Skip to content

Cộng đồng học tập lớp 12

  • Thi đấu
  • Sitemap

Cộng đồng học tập lớp 12

  • Home » 
  • Giải SGK Toán 12 – Chân trời

Giải SGK Toán 12 Bài 3 (Chân trời sáng tạo): Biểu thức toạ độ của các phép toán vectơ

By Admin Lop12.com 18/02/2025

Giải bài tập Toán 12 Bài 3: Biểu thức toạ độ của các phép toán vectơ

Hoạt động khởi động trang 58 Toán 12 Tập 1: Trong không gian Oxyz, có thể thực hiện các phép toán vectơ dựa trên tọa độ của chúng tương tự như đã làm trong mặt phẳng Oxy không?

a→=x;y;z,a‘→=x‘;y‘;z‘

a→+a‘→=?

Hoạt động khởi động trang 58 Toán 12 Tập 1 Chân trời sáng tạo | Giải Toán 12

Lời giải:

Trong không gian Oxyz, ta có thể thực hiện các phép toán vectơ dựa trên tọa độ của chúng tương tự như đã làm trên mặt phẳng tọa độ.

1. Biểu thức tọa độ của tổng, hiệu hai vectơ và tích của một số với một vectơ

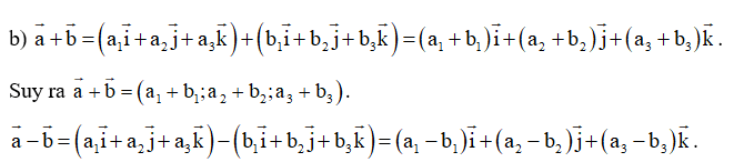
Hoạt động khám phá 1 trang 58 Toán 12 Tập 1: Trong không gian Oxyz, cho hai vectơ a→=a1;a2;a3, b→=b1;b2;b3 với số thực m.

a) Biểu diễn từng vectơ a→ và b→ theo ba vectơ i→,j→,k→ .

b) Biểu diễn các vectơ a→+b→,a→−b→,ma→ theo ba vectơ i→,j→,k→, từ đó suy ra tọa độ của các vectơ a→+b→,a→−b→,ma→ .

Lời giải:

a) a→=a1i→+a2j→+a3k→ ; b→=b1i→+b2j→+b3k→ .

Hoạt động khám phá 1 trang 58 Toán 12 Tập 1 Chân trời sáng tạo | Giải Toán 12

Suy ra a→−b→=a1−b1;a2−b2;a3−b3 .

ma→=ma1i→+a2j→+a3k→=ma1i→+ma2j→+ma3k→

Suy ra ma→=ma1;ma2;ma3

Thực hành 1 trang 59 Toán 12 Tập 1: Cho ba vectơ a→=2;−5;3,b→=0;2;−1,c→=1;7;2.

a) Tìm tọa độ của vectơ d→=4a→−13b→+3c→ .

b) Tìm tọa độ của vectơ e→=a→−4b→−2c→ .

c) Chứng minh a→ cùng phương với vectơ m→=−6;15;−9 .

Lời giải:

a) 4a→=8;−20;12,13b→=0;23;−13,3c→=3;21;6 .

Khi đó d→=4a→−13b→+3c→=11;13;553 .

b) a→=2;−5;3,4b→=0;8;−4,2c→=2;14;4 .

Khi đó e→=a→−4b→−2c→ = (0; −27; 3).

c) Có m→=−6;15;−9=−32;−5;3=−3a→ .

Do đó a→ cùng phương với vectơ m→.

Vận dụng 1 trang 59 Toán 12 Tập 1: Một thiết bị thăm dò đáy biển đang lặn với vận tốc v→=10;8;−3 (Hình 1). Cho biết vận tốc của dòng hải lưu của vùng biển là w→=3,5;1;0 .

a) Tìm tọa độ của vectơ tổng hai vận tốc v→ và w→ .

b) Giả sử thiết bị thăm dò lặn với vận tốc u→=7;2;0 , hãy nêu nhận xét về vectơ vận tốc của nó so với vectơ vận tốc của dòng hải lưu.

