Skip to content

Học tập lớp 12

  • Đề thi Toán
  • Đề thi Anh
  • Hướng nghiệp
  • Trắc nghiệm Holland
  • Tính điểm xét tuyển

Học tập lớp 12

  • Home » 
  • Toán lớp 5

Giải SGK Toán lớp 5 trang 135, 136, 137, 138 Bài 35: Ôn tập chung | Kết nối tri thức

By Admin Lop12.com 14/02/2026 0

Giải bài tập Toán lớp 5 trang 135, 136, 137, 138 Bài 35: Ôn tập chung

Luyện tập (trang 135, 136)

Giải Toán lớp 5 trang 135 Bài 1: a) Viết rồi đọc hỗn số chỉ phần đã tô màu của mỗi hình dưới đây (theo mẫu).

Toán lớp 5 Kết nối tri thức Bài 35: Ôn tập chung (trang 135) | Giải Toán lớp 5

b) Chuyển các hỗn số sau thành phân số (theo mẫu)

Toán lớp 5 Kết nối tri thức Bài 35: Ôn tập chung (trang 135) | Giải Toán lớp 5

c) Chuyển các phân số sau thành số thập phân (theo mẫu).

Toán lớp 5 Kết nối tri thức Bài 35: Ôn tập chung (trang 135) | Giải Toán lớp 5

Lời giải:

a)

Toán lớp 5 Kết nối tri thức Bài 35: Ôn tập chung (trang 135) | Giải Toán lớp 5

b) Chuyển các hỗn số thành phân số:

525=5×5+25=275

4710=4×10+710=4710

613100=6×100+13100=613100

c) Chuyển các phân số thành số thập phân:

9650=192100=1,92

327300=109100=1,09

204125=16321000=1,632

Giải Toán lớp 5 trang 135 Bài 2: Tính.

Toán lớp 5 Kết nối tri thức Bài 35: Ôn tập chung (trang 135) | Giải Toán lớp 5

Lời giải:

Toán lớp 5 Kết nối tri thức Bài 35: Ôn tập chung (trang 135) | Giải Toán lớp 5

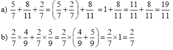
Giải Toán lớp 5 trang 135 Bài 3: Tính bằng cách thuận tiện.

Toán lớp 5 Kết nối tri thức Bài 35: Ôn tập chung (trang 135) | Giải Toán lớp 5

Lời giải:

Toán lớp 5 Kết nối tri thức Bài 35: Ôn tập chung (trang 135) | Giải Toán lớp 5

Giải Toán lớp 5 trang 136 Bài 4: Trong một đợt thu gom giấy vụn, lớp 5A đã thu gom được 45 kg giấy vụn, lớp 5B đã thu gom được số giấy vụn bằng 23 số giấy vụn của lớp 5A, lớp 5C thu gom được ít hơn lớp 5B là 15 kg. Biết 1 kg giấy vụn làm được 15 cuốn vở tái chế. Hỏi số giấy vụn của cả ba lớp làm được bao nhiêu cuốn vở tái chế?

Toán lớp 5 Kết nối tri thức Bài 35: Ôn tập chung (trang 135) | Giải Toán lớp 5

Lời giải:

Lớp 5B thu gom được số ki-lô-gam giấy vụn là:

45×23=30 (kg)

Lớp 5C thu gom được số ki-lô-gam giấy vụn là:

30 – 15 = 15 (kg)

Cả ba lớp thu gom được số ki-lô-gam giấy vụn là:

45 + 30 + 15 = 90 (kg)

Giấy vụn của cả ba lớp làm được số cuốn vở tái chế là:

15 × 90 = 1 350 (cuốn)

Đáp số: 1 350 cuốn

Luyện tập (trang 136, 137)

Giải Toán lớp 5 trang 136 Bài 1: a) Số?

Toán lớp 5 Kết nối tri thức Bài 35: Ôn tập chung (trang 135) | Giải Toán lớp 5

b) Nêu cách đọc các số thập phân sau:

Toán lớp 5 Kết nối tri thức Bài 35: Ôn tập chung (trang 135) | Giải Toán lớp 5

Lời giải:

a)

Toán lớp 5 Kết nối tri thức Bài 35: Ôn tập chung (trang 135) | Giải Toán lớp 5

b) Cách đọc các số thập phân sau:

35,471: Ba mươi lăm phẩy bốn trăm bảy mốt.

