Lý thuyết Hóa học 12 Bài 4: Saccharose và maltose
A. Lý thuyết Saccharose và maltose
1. Trạng thái tự nhiên và công thức cấu tạo của saccharose, maltose
– Saccharose còn được gọi là đường ăn, là chất rắn, vị ngọt, dễ tan trong nước. Saccharose có nhiều trong cây mía, hoa thốt nốt, củ cải đường,….
– Maltose cũng là chất rắn, vị ngọt, dễ tan trong nước. Maltose chủ yếu được tạo ra trong quá trình thủy phân tinh bột.
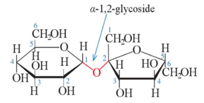
– Saccharose và maltose đều là các disaccharose có công thức phân tử C12H22O11. Phân tử saccharose được tạo bởi một đơn vị – glucose và một đơn vị – fructose, liên kết với nhau qua nguyên tử oxygen giữa C1 của đơn vị – glucose và C2 của đơn vị – frutose:

– Phân tử maltose được tạo bởi hai đơn bị glucose, liên kết với nhau qua liên kết – 1,4 – glycoside

2. Tính chất hóa học cơ bản của saccharose
1. Phản ứng với copper(II) hydroxide
Dung dịch màu xanh lam được tạo thành khi cho dung dịch saccharose tác dụng với copper(II) hydroxide trong môi trường kiềm
2C12H22O11 + Cu(OH)2 Cu(C12H21O11)2 + 2H2O
2. Phản ứng thủy phân
– Saccharose bị thủy phân tạo thành glucose và fructose. Phản ứng xảy ra khi có xúc tác acid hoặc có mặt của enzyme

Ứng dụng của saccharose và maltose
Saccharose và maltose được sử dụng nhiều trong công nghiệp chế biến thực phẩm.
Sơ đồ tư duy Saccharose và maltose

B. Trắc nghiệm Saccharose và maltose
Câu 1. Khi cho dung dịch saccharose vào ống nghiệm chứa Cu(OH)2/NaOH, lắc nhẹ ống nghiệm thì thấy có hiện tượng nào sau đây?
A. Kim loại màu vàng sáng bám trên bề mặt ống nghiệm.
B. Kết tủa màu đỏ gạch xuất hiện trong ống nghiệm.
C. Dung dịch trở nên đồng nhất và có màu xanh lam.
D. Chất lỏng trong ống nghiệm tách thành hai lớp và xuất hiện kết tủa màu xanh nhạt lắng xuống đáy ống nghiệm.
Hướng dẫn giải
Đáp án đúng là: C
Do xảy ra phản ứng:
2C12H22O11 + Cu(OH)2 (C12H21O11)2Cu + 2H2O
Câu 2. Một phân tử saccharos có bao nhiêu nhóm -OH?
A. 6.
B. 7.
C. 8.
D. 9.
Hướng dẫn giải
Đáp án đúng là: C
Saccharose có 8 nhóm –OH trong phân tử.
Câu 3. Cho các carbohydrate sau: glucose, fructose, saccharose và maltose. Số carbohydrate có khả năng mở vòng trong dung dịch nước là
A. 1.
B. 2.
C. 3.
D. 4.
Hướng dẫn giải
Đáp án đúng là: C
Glucose, fructose, maltose có khả năng mở vòng trong dung dịch nước.
Saccharose không có nhóm – OH hemiacetal hoặc nhóm – OH hemiketal nên không có tính chất này.
Câu 4. Các phát biểu nào sau đây không đúng về trạng thái tự nhiên và ứng dụng của saccharose và maltose?
A. Saccharose và maltose thường được sử dụng trong sản xuất bánh kẹo.
B. Saccharose là nguồn cung cấp năng lượng quan trọng cho con người.
C. Saccharose có nhiều trong cây mía, củ cải đường và hoa thốt nốt.
D. Maltose nhiều trong quả nho chín.
Hướng dẫn giải
Đáp án đúng là: D
Trong quả nho chín chứa nhiều glucose.
Câu 5. Saccharose (hay đường kính, đường mía có công thức phân tử là C12H22O11, được hình thành từ sự liên kết của một đơn vị glucose với một đơn vị fructose. Thuỷ phân saccharose bằng dung dịch H2SO4 thu được dung dịch X. Phát biểu nào sau đây không đúng?
A. Dung dịch X có khả năng làm mất màu dung dịch bromine.
B. Khi thuỷ phân hoàn toàn 3,42 gam saccharose, thì dung dịch X phản ứng với thuốc Tollens tạo 4,32 gam Ag.
C. Saccharose không tham gia phản ứng với thuốc thử Tollens.
D. Saccharose là chất rắn, màu trắng, có cấu trúc ở dạng mạch mở vòng.
Hướng dẫn giải
Đáp án đúng là: D
Saccharose có cấu trúc dạng mạch vòng.
Câu 6: Saccharose được cấu tạo từ
A. hai đơn vị glucose qua liên kết α-1,4-glycoside.
B. một đơn vị glucose và một đơn vị fructose qua liên kết α-1,2-glycoside.
C. hai đơn vị fructose qua liên kết β-1,4-glycoside.
D. một đơn vị glucose và một đơn vị galactose qua liên kết α-1,4-glycoside.
Hướng dẫn giải
Đáp án đúng là: B
Saccharose được cấu tạo từ một đơn vị glucose và một đơn vị fructose qua liên kết α-1,2-glycoside.
Câu 7. Maltose được tạo ra từ quá trình nào sau đây?
A. Thuỷ phân saccharose.
B. Thuỷ phân tinh bột.
C. Kết hợp glucose và fructose.
D. Lên men ethanol.
Hướng dẫn giải
Đáp án đúng là: B
Maltose được tạo ra từ quá trình thủy phân tinh bột.
Câu 8. Saccharose và maltose đều tham gia phản ứng nào sau đây?
A. Phản ứng với thuốc thử Tollens.
B. Phản ứng thuỷ phân trong môi trường acid.
C. Phản ứng với dung dịch nước bromine.
D. Phản ứng với Cu(OH)2, tạo kết tủa đỏ gạch.
Hướng dẫn giải
Đáp án đúng là: B
Saccharose và maltose đều tham gia phản ứng thủy phân do cả 2 chất đều là disaccharide.
Câu 9. Saccharose thường được tìm thấy trong loại thực vật nào sau đây?
A. Cây đậu nành.
B. Cây lúa mì.
C. Cây mía.
D. Cây cà phê.
Hướng dẫn giải
Đáp án đúng là: C
Saccharose thường được tìm thấy trong cây mía.
Câu 10. Saccharose là một disaccharide. Phát biểu nào sau đây về saccharose là đúng?
A. Saccharose không bị thuỷ phân trong môi trường acid.
B. Thuỷ phân saccharose chỉ thu được glucose.
C. Thuỷ phân saccharose thu được cả glucose và fructose.
D. Thuỷ phân saccharose chỉ thu được fructose.
Hướng dẫn giải
Đáp án đúng là: C
C12H22O11 + H2O C6H12O6 + C6H12O6
saccharose glucose fructose
Câu 11: Các phát biểu về cấu tạo của saccharose và maltose
|
Phát biểu |
Đúng |
Sai |
|
a. Maltose được tạo thành từ hai đơn vị fructose. |
||
|
b. Maltose có liên kết -1,4-glycoside giữa hai đơn vị glucose. |
||
|
c. Phân tử saccharose chứa một liên kết -1,2-glycoside. |
||
|
d. Phân từ saccharose chỉ tồn tại dạng mạch vòng. |
Hướng dẫn giải
a – Sai. Vì maltose được tạo thành từ 2 đơn vị glucose.
b – Đúng.
c – Sai. Phân từ saccharose chứa một liên kết -1,2 – glycoside
d – Đúng.
Câu 12: Trong các phát biểu sau hãy chỉ ra phát biểu nào đúng, phát biểu nào sai?
|
Phát biểu |
Đúng |
Sai |
|
a. Saccharose và maltose đều có công thức phân tử C12H22O11 nên chúng là đồng đẳng của nhau. |
||
|
b. Saccharose có khả năng hòa tan Cu(OH)2 trong môi trường kiềm ở điều kiện thường tạo dung dịch xanh lam. |
||
|
c. Thủy phân hoàn toàn saccharose trong môi trường acid thu được glucose và fructose. |
||
|
d. Saccharose có khả năng phản ứng với thuốc thử Tollens. |
Hướng dẫn giải
a – Sai. Vì chúng có cùng công thức phân tử nên chúng là đồng phân của nhau.
b – Đúng.
c – Đúng.
d – Sai. Vì saccharose không có nhóm -CHO nên không phản ứng với thuốc thử Tollens.
Câu 13: Thuỷ phân 100 gam saccharose thu được 104,5 gam hỗn hợp gồm glucose, fructose và saccharose còn dư. Tính hiệu suất của phản ứng thuỷ phân saccharose?
Hướng dẫn giải
Đáp án đúng là: 85,5
Giải thích: C12H22O11 + H2O C6H12O6 (glucose) + C6H12O6 (fructose) Bảo toàn khối lượng ta có: mtrước phản ứng = msau phản ứng Hay Câu 14: Trong quá trình sản xuất bia, maltose được tạo ra từ quá trình lên men của mạch nha. Một nhà máy bia dự định sản xuất 10 000 kg maltose để đáp ứng nhu cầu sản xuất bia thì nhà máy này cần nhập bao nhiêu bao mạch nha? (Biết 1 kg mạch nha có thể tạo ra 0,8 kg maltose, khối lượng mỗi bao là 50 kg) Hướng dẫn giải Đáp án đúng là: 250 bao Giải thích: Số bao mạch nha cần sử dụng là bao. Câu 15: Cho 51,3 gam maltose tác dụng hoàn toàn với dung dịch AgNO3/NH3. Sau phản ứng thu được m gam Ag. Tính giá trị của m? Hướng dẫn giải Đáp án đúng là: 32,4 gam Giải thích: mol Khối lượng Ag thu được sau phản ứng là 0,3.108 = 32,4 gam. Xem thêm các bài tóm tắt lý thuyết Hóa học lớp 12 Chân trời sáng tạo hay, chi tiết khác: Lý thuyết Bài 3: Glucose và fructose Lý thuyết Bài 4: Saccharose và maltose Lý thuyết Bài 5: Tinh bột và cellulose Lý thuyết Bài 6: Amine Lý thuyết Bài 7: Amino acid và peptide Lý thuyết Bài 8: Protein và enzyme