Vận dụng 1 trang 59 Toán 12 Tập 1 Chân trời sáng tạo | Giải Toán 12

Lời giải:

a) v→+w→=10+3,5;8+1;−3+0=13,5;9;−3 .

b) Vì u→=7;2;0=23,5;1;0=2w→ .

Do đó hai vectơ này cùng phương, cùng hướng với nhau.

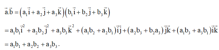
2. Biểu thức tọa độ của tích vô hướng

Hoạt động khám phá 2 trang 59 Toán 12 Tập 1: Cho hai vectơ a→=a1;a2;a3 và b→=b1;b2;b3.

a) Biểu diễn từng vectơ a→ và b→ theo ba vectơ i→,j→,k→ .

b) Tính các tích vô hướng i→2,j→2,k→2,i→.j→,j→.k→,k→.i→ .

c) Tính tích vô hướng a→.b→ theo tọa độ của hai vectơ a→ và b→ .

Lời giải:

a) a→=a1i→+a2j→+a3k→ và b→=b1i→+b2j→+b3k→ .

b)

Hoạt động khám phá 2 trang 59 Toán 12 Tập 1 Chân trời sáng tạo | Giải Toán 12

c)

Hoạt động khám phá 2 trang 59 Toán 12 Tập 1 Chân trời sáng tạo | Giải Toán 12

Thực hành 2 trang 60 Toán 12 Tập 1: Cho ba vectơ m→=−5;4;9, n→=2;−7;0, p→=6;3;−4.

a) Tính m→.n→,m→.p→ .

b) Tính m→,n→,cosm→,n→ .

c) Cho q→=1;−2;0 . Vectơ q→ có vuông góc với p→ không?

Lời giải:

a) m→.n→=−5.2+4.−7+9.0=−38 .

m→.p→=−5.6+4.3+9.−4=−54

b)

Thực hành 2 trang 60 Toán 12 Tập 1 Chân trời sáng tạo | Giải Toán 12

c) Có p→.q→=6.1+3.−2+−4.0=0 . Do đó p→⊥q→ .

Vận dụng 2 trang 60 Toán 12 Tập 1: Một thiết bị thăm dò đáy biển (Hình 2) được đẩy bởi một lực f→=5;4;−2 (đơn vị: N) giúp thiết bị thực hiện độ dời a→=70;20;−40(đơn vị: m). Tính công sinh bởi lực f→ .

Vận dụng 2 trang 60 Toán 12 Tập 1 Chân trời sáng tạo | Giải Toán 12

Lời giải:

Công sinh bởi lực được f→ tính theo công thức

A=f→.a→=5.70+4.20+−2.−40=510 J.

3. Vận dụng

Hoạt động khám phá 3 trang 60 Toán 12 Tập 1: Cho hai điểm AxA;yA;zA,BxB;yB;zB. Từ biểu thức AB→=OB→−OA→, tìm tọa độ của vectơ AB→  theo tọa độ hai điểm A, B.

Lời giải:

Ta có OA→=xA;yA;zA,OB→xB;yB;zB .

Do đó AB→=OB→−OA→=xB−xA;yB−yA;zB−zA .

Thực hành 3 trang 61 Toán 12 Tập 1: Cho ba điểm M(7; −2; 0), N(−9; 0; 4), P(0; −6; 5).

a) Tìm tọa độ của các vectơ MN→,NP→,MP→ .

b) Tính các độ dài MN, NP, MP.

Lời giải:

a) MN→=−9−7;0+2;4−0=−16;2;4 ;

NP→=0+9;−6−0;5−4=9;−6;1;

MP→=0−7;−6+2;5−0=−7;−4;5.

b) MN→=−162+22+42=269.

NP→=92+−62+1=118.

MP→=−72+−42+52=310.

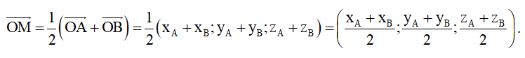
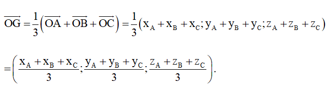
Hoạt động khám phá 4 trang 61 Toán 12 Tập 1: Cho tam giác ABC có A(xA; yA; zA), B(xB; yB; zB), C(xC; yC; zC). Gọi M(xM; yM; zM) là trung điểm của đoạn thẳng AB và G(xG; yG; zG) là trọng tâm của tam giác ABC. Sử dụng các hệ thức vectơ OM→=12OA→+OB→;OG→=13OA→+OB→+OC→, tìm tọa độ của các điểm M và G.

