Skip to content

Cộng đồng học tập lớp 12

  • Thi đấu
  • Sitemap

Cộng đồng học tập lớp 12

  • Home » 
  • Giải Chuyên đề học tập Hóa học 12 - Kết nối

Chuyên đề Hóa 12 Kết nối tri thức Bài 2: Cơ chế phản ứng thế

By Admin Lop12.com 01/03/2025

Giải Chuyên đề Hóa 12 Bài 2: Cơ chế phản ứng thế

Mở đầu trang 11 Chuyên đề Hóa học 12: Phản ứng thế là phản ứng trong đó nguyên tử hay nhóm nguyên tử trong phân tử hợp chất hữu cơ được thay thế bằng nguyên tử hay nhóm nguyên tử khác. Cơ chế phản ứng thế xảy ra như thế nào? Các yếu tố nào ảnh hưởng đến sự hình thành sản phẩm của loại phản ứng này?

Lời giải:

* Cơ chế phản ứng thế:

– Phản ứng halogen hoá alkane xảy ra theo cơ chế gốc (SR) gồm ba giai đoạn chính: giai đoạn khơi mào, giai đoạn phát triển mạch, giai đoạn tắt mạch.

– Phản ứng halogen hoá, nitro hoá benzene xảy ra theo cơ chế SEAr.

– Phản ứng thuỷ phân dẫn xuất halogen trong môi trường base có thể diễn ra theo cơ chế SN1 hoặc SN2, tuỳ thuộc vào bậc của dẫn xuất halogen.

* Yếu tố ảnh hưởng đến sự hình thành sản phẩm của phản ứng thế:

– Ảnh hưởng của tác nhân;

– Ảnh hưởng của cấu tạo: Ví dụ trong phản ứng thế gốc vào nguyên tử carbon no của alkane, nguyên tử hydrogen liên kết với nguyên tử carbon bậc cao hơn sẽ dễ bị thế hơn do tạo gốc tự do bền hơn.

– Ảnh hưởng của dung môi …

I. Phản ứng thế gốc vào nguyên tử carbon no của alkane

Câu hỏi và bài tập 1 trang 12 Chuyên đề Hóa học 12: Khi monobromine hoá propane, thu được hai sản phẩm là 2 – bromopropane và 1 – bromopropane. Hãy viết phương trình hoá học, cơ chế của phản ứng và dự đoán sản phẩm nào là sản phẩm chính.

Lời giải:

* Phương trình hoá học:

Khi monobromine hoá propane, thu được hai sản phẩm là 2 – bromopropane và 1 – bromopropane

* Cơ chế phản ứng: Phản ứng trên xảy ra theo cơ chế thế gốc (SR), gồm ba giai đoạn chính như sau:

– Giai đoạn khơi mào phản ứng:

Khi monobromine hoá propane, thu được hai sản phẩm là 2 – bromopropane và 1 – bromopropane

– Giai đoạn phát triển mạch phản ứng:

Khi monobromine hoá propane, thu được hai sản phẩm là 2 – bromopropane và 1 – bromopropane

– Giai đoạn tắt mạch phản ứng:

Khi monobromine hoá propane, thu được hai sản phẩm là 2 – bromopropane và 1 – bromopropane

* Dự đoán sản phẩm chính:

Khi monobromine hoá propane, thu được hai sản phẩm là 2 – bromopropane và 1 – bromopropane

Do trong phản ứng thế gốc vào nguyên tử carbon no của alkane, nguyên tử hydrogen liên kết với nguyên tử carbon bậc cao hơn sẽ dễ bị thế hơn do tạo gốc tự do bền hơn.

II. Phản ứng thế electrophile vào nhân thơm

Câu hỏi và bài tập 2 trang 12 Chuyên đề Hóa học 12: Viết cơ chế của phản ứng hoá học sau:

Viết cơ chế của phản ứng hoá học sau trang 12 Chuyên đề Hóa học 12

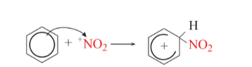
Biết rằng H2SO4 proton hoá nhóm – OH của HNO3, sau đó tách nước để tạo tác nhân electrophile +NO2.

Lời giải:

Cơ chế phản ứng xảy ra như sau:

– Quá trình tạo ra tác nhân electrophile +NO2.

Viết cơ chế của phản ứng hoá học sau trang 12 Chuyên đề Hóa học 12

– Quá trình tương tác giữa benzene và tác nhân electrophile.

Viết cơ chế của phản ứng hoá học sau trang 12 Chuyên đề Hóa học 12

– Quá trình tách proton để tạo thành sản phẩm:

Viết cơ chế của phản ứng hoá học sau trang 12 Chuyên đề Hóa học 12

III. Phản ứng thế nucleophile

Câu hỏi và bài tập 2 trang 13 Chuyên đề Hóa học 12: Viết phương trình hoá học phản ứng thuỷ phân chloroethane và 2 – chloro – 2 – methylpropane trong dung dịch NaOH và cơ chế của mỗi phản ứng.

Lời giải:

* Phản ứng thuỷ phân chloroethane trong dung dịch NaOH:

– Phương trình hoá học:

Viết phương trình hoá học phản ứng thuỷ phân chloroethane và 2 – chloro – 2 – methylpropane

– Cơ chế của phản ứng: chloroethane là dẫn xuất halogen bậc một do đó phản ứng thuỷ phân diễn ra theo cơ chế SN2.