24,607: Hai mươi tư phẩy sáu tăm linh bảy.

0,026: Không phẩy không hai sáu

5,004: Năm phẩy không không bốn.

Giải Toán lớp 5 trang 136 Bài 2: a) >; <; =?

Toán lớp 5 Kết nối tri thức Bài 35: Ôn tập chung (trang 135) | Giải Toán lớp 5

b) Sắp xếp các số 5,1; 6,321; 5,099; 6,3209 theo thứ tự từ bé đến lớn.

Lời giải:

a) >; <; =?

• 5,099 < 5,1

• 6,321 > 6,3209

• 102,30 = 102,3000

b) So sánh các số 5,1; 6,321; 5,099; 6,3209 có:

So sánh phần nguyên: 5 < 6

+ So sánh các số 5,1 và 5,099 bằng cách so sánh các chữ số ở phần thập phân có:

Chữ số phần mười: 0 < 1 nên 5,099 < 5,1

+ So sánh các số 6,321 và 6,3209 bằng cách so sánh các chữ số ở phần thập phân có:

Chữ số phần mười: 3 = 3

Chữ số phần trăm: 2 = 2

Chữ số phần nghìn: 0 < 1

Vậy: 6,3209 < 6,321

Vậy: 5,099 < 5,1 < 6,3209 < 6,321

Các số sắp xếp theo thứ tự từ bé đến lớn là: 5,099; 5,1; 6,3209; 6,321.

Giải Toán lớp 5 trang 136 Bài 3: Đặt tính rồi tính

34,28 + 19,45

68,72 – 39,24

17,32 × 14

75,52 : 16

Lời giải:

Toán lớp 5 Kết nối tri thức Bài 35: Ôn tập chung (trang 135) | Giải Toán lớp 5

Giải Toán lớp 5 trang 137 Bài 4: Số?

Toán lớp 5 Kết nối tri thức Bài 35: Ôn tập chung (trang 135) | Giải Toán lớp 5

Cho hình tam giác vuông ABC và hình tròn tâm O với kích thước như hình vẽ bên.

a) Diện tích hình tam giác vuông ABC là Toán lớp 5 Kết nối tri thức Bài 35: Ôn tập chung (trang 135) | Giải Toán lớp 5 cm2.

b) Diện tích hình tròn tâm O là Toán lớp 5 Kết nối tri thức Bài 35: Ôn tập chung (trang 135) | Giải Toán lớp 5 cm2.

c) Chu vi hình tròn tâm O là Toán lớp 5 Kết nối tri thức Bài 35: Ôn tập chung (trang 135) | Giải Toán lớp 5 cm.

Lời giải:

a) Diện tích hình tam giác vuông ABC là 24 cm2.

b) Diện tích hình tròn tâm O là 78,5 cm2.

c) Chu vi hình tròn tâm O là 31,4 cm.

a)                                     Diện tích tam giác vuông ABC là:

6×82=24 (cm2)

Đáp số: 24 cm2

b)                                          Bán kính hình tròn tâm O là:

10 : 2 = 5 (cm)

Diện tích hình tròn tâm O là:

3,14 × 5 × 5 = 78,5 (cm2)

Đáp số: 78,5 cm2

c)                                               Chu vi hình tròn tâm O là:

3,14 × 10 = 31,4 (cm)

Đáp số: 31,4 cm

Giải Toán lớp 5 trang 137 Bài 5: Có 6 kg đường chia đều vào 12 túi.

Hỏi:

a) 8 túi đường như vậy có bao nhiêu ki-lô-gam đường?

b) Nếu 1 kg đường loại đó giá 17 000 đồng thì mua 10 túi đường như vậy hết bao nhiêu tiền?