Ta có OA→=xA;yA;zA;OB→=xB;yB;zB;OC→=xC;yC;zC .

Có Hoạt động khám phá 4 trang 61 Toán 12 Tập 1 Chân trời sáng tạo | Giải Toán 12

Do đó MxA+xB2;yA+yB2;zA+zB2 .

Hoạt động khám phá 4 trang 61 Toán 12 Tập 1 Chân trời sáng tạo | Giải Toán 12

Do đó GxA+xB+xC3;yA+yB+yC3;zA+zB+zC3 .

Thực hành 4 trang 62 Toán 12 Tập 1: Cho tam giác MNP có M(2; 1; 3), N(1; 2; 3), P(−3;−1; 0). Tìm tọa độ:

a) Các điểm M’, N’, P’ lần lượt là trung điểm của các cạnh NP, MP, MN;

b) Trọng tâm G của tam giác M’N’P’.

Lời giải:

a) Tọa độ trung điểm M’ của cạnh NP là

M‘1−32;2−12;3+02 hay M‘−1;12;32 .

Tọa độ trung điểm N’ của cạnh MP là

N‘2−32;1−12;3+02 hay N‘−12;0;32 .

Tọa độ trung điểm P’ của cạnh MN là

P‘2+12;1+22;3+32 hay P‘32;32;3 .

b) Tọa độ trọng tâm G là:

G−1−12+323;12+0+323;32+32+33 hay G0;23;2 .

Vận dụng 3 trang 62 Toán 12 Tập 1: Cho hình chóp S.ABC có SA ⊥ (ABC), SA = a và đáy ABC là tam giác đều cạnh a, O là trung điểm của BC. Bằng cách thiết lập hệ tọa độ như Hình 3, hãy tìm tọa độ:

a) Các điểm A, S, B, C.

b) Trung điểm M của SB và trung điểm N của SC.

c) Trọng tâm G của tam giác SBC.

Vận dụng 3 trang 62 Toán 12 Tập 1 Chân trời sáng tạo | Giải Toán 12

Lời giải:

a)

Vận dụng 3 trang 62 Toán 12 Tập 1 Chân trời sáng tạo | Giải Toán 12

Vì ABC là tam giác đều cạnh a, O là trung điểm của BC nên AO là đường cao.

Suy ra AO=a32 và OB = OC = a2 .

Vì OC→ và i→ cùng hướng và OC=a2 nên OC→=a2i→ . Suy ra Ca2;0;0 .

Vì OB→ và i→ ngược hướng và OB=a2 nên OB→=−a2i→ . Suy ra B−a2;0;0 .

Vì OA→ và j→ cùng hướng và OA=a32 nên OA→=a32j→ . Suy ra A0;a32;0

Gọi I là hình chiếu của S trên Oz.

Ta có OI = SA.

Vì OI và k→ cùng hướng và OI = a nên OI→=ak→ .

Theo quy tắc hình bình hành có: OS→=OA→+OI→=a32j→+ak→ .

Do đó S0;a32;a .

b) Tọa độ trung điểm M của SB là

M0−a22;a32+02;a+02 hay M−a4;a34;a2 .

Tọa độ trung điểm N của SC là

N0+a22;a32+02;a+02 hay Na4;a34;a2 .

c) Tọa độ trọng tâm G của tam giác SBC là:

G0−a2+a23;0+a32+03;0+a+03 hay G0;a36;a3 .

Thực hành 5 trang 63 Toán 12 Tập 1: Cho tam giác MNP có M(0; 1; 2), N(5; 9; 3), P(7; 8; 2).

a) Tìm tọa độ điểm K là chân đường cao kẻ từ M của tam giác MNP.

b) Tìm độ dài cạnh MN và MP.

c) Tính góc M.

Lời giải:

Thực hành 5 trang 63 Toán 12 Tập 1 Chân trời sáng tạo | Giải Toán 12

a) Ta có NP→=2;−1−1 .

