Skip to content

Cộng đồng học tập lớp 12

  • Thi đấu
  • Sitemap

Cộng đồng học tập lớp 12

  • Home » 
  • Giải SGK Vật Lí 12 - Cánh diều

Giải SGK Vật Lí 12 (Cánh diều) Bài tập Chủ đề 4

By Admin Lop12.com 24/02/2025

Giải bài tập Vật Lí 12 Bài tập Chủ đề 4

Bài 1 trang 111 Vật Lí 12: Số proton có trong hạt nhân plutonium 94239Pu là

A. 145.

B. 239

C. 333.

D. 94

Lời giải:

Đáp án đúng là D

Số proton có trong hạt nhân plutonium 94239Pu là 94.

Bài 2 trang 111 Vật Lí 12: Hai hạt nhân đồng vị là hai hạt nhân có

A. cùng số nucleon và khác số proton.

B. cùng số proton và khác số neutron.

C. cùng số neutron và khác số nucleon.

D. cùng số neutron và khác số proton.

Lời giải:

Đáp án đúng là B

Hai hạt nhân đồng vị là hai hạt nhân có cùng số proton và khác số neutron.

Bài 3 trang 111 Vật Lí 12: Khi nói về các tia phóng xạ, phát biểu nào sau đây là sai?

A. Tia β+ là dòng các hạt positron.

B. Tia γ có bản chất là sóng điện từ.

C. Tia β– là dòng các hạt nhân 11H.

D. Tia α là dòng các hạt nhân 24He .

Lời giải:

Đáp án đúng là C

C là đáp án sai. Tia β– là dòng các hạt electron.

Bài 4 trang 111 Vật Lí 12: Hạt nhân của hai đồng vị oxygen 816O và 818O có khối lượng lần lượt là 15,9949 u và 17,9992 u. Cho biết khối lượng của các hạt proton và neutron lần lượt là 1,0073 u và 1,0087 u; 1 u = 931,5 MeV/c2.

a) Tính độ hụt khối và năng lượng liên kết của mỗi hạt nhân đồng vị đó.

b) So sánh độ bền vững của hai hạt nhân đồng vị đó.

Lời giải:

a) Độ hụt khối của 816O là: Δm=8.1,0073+8.1,0087−15,9949=0,1331u

Năng lượng liên kết của 816O là: Wlk=Δmc2=0,1331.931,5=123,98MeV

Độ hụt khối của 818O là: Δm=8.1,0073+10.1,0087−17,9992=0,1462u

Năng lượng liên kết của 818O  là: Wlk=Δmc2=0,1462.931,5=136,19MeV

b) Năng lượng liên kết riêng của 816O là: Wlkr=WlkA=123,9816=7,75MeV/nucleon

Năng lượng liên kết riêng của 818O là: Wlkr=WlkA=136,1918=7,57MeV/nucleon

Hạt nhân 816Obền vững hơn hạt nhân 818O.

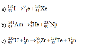
Bài 5 trang 111 Vật Lí 12: Viết phương trình phản ứng hạt nhân của các quá trình sau:

a) Hạt nhân iodine 53131I phóng xạ β– và biến thành hạt nhân xenon Xe.

b) Hạt nhân americium 95241Am  phóng ra hạt α và biến thành hạt nhân neptunium Np.

c) Một hạt nhân uranium 92235U hấp thụ một neutron chậm 01n rồi phân hạch thành hạt nhân zirconium 4095Zr  và tellurium 52138Te  kèm theo giải phóng một số hạt neutron.

Lời giải:

Bài 5 trang 111 Vật Lí 12

Bài 6 trang 111 Vật Lí 12: Một phòng thí nghiệm lấy ra một mẫu chất phóng xạ cesium 55134Cs nguyên chất có khối lượng 11 μg. Chu kì bán rã của 55134Cs  là 2,1 năm và khối lượng mol nguyên tử của 55134Cs  là 134 g/mol. Cho số Avogadro NA = 6,02.1023 nguyên tử/mol. Xác định:

a) Xác định hằng số phóng xạ của 55134Cs.

b) Xác định độ phóng xạ của mẫu đó tại thời điểm sử dụng.

c) Nếu người ta không sử dụng mẫu ngay lúc đó mà lưu trữ trong phòng thí nghiệm thì độ phóng xạ của mẫu sau 5,0 năm là bao nhiêu?

Lời giải:

a) Hằng số phóng xạ của 55134Cs: λ=ln2T=ln22,1.365.86400=1,05.10−8 s−1

b) Số hạt nhân 55134Cs tại thời điểm lấy mẫu:

N0=m0A.NA=11.10−6134.6,02.1023=4,94.1016

Độ phóng xạ của mẫu đó tại thời điểm lấy mẫu.

 H0=λN0=1,05.10−8.4,94.1016=5,187.108Bq

c) Độ phóng xạ của mẫu sau đó 5,0 năm: H=H0.2−tT=5,187.108.2−52,1=9,96.107​Bq

Bài 7 trang 112 Vật Lí 12: Một mẫu chất phóng xạ polonium 84210Po được cấp vào ngày 1 tháng 9. Lúc đó nó có độ phóng xạ là 2,0.106 Bq. Đến ngày 10 tháng 12 của năm đó, mẫu được lấy ra sử dụng trong một thí nghiệm. Biết chu kì bán rã của 84210Po là 138 ngày.

a. Độ phóng xạ của mẫu khi sử dụng là bao nhiêu?

b. Số hạt nhân chất phóng xạ còn lại trong mẫu lúc đó là bao nhiêu?

Lời giải:

Từ ngày 1/9 đến ngày 10/12 của cùng năm đó là 101 ngày.

Độ phóng xạ của mẫu khi lấy ra sử dụng là: H=H0.2−tT=2.106.2−101138=1,2.106​Bq

Số hạt nhân chất phóng xạ còn lại trong mẫu lúc đó là:

N=Hλ=Hln2T=1,2.106ln2138.86400=2,06.1013

Bài 8 trang 112 Vật Lí 12: Một lò phản ứng phân hạch có công suất 250 kW. Cho rằng toàn bộ năng lượng mà lò phản ứng này sinh ra đều do sự phân hạch của uranium 92235U và đồng vị này chỉ bị tiêu hao bởi quá trình phân hạch. Coi mỗi năm có 365 ngày; mỗi phân hạch sinh ra trung bình 175 MeV; số Avogadro NA = 6,02.1023 nguyên tử/mol và khối lượng mol nguyên tử của 92235U là 235 g/mol. Tính khối lượng 92235U mà lò phản ứng tiêu thụ trong 1,5 năm.

Lời giải:

Tổng năng lượng mà phản ứng phân hạch sinh ra trong 1,5 năm:

E=P.t=250.103.1,5.365.86400=1,1826.1013J

Mỗi hạt nhân tham gia 1 phản ứng phân hạch, nên số hạt nhân đã phân hạch trong 1,5 năm là: N=E175MeV=1,1826.1013175.1,6.10−13=4,22.1023

Khối lượng hạt nhân đã sử dụng trong 1,5 năm:

m=n.A=NNA.A=4,22.10236,02.1023.235=164,7 g

Bài 9 trang 112 Vật Lí 12: Radon 86222Rn là một loại khí phóng xạ được giải phóng từ sự phân rã tự nhiên của các nguyên tố uranium, thorium và radium trong đá và đất. Khí radon không màu, không mùi, không vị, thấm qua mặt đất và khuếch tán vào không khí. Radon có thể xâm nhập và tích tụ trong các ngôi nhà theo các con đường như trong Hình 1. Nếu lượng radon tích tụ trong nhà với nồng độ cao trong một khoảng thời gian dài có thể tăng nguy cơ ung thư phổi cho những người sinh sống trong đó. Cơ quan bảo vệ môi trường Hoa Kỳ ước tính rằng, cứ 15 ngôi nhà ở Mỹ thì có 1 ngôi nhà có mức radon cao đạt hoặc vượt quá 4,00 pCi (1 pCi = 3,66.10-2 Bq) trong mỗi lít không khí. Cho biết chu kì bán rã của radon là 3,82 ngày.

Bài 9 trang 112 Vật Lí 12

a) Có bao nhiêu nguyên tử khí radon trong 1 m3 không khí nếu độ phóng xạ của nó đạt mức 4,00 pCi trong mỗi lít?

b) Cách đơn giản nào bạn có thể thực hiện ngay để giảm hàm lượng radon tích tụ trong nhà?

Lời giải:

a) Số nguyên tử 86222Rn có trong mỗi lít không khí:

N=Hλ=Hln2T=4.3,66.10−2ln23,82.86400=6,97.103

Số nguyên tử có trong 1m3 không khí là: N‘=1000.N=6,97.106

b) Cách đơn giản nào bạn có thể thực hiện ngay để giảm hàm lượng radon tích tụ trong nhà:

– Khi xây dựng, cần đổ móng bê tông cho nhà có độ dày tương đối.

– Mở thoáng các cửa khi ở trong nhà vào mùa hè, bật điều hoà hoặc quạt thông gió vào mùa đông.

Xem thêm các bài giải bài tập Vật Lí lớp 12 Cánh diều hay, chi tiết khác:

4. Đại cương về dòng điện xoay chiều

Bài tập Chủ đề 3

1. Cấu trúc hạt nhân

2. Năng lượng hạt nhân

3. Phóng xạ

Bài tập Chủ đề 4

Tags : Tags 1. SBT Vật lí 12 Bài 40: Các hạt sơ cấp | Giải SBT Vật Lí lớp 12
Share
facebookShare on Facebook

Bài liên quan

Giải SGK Vật Lí 12 (Cánh diều) Bài tập Chủ đề 3

Giải SGK Vật Lí 12 Bài 1 (Cánh diều): Cấu trúc hạt nhân

Giải sgk Vật Lí 12 Cánh diều | Giải bài tập Vật Lí 12 Cánh diều hay nhất, chi tiết

Giải SGK Vật Lí 12 Bài 2 (Cánh diều): Năng lượng hạt nhân

Giải SGK Vật Lí 12 Bài 1 (Cánh diều): Sự chuyển thể của các chất

Giải SGK Vật Lí 12 Bài 3 (Cánh diều): Phóng xạ

Giải SGK Vật Lí 12 Bài 2 (Cánh diều): Định luật 1 của nhiệt động lực học

Giải SGK Vật Lí 12 Bài 3 (Cánh diều): Thang nhiệt độ

Mục lục

  1. Giải sgk Vật Lí 12 Cánh diều | Giải bài tập Vật Lí 12 Cánh diều hay nhất, chi tiết
  2. Giải SGK Vật Lí 12 Bài 1 (Cánh diều): Sự chuyển thể của các chất
  3. Giải SGK Vật Lí 12 Bài 2 (Cánh diều): Định luật 1 của nhiệt động lực học
  4. Giải SGK Vật Lí 12 Bài 3 (Cánh diều): Thang nhiệt độ
  5. Giải SGK Vật Lí 12 Bài 4 (Cánh diều): Nhiệt dung riêng, nhiệt nóng chảy riêng, nhiệt hoá hơi riêng
  6. Giải SGK Vật Lí 12 (Cánh diều) Bài tập Chủ đề 1
  7. Giải SGK Vật Lí 12 Bài 1 (Cánh diều): Mô hình động học phân tử chất khí
  8. Giải SGK Vật Lí 12 Bài 2 (Cánh diều): Phương trình trạng thái khí lí tưởng
  9. Giải SGK Vật Lí 12 Bài 3 (Cánh diều): Áp suất và động năng phân tử chất khí
  10. Giải SGK Vật Lí 12 (Cánh diều) Bài tập Chủ đề 2
  11. Giải SGK Vật Lí 12 Bài 1 (Cánh diều): Từ trường
  12. Giải SGK Vật Lí 12 Bài 2 (Cánh diều): Lực từ tác dụng lên đoạn dây dẫn mang dòng điện. Cảm ứng từ
  13. Giải SGK Vật Lí 12 Bài 3 (Cánh diều): Cảm ứng điện từ
  14. Giải SGK Vật Lí 12 Bài 4 (Cánh diều): Đại cương về dòng điện xoay chiều
  15. Giải SGK Vật Lí 12 (Cánh diều) Bài tập Chủ đề 3
  16. Giải SGK Vật Lí 12 Bài 1 (Cánh diều): Cấu trúc hạt nhân
  17. Giải SGK Vật Lí 12 Bài 2 (Cánh diều): Năng lượng hạt nhân
  18. Giải SGK Vật Lí 12 Bài 3 (Cánh diều): Phóng xạ

  • Quên mật khẩu
  • Login
  • Đăng ký
Copyright © 2025 Cộng đồng học tập lớp 12
Back to Top
Menu
  • Thi đấu
  • Sitemap
Tài khoản

  • Lost your password ?