Lời giải:

a)

Mỗi túi đựng được số ki-lô-gam đường là:

6 : 12 = 0,5 (kg)

8 túi đường có số ki-lô-gam đường là:

0,5 × 8 = 4 (kg)

b)                           10 túi đường đựng được số ki-lô-gam đường là:

0,5 × 10 = 5 (kg)

Mua 10 túi đường hết số tiền là:

17 000 × 5 = 85 000 (đồng)

Đáp số: a) 4 kg;  b) 85 000 đồng

Luyện tập (trang 137, 138)

Giải Toán lớp 5 trang 137 Bài 1: Chọn câu trả lời đúng.

a) Số gồm: Ba mươi lăm đơn vị, hai phần mười, không phần trăm, sáu phần nghìn viết là:

A. 35,26                         

B. 35,026                        

C. 35,206              

D. 35,260

b) Chữ số 8 trong số thập phân nào dưới đây ở hàng phần trăm?

A. 38,025                       

B. 30,812                        

C. 32,081              

D. 12,308

Lời giải:

a) Đáp án đúng là: C

Ba mươi lăm đơn vị, hai phần mười, không phần trăm, sáu phần nghìn viết là: 35,206

b) Đáp án đúng là: C

Số 38,025 có chữ số 8 thuộc hàng đơn vị

Số 30,812 có chữ số 8 thuộc hàng phần mười

Số 32,081 có chữ số 8 thuộc hàng phần trăm

Số 12,308 có chữ số 8 thuộc hàng phần nghìn

Giải Toán lớp 5 trang 137 Bài 2: Chọn câu trả lời đúng.

a) Số thích hợp với dấu “?” của  Toán lớp 5 Kết nối tri thức Bài 35: Ôn tập chung (trang 135) | Giải Toán lớp 5là:

A. 0,1052                       

B. 1,052                          

C. 10,52                

D. 105,2

b) Diện tích các miếng bìa được ghi như hình vẽ dưới đây.

Toán lớp 5 Kết nối tri thức Bài 35: Ôn tập chung (trang 135) | Giải Toán lớp 5

Hình có diện tích lớn nhất là:

A. Hình 1                        

B. Hình 2                        

C. Hình 3              

D. Hình 4

Lời giải:

a) Đáp án đúng là: C

1 052 ha = 1052100 km2 = 10,52 km2

b) Đáp án đúng là: B

Hình 1: 16 dm2 9 cm2 = 16 dm2 + 0,09 dm2 = 16,09 dm2

Hình 2: 16,1 dm2

Hình 3: 15 dm2 98 cm2 = 15 dm2 + 0,98 dm2 = 15,98 dm2

Hình 4: 16,09 dm2

Ta so sánh các số: 16,09; 16,1; 15,98; 16,09:

+ So sánh phần nguyên: 15 < 16

+ So sánh phần thập phân các số 16,09; 16,1 có:

Chữ số phần mười: 0 < 1 nên 16,09 < 16,1

Vậy hình có diện tích lớn nhất là: Hình 2.

Giải Toán lớp 5 trang 138 Bài 3: Cho hình thang vuông ABCD có đáy lớn hơn đáy bé 40 cm, có chiều cao bằng trung bình cộng của hai đáy và bằng 80 cm. Đoạn thẳng BE vuông góc với CD chia hình thang thành hình chữ nhật ABED và hình tam giác BCE. Tính:

Toán lớp 5 Kết nối tri thức Bài 35: Ôn tập chung (trang 135) | Giải Toán lớp 5

a) Diện tích hình tam giác BCE.

b) Chu vi hình chữ nhật ABED.

Lời giải:

a)                                               Tổng độ dài hai đáy là:

80 × 2 = 160 (m)

Độ dài đáy lớn là:

(160 + 40) : 2 = 100 (m)

Độ dài đáy bé là:

(160 – 40) : 2 = 60 (m)

Độ dài cạnh EC là:

100 – 60 = 40 (cm)

Diện tích tam giác BCE là:

80×402=60 (cm2)

b)                                               Chu vi hình chữ nhật là:

(80 + 60) × 2 = 280 (cm)

Đáp số: a) 60 cm2

b) 280 cm

Giải Toán lớp 5 trang 138 Bài 4: Tính giá trị của biểu thức.

a) (64,2 – 36,6) : 1,2 + 13,15

b) 12,5 × 3,6 + 12,5 × 2,4

Lời giải:

a) (64,2 – 36,6) : 1,2 + 13,15 = 27,6 : 1,2 + 13,15

        = 23 + 13,15

        = 36,15

b) 12,5 × 3,6 + 12,5 × 2,4 = 12,5 × (3,6 + 12,5)

   = 12,5 × 16,1

   = 201,25

Giải Toán lớp 5 trang 138 Bài 5: Rô-bốt đã vẽ hình thang ABCD và hình tròn tâm O (như hình vẽ)

Toán lớp 5 Kết nối tri thức Bài 35: Ôn tập chung (trang 135) | Giải Toán lớp 5

Biết AB = 16 cm, CD = 28 cm, AD = 57 CD. Tính:

a) Chu vi hình tròn.

b) Diện tích phần đã tô màu

Lời giải:

a)                                                   Độ dài cạnh AD là:

28×57=20 (cm)

Chu vi hình tròn là:

3,14 × 20 = 62,8 (cm)

b)                                               Bán kính hình tròn là:

20 : 2 = 10 (cm)

Diện tích hình tròn là:

3,14 × 10 × 10 = 314 (cm2)

Diện tích hình thang ABCD là:

28+16×202=440 (cm2)

Diện tích phần tô màu là:

440 – 314 = 126 (cm2)

Đáp số: a) 62,8

b) 126 cm2

Xem thêm các bài giải bài tập Toán lớp 5 Kết nối tri thức hay, chi tiết khác:

Bài 30. Ôn tập số thập phân

Bài 31. Ôn tập các phép tính với số thập phân

Bài 32. Ôn tập một số hình phẳng

Bài 33. Ôn tập diện tích, chu vi một số hình phẳng

Bài 34. Ôn tập đo lường

Bài 35. Ôn tập chung

Tags : Tags Giải bài tập SGK Toán lớp 5
Share
facebookShare on Facebook

Leave a Comment Hủy

Mục lục

  1. Bài tập cuối tuần Toán lớp 5 Kết nối tri thức Tuần 35
  2. Bài tập cuối tuần Toán lớp 5 Kết nối tri thức Tuần 34
  3. Bài tập cuối tuần Toán lớp 5 Kết nối tri thức Tuần 33
  4. Bài tập cuối tuần Toán lớp 5 Kết nối tri thức Tuần 32
  5. Bài tập cuối tuần Toán lớp 5 Kết nối tri thức Tuần 31
  6. Bài tập cuối tuần Toán lớp 5 Kết nối tri thức Tuần 30
  7. Bài tập cuối tuần Toán lớp 5 Kết nối tri thức Tuần 29
  8. Bài tập cuối tuần Toán lớp 5 Kết nối tri thức Tuần 28
  9. Bài tập cuối tuần Toán lớp 5 Kết nối tri thức Tuần 27
  10. Bài tập cuối tuần Toán lớp 5 Kết nối tri thức Tuần 26
  11. Bài tập cuối tuần Toán lớp 5 Kết nối tri thức Tuần 25
  12. Bài tập cuối tuần Toán lớp 5 Kết nối tri thức Tuần 24
  13. Bài tập cuối tuần Toán lớp 5 Kết nối tri thức Tuần 23
  14. Bài tập cuối tuần Toán lớp 5 Kết nối tri thức Tuần 22
  15. Bài tập cuối tuần Toán lớp 5 Kết nối tri thức Tuần 21
  16. Bài tập cuối tuần Toán lớp 5 Kết nối tri thức Tuần 20
  17. Bài tập cuối tuần Toán lớp 5 Kết nối tri thức Tuần 19
  18. Bài tập cuối tuần Toán lớp 5 Kết nối tri thức Tuần 18
  19. Bài tập cuối tuần Toán lớp 5 Kết nối tri thức Tuần 17
  20. Bài tập cuối tuần Toán lớp 5 Kết nối tri thức Tuần 16

Copyright © 2026 Học tập lớp 12 - Sách Toán - Học Tập AI
  • Sitemap
  • Chính sách
  • Giới thiệu
  • Hướng dẫn
  • Kết quả
  • Liên hệ
Back to Top
Menu
  • Sitemap
  • Chính sách
  • Giới thiệu
  • Hướng dẫn
  • Kết quả
  • Liên hệ