Vì K là chân đường vuông góc kẻ từ M xuống NP nên K ∈ NP và MK ⊥ NP.

Gọi K(x; y; z), ta có KP→=7−x;8−y;2−z .

Vì NP→ và KP→ cùng phương nên tồn tại t ∈ ℝ sao cho KP→=tNP→ .

Do đó 7−x=2t8−y=−t2−z=−t⇔x=7−2ty=8+tz=2+t. Suy ra K(7 – 2t; 8 + t; 2 + t).

Khi đó MK→=7−2t;7+t;t .

Vì MK ⊥ NP nên MK→.NP→=0⇔7−2t.2+7+t.−1+t−1=0⇔t=76

Vậy K143;556;196 .

b) Ta có MN→=5;8;1 ; MP→=7;7;0 .

MN=52+82+12=310; MP=72+72+02=72 .

c) Ta có cosM^=MN→.MP→MN.MP=5.7+8.7+1.0310.72=91425=13530⇒M^≈14°18‘

Vận dụng 4 trang 64 Toán 12 Tập 1: Trên phần mềm mô phỏng việc điều khiển drone giao hàng trong không gian Oxyz, một đội gồm ba drone giao hàng A, B, C đang có tọa độ là A(1; 1; 1), B(5; 7; 9), C(9; 11; 4). Tính:

a) Các khoảng cách giữa mỗi cặp drone giao hàng.

b) Góc BAC^ .

Vận dụng 4 trang 64 Toán 12 Tập 1 Chân trời sáng tạo | Giải Toán 12

Lời giải:

a) Ta có AB→=4;6;8 ; AC→=8;10;3 ; BC→=4;4;−5 .

Khi đó: AB→=42+62+82=229;

AC→=82+102+32=173;

BC→=42+42+−52=57.

b) Ta có cosBAC^=AB→.AC→AB→.AC→=4.8+6.10+8.3229.173=11925017 ⇒BAC^≈35°2‘.

Bài tập

Bài 1 trang 64 Toán 12 Tập 1: Tính:

a) a→.b→ với a→=5;2;−4,b→=4;−2;2 .

b) c→.d→ với c→=2;−3;4,d→=6;5;−3 .

Lời giải:

a) a→.b→=5.4+2.−2+−4.2=8 .

b) c→.d→=2.6+−3.5+4.−3=−15 .

Bài 2 trang 64 Toán 12 Tập 1: Cho hai vectơ a→=0;1;3 và b→=−2;3;1. Tìm tọa độ của vectơ 2b→−32a→.

Lời giải:

Có 32a→=0;32;92 ; 2b→=−4;6;2.

Tọa độ của vectơ 2b→−32a→ là −4−0;6−32;2−92 hay −4;92;−52 .

Bài 3 trang 64 Toán 12 Tập 1: Cho ba điểm A(2; 1; −1), B(3; 2; 0) và C(2; −1; 3).

a) Chứng minh A, B, C là ba đỉnh của một tam giác. Tính chu vi tam giác ABC.

b) Tìm tọa độ trung điểm của các cạnh của tam giác ABC.

c) Tìm tọa độ trọng tâm G của tam giác ABC.

Lời giải:

a) Ta có AB→=1;1;1,AC→=0;−2;4,BC→=−1;−3;3 .

Vì AB→ và AC→ không cùng phương nên A, B, C không thẳng hàng.

Do đó A, B, C là ba đỉnh của một tam giác.

Ta có chu vi tam giác ABC là:

AB + AC + BC

= 12+12+12+02+−22+42+−12+−32+32

=3+25+19

b) Gọi M, N, P lần lượt là trung điểm của cạnh AB, BC, CA.

Tọa độ điểm M là

M2+32;1+22;−1+02 hay M52;32;−12 .

Tọa độ điểm N là

N3+22;2−12;0+32 hay N52;12;32 .

Tọa độ điểm P là

P2+22;1−12;−1+32 hay P2;0;1 .

c) Tọa độ trọng tâm G của tam giác ABC là

G2+3+23;1+2−13;−1+0+33 hay G73;23;23 .

Bài 4 trang 64 Toán 12 Tập 1: Cho điểm M(1; 2; 3). Hãy tìm tọa độ của các điểm:

a) M1, M2, M3 lần lượt là hình chiếu vuông góc của M trên các mặt phẳng (Oxy), (Oyz), (Oxz).

b) Gọi M’, M”, M”‘ lần lượt là các điểm thỏa mãn:

• O là trung điểm của MM’;

• MM” vuông góc với mặt phẳng (Oxy) tại điểm H sao cho H là trung điểm của MM”.

• MM”‘ vuông góc và cắt trục Oy tại điểm K sao cho K là trung điểm của MM”‘.

Lời giải:

a) Ta có M1(1; 2; 0), M2(0; 2; 3), M3(1; 0; 3).

b) +) Vì O là trung điểm của MM’ nên

xM‘=2xO−xMyM‘=2yO−yMzM‘=2zO−zM⇔xM‘=2.0−1yM‘=2.0−2zM‘=2.0−3⇔xM‘=−1yM‘=−2zM‘=−3

Vậy M'(−1; −2; −3).

+) Vì H ∈ (Oxy) nên H(x; y; 0).

Ta có MH→=x−1;y−2;−3 .

Vì MH ⊥ (Oxy) ⇒MH⊥OxMH⊥Oy ⇒MH→.i→=0MH→.j→=0⇒x−1=0y−2=0⇒x=1y=2

Do đó H(1; 2; 0).

Vì H là trung điểm của MM” nên

xM”=2xH−xMyM”=2yH−yMzM”=2zH−zM⇔xM”=2.1−1yM”=2.2−2zM”=2.0−3⇔xM”=1yM”=2zM”=−3

Vậy M”(1; 2; −3).

+) Vì K ∈ Oy nên K(0; y; 0)⇒MK→=−1;y−2;−3

Vì MK⊥Oy nên HK→.j→=0 ⇔y−2=0⇔y=2 . Do đó K(0; 2; 0).

Vì K là trung điểm của MM”‘ nên

xM”‘=2xK−xMyM”‘=2yK−yMzM”‘=2zK−zM⇔xM”‘=2.0−1yM”‘=2.2−2zM”‘=2.0−3⇔xM”‘=−1yM”‘=2zM”‘=−3

Vậy M”'(−1; 2; −3).

Bài 5 trang 64 Toán 12 Tập 1: Cho ba điểm A(3; 3; 3), B(1; 1; 2) và C(5; 3; 1).

a) Tìm điểm M trên trục Oy cách đều hai điểm B, C.

b) Tìm điểm N trên mặt phẳng (Oxy) cách đều ba điểm A, B, C.

Lời giải:

a) Vì M ∈ Oy nên M(0; y; 0).

Vì M cách đều hai điểm B, C nên MB = MC hay MB2 = MC2

⇔12+1−y2+22=52+3−y2+12

⇔4y=29⇔y=294

Vậy M0;294;0 .

b) Vì N ∈ (Oxy) nên N(x; y; 0).

Vì N cách đều ba điểm A, B, C nên NA = NB = NC hay NA2 = NB2 = NC2

Bài 5 trang 64 Toán 12 Tập 1 Chân trời sáng tạo | Giải Toán 12

Vậy N2;134;0 .

Bài 6 trang 64 Toán 12 Tập 1: Cho các điểm A(−1; −1; 0), B(0; 3; −1), C(−1; 14; 0), D(−3; 6; 2). Chứng minh rằng ABCD là hình thang.

Ta có AB→=1;4;−1, AC→=0;15;0, DC→=2;8;−2.

Vì DC→=2;8;−2=21;4;−1=2AB→ nên DC→ và AB→ cùng phương.

Mặt khác AB→ và AC→ không cùng phương nên CD // AB.

Do đó ABCD là hình thang.

Bài 7 trang 64 Toán 12 Tập 1: Cho hình hộp ABCD.A’B’C’D’ có A(1; 0; 1), B(2; 1; 2), D(1; −1; 1), C'(4; 5; −5). Tìm tọa độ các đỉnh còn lại của hình hộp.

Bài 7 trang 64 Toán 12 Tập 1 Chân trời sáng tạo | