Skip to content

Cộng đồng học tập lớp 12

  • Thi đấu
  • Sitemap

Cộng đồng học tập lớp 12

  • Home » 
  • Giải SGK Vật Lí 12 - Kết nối

Giải SGK Vật Lí 12 Bài 25 (Kết nối tri thức): Bài tập về vật lí hạt nhân

By Admin Lop12.com 24/02/2025

Giải bài tập Vật Lí 12 Bài 25: Bài tập về vật lí hạt nhân

Khởi động trang 119 Vật Lí 12: Cần vận dụng những kiến thức cơ bản nào để giải những bài tập về vật lí hạt nhân?

Lời giải:

Để giải được các bài tập về vật lí hạt nhân cần vận dụng các kiến thức:

– Các định luật bảo toàn điện tích, bảo toàn số khối

– Định luật phóng xạ

– Năng lượng liên kết và năng lượng liên kết riêng

– Các loại phản ứng hạt nhân

– Các loại tia phóng xạ, đặc điểm của chúng

…

III. Bài tập vận dụng

Bài tập 1 trang 121 Vật Lí 12: Lực nào đã làm thay đổi phương của hạt alpha (24He) khi được bắn vào lá vàng mỏng?

A. Lực hạt nhân giúp hạt nhân 79197Au đẩy 24He.

B. Lực hạt nhân giúp hạt nhân 79197Au hút 24He .

C. Lực đẩy tĩnh điện giữa hạt nhân 79197Au và 24He.

D. Lực hút tĩnh điện giữa các electron của phân tử vàng và 24He .

Lời giải:

Đáp án đúng là C

Lực đẩy tĩnh điện giữa hạt nhân  79197Au và 24He vì các hạt nhân đều mang điện tích dương.

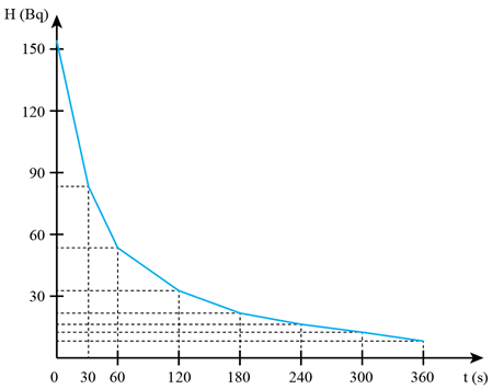
Bài tập 2 trang 121 Vật Lí 12: Người ta đo độ phóng xạ H của một đồng vị theo thời gian t và điền kết quả vào Bảng 25.1.

Người ta đo độ phóng xạ H của một đồng vị theo thời gian t và điền kết quả

a) Vẽ đồ thị độ phóng xạ theo thời gian.

b) Ước lượng chu kì bán rã của đồng vị này.

Lời giải:

a) Đồ thị:

Người ta đo độ phóng xạ H của một đồng vị theo thời gian t và điền kết quả

b) H0=151BqH1=H0.2−t1T=85Bq⇒H0=151Bq151.2−30T=85Bq⇒T=36,2 s

Bài tập 3 trang 121 Vật Lí 12: Dùng máy đo phóng xạ của một mẫu gỗ của một cổ vật phát hiện được 240 phóng xạ mỗi phút. Biết rằng thành phần của mẫu gỗ có chứa 25 g 614C và 612C, chu kì bán rã của 614C là 5 730 năm và tỉ lệ nguyên tử 612C và 614C khi một sinh vật còn sống 1012:1.

a) Xác định số nguyên tử 614C có trong mẫu gỗ.

b) Xác định độ tuổi của mẫu gỗ này.

Lời giải:

a) Độ phóng xạ bằng 240 phóng xạ/ phút = 4 phóng xạ/giây = 4 Bq

Số nguyên tử 614C có trong cổ vật là N1 thoả mãn:

N1=Hλ=H.Tln2=4.5730.365.86400ln2=1,04.1012

b) Số nguyên tử 612C có trong cổ vật là N2 thoả mãn công thức:

m=m1+m2=14.N1NA+12N2NA

   ⇒25=14.1,04.10126,02.1023+12.N26,02.1023⇒N2=1,25.1024

Tỉ số nguyên tử hai đồng vị 612C và 614C có trong cổ vật là:

N2N1=1,25.10241,04.1012=1,2.1012

Tỉ số nguyên tử hai đồng vị 612C và 614C có trong mẫu gỗ lúc còn sống:

N2N01=N2N12−tT=N2N1.2−tT⇒1012=1,2.1012.2−t5730⇒t=1507,2 năm

Bài tập 4 trang 121 Vật Lí 12: Một nhà máy điện hạt nhân sử dụng nguyên liệu hạt nhân là 235U. Biết rằng mỗi phân hạch sẽ toả năng lượng 200 MeV. Hiệu suất phát điện của nhà máy là 36

a) Hãy tính khối lượng của nguyên liệu 235U nhà máy tiêu thụ trong 1 năm.

b) Tính lượng than đá tiêu thụ để sản xuất ra năng lượng điện tương đương, biết rằng năng suất toả nhiệt của than đá là 30 MJ/kg.

Lời giải:

a) 1 năm = 365.86400 = 31536000 giây

Năng lượng nhà máy phát điện sinh ra trong 1 năm:

A=P.t=1400.106.31536000=4,42.1016​J

Năng lượng do phản ứng phân hạch sinh ra:

A‘=AH=4,42.101636%=1,23.1017J

Mỗi phản ứng phân hạch toả năng lượng 200 MeV nên số phản ứng phân hạch có được:

n=1,23.1017200.1,6.10−13=3,84.1027 phản ứng

Mỗi một phản ứng phân hạch dùng 1 nguyên tử 235U nên số phản ứng phân hạch bằng với số nguyên tử 235U là 3,84.1027 nguyên tử.

Khối lượng 235U cần dùng trong 1 năm là:

m=3,84.10276,02.1023.235=1,5.106g=1,5 tấn

b) Lượng than đá cần sử dụng: m=1,23.101730.106=4,1.109kg

Bài tập 5 trang 122 Vật Lí 12: Vào tháng 6 năm 2024, người lái xe tải sẽ phải chờ bao nhiêu lâu để toàn bộ lượng thuốc đông y chất đầy thùng xe tải được chiếu xạ để bảo quản tại Trung tâm chiếu xạ Hà Nội (Hình 25.3), biết rằng cũng tại nơi đó vào tháng 1 năm 2022 người lái xe đã phải chờ 150 phút chiếu xạ cùng lượng thuốc như vậy và trung tâm chiếu xạ vẫn sử dụng nguồn chiếu xạ là 2760Co có chu kì bán rã là 5,3 năm?

Vào tháng 6 năm 2024 người lái xe tải sẽ phải chờ bao nhiêu lâu để toàn bộ

Lời giải:

Khi t << T thì e−x≈1−x

Số hạt nhân bị phân rã trong lần chiếu xạ đầu tiên:

ΔN=N01−e−λt≈N01−(1−λt)=N0.λt

Khoảng thời gian từ tháng 1 năm 2022 đến tháng 6 năm 2024 là 30 tháng.

Sau 30 tháng số hạt nhân còn lại: N0‘=N0.2−30125,3=N0.2−2553

Số hạt nhân bị phân rã trong lần chiếu xạ tiếp theo:

ΔN‘=N0‘1−e−λt‘≈N0‘1−(1−λt‘)=N0‘.λt‘=N0.2−2553.λt‘

Để 2 lần chiếu xạ có kết quả như nhau thì:

ΔN=ΔN‘⇔N0.λt=N0.2−2553.λt‘⇔t‘=t2−2553=1502−2553≈208 phút.

Bài tập 6 trang 122 Vật Lí 12: Dược chất phóng xạ FDG có thành phần là đồng vị 918F với chu kì bán rã là 110 phút, được sử dụng trong chụp ảnh cắt lớp PET. Dược chất này được sản xuất bằng cách bắn phá vào các hạt đồng vị 818O nhờ một loại hạt được tăng tốc bằng máy gia tốc (Hình 25.4).

Dược chất phóng xạ FDG có thành phần là đồng vị F với chu kì bán rã là 110 phút

a) Xác định loại hạt được tăng tốc trong máy gia tốc biết rằng ngoài 918F, sản phẩm bắn phá còn có neutron và phát xạ tia gamma.

b) Trước khi chụp ảnh cắp lớp PET, bệnh nhân sẽ được tiêm liều lượng dược chất FDG để đảm bảo độ phóng xạ trên mỗi kg cân nặng là 0,1 mCi không đổi. Hai bệnh nhân cùng cân nặng, cùng sử dụng FDG trong cùng một đợt sản xuất, nhưng được tiêm ở 2 thời điểm cách nhau 60 phút. Hỏi người nào sẽ được tiêm lượng FDG nhiều hơn? Xác định phần trăm lượng FDG nhiều hơn này cần được tiêm.

Lời giải:

a) Ta có phương trình phản ứng hạt nhân như sau: 818O+ ZAX→ 918F+ 01n+γ

Sử dụng định luật bảo toàn điện tích và bảo toàn số khối: 

18+A=18+18+Z=9+0⇒A=1Z=1

Vậy X là 11H

b) Gọi H là độ phóng xạ khi chụp ảnh cắt lớp (thỏa mãn mỗi kg cân nặng bệnh nhân là 0,1mCi)

Chọn mốc thời gian là thời điểm đưa chất phóng xạ vào bệnh nhân 1

Xét bệnh nhân 1 khi chụp ảnh H=H01.2−t1T (1) với H01=λ.N01

Xét bệnh nhân 2 khi chụp ảnh H=H02.2−t1−60T (2) với H02=λ.N02

Từ (1) và (2) ta có: H01.2−t1T=H02.2−t1T.260T

⇒H01H02=N01N02=260110≈1,46

Vậy đưa vào bệnh nhân 1 lượng chất phóng xạ nhiều hơn bệnh nhân 2 là 46

Em có thể trang 122 Vật Lí 12: Vận dụng các kiến thức về cấu trúc hạt nhân, phản ứng hạt nhân, phóng xạ và ứng dụng công nghệ hạt nhân để giải các bài tập.

Lời giải:

Nội dung đang được cập nhật…

Xem thêm các bài giải bài tập Vật Lí lớp 12 Kết nối tri thức hay, chi tiết khác:

Bài 20. Bài tập về từ trường

Bài 21. Cấu trúc hạt nhân

Bài 22. Phản ứng hạt nhân và năng lượng liên kết

Bài 23. Hiện tượng phóng xạ

Bài 24. Công nghiệp hạt nhân

Bài 25. Bài tập về vật lí hạt nhân

 

Tags : Tags 1. SBT Vật lí 12 Bài 40: Các hạt sơ cấp | Giải SBT Vật Lí lớp 12
Share
facebookShare on Facebook

Bài liên quan

Giải SGK Vật Lí 12 Bài 14 (Kết nối tri thức): Từ trường dung lên dây dẫn mang dòng điện. Cảm ứng từ

Giải SGK Vật Lí 12 Bài 15 (Kết nối tri thức): Lực từ tác dụng lên dây dẫn mang dòng điện. Cảm ứng từ

Giải sgk Vật Lí 12 Kết nối tri thức | Giải bài tập Vật Lí 12 Kết nối tri thức hay nhất, chi tiết

Giải SGK Vật Lí 12 Bài 16 (Kết nối tri thức): Từ thông. Hiện tượng cảm ứng điện từ

Giải SGK Vật Lí 12 Bài 1 (Kết nối tri thức): Cấu trúc của chất. Sự chuyển thể

Giải SGK Vật Lí 12 Bài 17 (Kết nối tri thức): Máy phát điện xoay chiều

Giải SGK Vật Lí 12 Bài 2 (Kết nối tri thức): Nội năng. Định luật I của nhiệt động lực học

Giải SGK Vật Lí 12 Bài 18 (Kết nối tri thức): Ứng dụng hiện tượng cảm ứng điện từ

Mục lục

  1. Giải sgk Vật Lí 12 Kết nối tri thức | Giải bài tập Vật Lí 12 Kết nối tri thức hay nhất, chi tiết
  2. Giải SGK Vật Lí 12 Bài 1 (Kết nối tri thức): Cấu trúc của chất. Sự chuyển thể
  3. Giải SGK Vật Lí 12 Bài 2 (Kết nối tri thức): Nội năng. Định luật I của nhiệt động lực học
  4. Giải SGK Vật Lí 12 Bài 3 (Kết nối tri thức): Nhiệt độ. Thang nhiệt độ – nhiệt kế
  5. Giải SGK Vật Lí 12 Bài 4 (Kết nối tri thức): Nhiệt dung riêng
  6. Giải SGK Vật Lí 12 Bài 5 (Kết nối tri thức): Nhiệt nóng chảy riêng
  7. Giải SGK Vật Lí 12 Bài 6 (Kết nối tri thức): Nhiệt hoá hơi riêng
  8. Giải SGK Vật Lí 12 Bài 7 (Kết nối tri thức): Bài tập về vật lí nhiệt
  9. Giải SGK Vật Lí 12 Bài 8 (Kết nối tri thức): Mô hình động học phân tử chất khí
  10. Giải SGK Vật Lí 12 Bài 9 (Kết nối tri thức): Định luật Boyle
  11. Giải SGK Vật Lí 12 Bài 10 (Kết nối tri thức): Định luật Charles
  12. Giải SGK Vật Lí 12 Bài 11 (Kết nối tri thức): Phương trình trạng thái của khí lí tưởng
  13. Giải SGK Vật Lí 12 Bài 12 (Kết nối tri thức): Áp suất khí theo mô hình động học phân tử. Quan hệ giữa động năng phân tử và nhiệt độ
  14. Giải SGK Vật Lí 12 Bài 13 (Kết nối tri thức): Bài tập về khí lí tưởng
  15. Giải SGK Vật Lí 12 Bài 14 (Kết nối tri thức): Từ trường dung lên dây dẫn mang dòng điện. Cảm ứng từ
  16. Giải SGK Vật Lí 12 Bài 15 (Kết nối tri thức): Lực từ tác dụng lên dây dẫn mang dòng điện. Cảm ứng từ
  17. Giải SGK Vật Lí 12 Bài 16 (Kết nối tri thức): Từ thông. Hiện tượng cảm ứng điện từ
  18. Giải SGK Vật Lí 12 Bài 17 (Kết nối tri thức): Máy phát điện xoay chiều
  19. Giải SGK Vật Lí 12 Bài 18 (Kết nối tri thức): Ứng dụng hiện tượng cảm ứng điện từ
  20. Giải SGK Vật Lí 12 Bài 19 (Kết nối tri thức): Điện từ trường. Mô hình sóng điện từ
  21. Giải SGK Vật Lí 12 Bài 20 (Kết nối tri thức): Bài tập về từ trường
  22. Giải SGK Vật Lí 12 Bài 21 (Kết nối tri thức): Cấu trúc hạt nhân
  23. Giải SGK Vật Lí 12 Bài 22 (Kết nối tri thức): Phản ứng hạt nhân và năng lượng liên kết
  24. Giải SGK Vật Lí 12 Bài 23 (Kết nối tri thức): Hiện tượng phóng xạ
  25. Giải SGK Vật Lí 12 Bài 24 (Kết nối tri thức): Công nghiệp hạt nhân

  • Quên mật khẩu
  • Login
  • Đăng ký
Copyright © 2025 Cộng đồng học tập lớp 12
Back to Top
Menu
  • Thi đấu
  • Sitemap
Tài khoản

  • Lost your password ?