 5x+1+32x−3 bằng cách nhập hàm số y = 5x+1+32x−3 vào ô lệnh. Kết quả được hiển thị như hình bên dưới

Thực hành 2 trang 91 Toán 12 Tập 1 | Kết nối tri thức Giải Toán 12

Thực hành 3 trang 91 Toán 12 Tập 1: Tìm giá trị lớn nhất và giá trị nhỏ nhất của các hàm số sau:

a) y = x3 – 3x2 – 9x + 35 trên đoạn [−4; 4];

b) y = −3x4+4x2+2 trên đoạn [−1; 1];

c) y = x+5x trên đoạn [1; 10];

d) y = sin2x – x trên đoạn −π2;π2.

Lời giải:

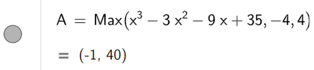
a) Để tìm giá trị lớn nhất của hàm số y = x3 – 3x2 – 9x + 35 trên đoạn [−4; 4] ta dùng lệnh Max(x3 – 3x2 – 9x + 35, −4, 4), kết quả thể hiện ở hình vẽ sau

Thực hành 3 trang 91 Toán 12 Tập 1 | Kết nối tri thức Giải Toán 12

Vậy giá trị lớn nhất của hàm số là 40.

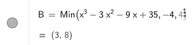
Để tìm giá trị nhỏ nhất của hàm số y = x3 – 3x2 – 9x + 35 trên đoạn [−4; 4] ta dùng lệnh Min(x3 – 3x2 – 9x + 35, −4, 4), kết quả thể hiện ở hình vẽ sau

Thực hành 3 trang 91 Toán 12 Tập 1 | Kết nối tri thức Giải Toán 12

Vậy giá trị nhỏ nhất của hàm số là 8.

b) Để tìm giá trị lớn nhất của hàm số y = −3x4+4x2+2 trên đoạn [−1; 1] ta dùng lệnh Max(−3x4+4x2+2, −1, 1), kết quả thể hiện ở hình vẽ sau

Thực hành 3 trang 91 Toán 12 Tập 1 | Kết nối tri thức Giải Toán 12

Vậy giá trị lớn nhất của hàm số là 2,75.

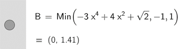
Để tìm giá trị nhỏ nhất của hàm số y = −3x4+4x2+2 trên đoạn [−1; 1] ta dùng lệnh Min(−3x4+4x2+2, −1, 1), kết quả thể hiện ở hình vẽ sau

Thực hành 3 trang 91 Toán 12 Tập 1 | Kết nối tri thức Giải Toán 12

Vậy giá trị nhỏ nhất của hàm số là 1,41.

c) Để tìm giá trị lớn nhất của hàm số y = x+5x trên đoạn [1; 10] ta dùng lệnh Max(x+5x, 1, 10), kết quả thể hiện ở hình vẽ sau

Thực hành 3 trang 91 Toán 12 Tập 1 | Kết nối tri thức Giải Toán 12

Vậy giá trị lớn nhất của hàm số là 10,22.

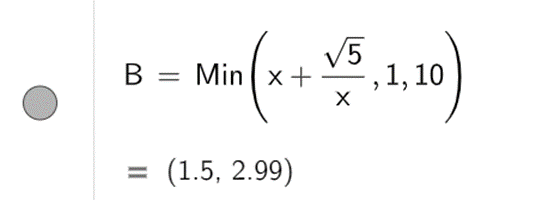
Để tìm giá trị nhỏ nhất của hàm số y = x+5x trên đoạn [1; 10] ta dùng lệnh Min(x+5x, 1, 10), kết quả thể hiện ở hình vẽ sau

Thực hành 3 trang 91 Toán 12 Tập 1 | Kết nối tri thức Giải Toán 12

Vậy giá trị nhỏ nhất của hàm số là 2,99.

d) Để tìm giá trị lớn nhất của hàm số y = sin2x – x trên đoạn −π2;π2 ta dùng lệnh Max(sin2x – x, −π2,π2), kết quả thể hiện ở hình vẽ sau

Thực hành 3 trang 91 Toán 12 Tập 1 | Kết nối tri thức Giải Toán 12

Vậy giá trị lớn nhất của hàm số là 0,34.

Để tìm giá trị nhỏ nhất của hàm số y = sin2x – x trên đoạn −π2;π2 ta dùng lệnh Min( sin2x – x, −π2,π2), kết quả thể hiện ở hình vẽ sau

Thực hành 3 trang 91 Toán 12 Tập 1 | Kết nối tri thức Giải Toán 12

Vậy giá trị nhỏ nhất của hàm số là −0,34.

Xem thêm các bài giải bài tập Toán lớp 12 Kết nối tri thức hay, chi tiết khác:

Bài tập cuối chương 3

Khảo sát và vẽ đồ thị hàm số với phần mềm GeoGebra

Vẽ vectơ tổng của ba vectơ trong không gian bằng phần mêm GeoGebra

Độ dài gang tay (gang tay của bạn dài bao nhiêu?)

Bài 11. Nguyên hàm

Bài 12. Tích phân

Tags : Tags 1. Giải sgk Toán 12 Kết nối tri thức | Giải bài tập Toán 12 Kết nối tri thức Tập 1   chi tiết)   Tập 2 (hay
Share
facebookShare on Facebook

Bài liên quan

Giải SGK Toán 12 (Kết nối tri thức): Độ dài gang tay (gang tay của bạn dài bao nhiêu?)

Giải SGK Toán 12 Bài 11 (Kết nối tri thức): Nguyên hàm

Giải SGK Toán 12 Bài 1 (Kết nối tri thức): Tính đơn điệu và cực trị của hàm số

Giải SGK Toán 12 Bài 12 (Kết nối tri thức): Tích phân

Giải SGK Toán 12 Bài 2 (Kết nối tri thức): Giá trị lớn nhất và giá trị nhỏ nhất của hàm số

Giải SGK Toán 12 Bài 13 (Kết nối tri thức): Ứng dụng hình học của tích phân

Giải SGK Toán 12 Bài 3 (Kết nối tri thức): Đường tiệm cận của đồ thị hàm số

Giải SGK Toán 12 (Kết nối tri thức): Bài tập cuối chương 4 trang 27

Mục lục

  1. Giải SGK Toán 12 Bài 1 (Kết nối tri thức): Tính đơn điệu và cực trị của hàm số
  2. Giải SGK Toán 12 Bài 2 (Kết nối tri thức): Giá trị lớn nhất và giá trị nhỏ nhất của hàm số
  3. Giải SGK Toán 12 Bài 3 (Kết nối tri thức): Đường tiệm cận của đồ thị hàm số
  4. Giải SGK Toán 12 Bài 4 (Kết nối tri thức): Khảo sát sự biến thiên và vẽ đồ thị của hàm số
  5. Giải SGK Toán 12 Bài 5 (Kết nối tri thức): Ứng dụng đạo hàm để giải quyết một số vấn đề liên quan đến thực tiễn
  6. Giải SGK Toán 12 (Kết nối tri thức): Bài tập cuối chương 1 trang 42
  7. Giải SGK Toán 12 Bài 6 (Kết nối tri thức): Vectơ trong không gian
  8. Giải SGK Toán 12 Bài 7 (Kết nối tri thức): Hệ trục toạ độ trong không gian
  9. Giải SGK Toán 12 Bài 8 (Kết nối tri thức): Biểu thức toạ độ của các phép toán vectơ
  10. Giải SGK Toán 12 (Kết nối tri thức): Bài tập cuối chương 2 trang 73
  11. Giải SGK Toán 12 Bài 9 (Kết nối tri thức): Khoảng biến thiên và khoảng tứ phân vị
  12. Giải SGK Toán 12 Bài 10 (Kết nối tri thức): Phương sai và độ lệch chuẩn
  13. Giải SGK Toán 12 (Kết nối tri thức): Bài tập cuối chương 3 trang 85
  14. Giải SGK Toán 12 (Kết nối tri thức): Vẽ vectơ tổng của ba vectơ trong không gian bằng phần mêm GeoGebra
  15. Giải SGK Toán 12 (Kết nối tri thức): Độ dài gang tay (gang tay của bạn dài bao nhiêu?)
  16. Giải SGK Toán 12 Bài 11 (Kết nối tri thức): Nguyên hàm
  17. Giải SGK Toán 12 Bài 12 (Kết nối tri thức): Tích phân
  18. Giải SGK Toán 12 Bài 13 (Kết nối tri thức): Ứng dụng hình học của tích phân
  19. Giải SGK Toán 12 (Kết nối tri thức): Bài tập cuối chương 4 trang 27
  20. Giải SGK Toán 12 Bài 14 (Kết nối tri thức): Phương trình mặt phẳng
  21. Giải SGK Toán 12 Bài 15 (Kết nối tri thức): Phương trình đường thẳng trong không gian
  22. Giải SGK Toán 12 Bài 16 (Kết nối tri thức): Công thức tính góc trong không gian
  23. Giải SGK Toán 12 Bài 17 (Kết nối tri thức): Phương trình mặt cầu
  24. Giải SGK Toán 12 (Kết nối tri thức): Bài tập cuối chương 5 trang 61
  25. Giải SGK Toán 12 Bài 18 (Kết nối tri thức): Xác suất có điều kiện
  26. Giải SGK Toán 12 Bài 19 (Kết nối tri thức): Công thức xác suất toàn phần và công thức Bayes
  27. Giải SGK Toán 12 (Kết nối tri thức): Bài tập cuối chương 6 trang 79
  28. Giải SGK Toán 12 (Kết nối tri thức): Tính nguyên hàm và tích phân với phần mềm GeoGebra. Tính gần đúng tích phân bằng phương pháp hình
  29. Giải SGK Toán 12 (Kết nối tri thức): Vẽ đồ hoạ 3D với phần mềm GeoGebra

  • Quên mật khẩu
  • Login
  • Đăng ký
Copyright © 2025 Cộng đồng học tập lớp 12 - Sách Toán
Back to Top
Menu
  • Thi đấu
  • Sitemap
Tài khoản

  • Lost your password ?