Viết phương trình hoá học phản ứng thuỷ phân chloroethane và 2 – chloro – 2 – methylpropane

* Phản ứng thuỷ phân 2 – chloro – 2 – methylpropane trong dung dịch NaOH:

– Phương trình hoá học:

Viết phương trình hoá học phản ứng thuỷ phân chloroethane và 2 – chloro – 2 – methylpropane

– Cơ chế của phản ứng: 2 – chloro – 2 – methylpropane là dẫn xuất halogen bậc ba, do đó phản ứng thuỷ phân chủ yếu diễn ra theo cơ chế SN1.

Viết phương trình hoá học phản ứng thuỷ phân chloroethane và 2 – chloro – 2 – methylpropane

Em có thể trang 13 Chuyên đề Hóa học 12: Viết được cơ chế một số phản ứng thế như: SR của alkane; SEAr của arene và SN1, SN2 của dẫn xuất halogen.

Lời giải:

*Ví dụ cơ chế phản ứng thế SR của alkane:

CH4+Cl2→hν/toCH3Cl+HCl

– Giai đoạn khơi mào phản ứng:

Cl−Cl→hν/to2Cl•

– Giai đoạn phát triển mạch phản ứng:

CH3−H+Cl•→C•H3+HCl

C•H3+Cl−Cl→CH3−Cl+Cl•

…

– Giai đoạn tắt mạch phản ứng:

Em có thể trang 13 Chuyên đề Hóa học 12

* Ví dụ cơ chế phản ứng thế SEAr của arene:

Em có thể trang 13 Chuyên đề Hóa học 12

– Quá trình tạo ra tác nhân electrophile +NO2.

Em có thể trang 13 Chuyên đề Hóa học 12

– Quá trình tương tác giữa benzene và tác nhân electrophile.

Em có thể trang 13 Chuyên đề Hóa học 12

– Quá trình tách proton để tạo thành sản phẩm:

Em có thể trang 13 Chuyên đề Hóa học 12

* Ví dụ cơ chế phản ứng thế SN1, SN2 của dẫn xuất halogen.

– Phản ứng thuỷ phân chloroethane trong dung dịch NaOH:

Em có thể trang 13 Chuyên đề Hóa học 12

Chloroethane là dẫn xuất halogen bậc một do đó phản ứng thuỷ phân diễn ra theo cơ chế SN2.

Em có thể trang 13 Chuyên đề Hóa học 12

– Phản ứng thuỷ phân 2 – chloro – 2 – methylpropane trong dung dịch NaOH:

Em có thể trang 13 Chuyên đề Hóa học 12

2 – chloro – 2 – methylpropane là dẫn xuất halogen bậc ba, do đó phản ứng thuỷ phân chủ yếu diễn ra theo cơ chế SN1.

NaOH→Na++O−H

Em có thể trang 13 Chuyên đề Hóa học 12

Xem thêm các bài giải Chuyên đề học tập Hóa học 12 Kết nối tri thức hay, chi tiết khác:

Bài 1: Đại cương về cơ chế phản ứng

Bài 2: Cơ chế phản ứng thế

Bài 3: Cơ chế phản ứng cộng

Bài 4: Tái chế kim loại

Bài 5: Công nghiệp silicate

Bài 6: Xử lí nước sinh hoạt

Tags : Tags 1. Giải Hóa học 12 Bài 30: Thực hành: Tính chất của natri   magie   nhôm và hợp chất của chúng
Share
facebookShare on Facebook

Bài liên quan

Giải Chuyên đề Hóa học 12 Kết nối tri thức | Chuyên đề học tập Hóa 12 Kết nối tri thức (hay, ngắn gọn)

Chuyên đề Hóa 12 Kết nối tri thức Bài 1: Đại cương về cơ chế phản ứng

Chuyên đề Hóa 12 Kết nối tri thức Bài 3: Cơ chế phản ứng cộng

Chuyên đề Hóa 12 Kết nối tri thức Bài 4: Tái chế kim loại

Chuyên đề Hóa 12 Kết nối tri thức Bài 5: Công nghiệp silicate

Chuyên đề Hóa 12 Kết nối tri thức Bài 6: Xử lí nước sinh hoạt

Chuyên đề Hóa 12 Kết nối tri thức Bài 7: Một số vấn đề cơ bản về phức chất

Chuyên đề Hóa 12 Kết nối tri thức Bài 8: Liên kết và cấu tạo của phức chất

Mục lục

  1. Giải Chuyên đề Hóa học 12 Kết nối tri thức | Chuyên đề học tập Hóa 12 Kết nối tri thức (hay, ngắn gọn)
  2. Chuyên đề Hóa 12 Kết nối tri thức Bài 1: Đại cương về cơ chế phản ứng
  3. Chuyên đề Hóa 12 Kết nối tri thức Bài 3: Cơ chế phản ứng cộng
  4. Chuyên đề Hóa 12 Kết nối tri thức Bài 4: Tái chế kim loại
  5. Chuyên đề Hóa 12 Kết nối tri thức Bài 5: Công nghiệp silicate
  6. Chuyên đề Hóa 12 Kết nối tri thức Bài 6: Xử lí nước sinh hoạt
  7. Chuyên đề Hóa 12 Kết nối tri thức Bài 7: Một số vấn đề cơ bản về phức chất
  8. Chuyên đề Hóa 12 Kết nối tri thức Bài 8: Liên kết và cấu tạo của phức chất
  9. Chuyên đề Hóa 12 Kết nối tri thức Bài 9: Vai trò và ứng dụng của phức chất

  • Quên mật khẩu
  • Login
  • Đăng ký
Copyright © 2025 Cộng đồng học tập lớp 12
Back to Top
Menu
  • Thi đấu
  • Sitemap
Tài khoản

  • Lost your password ?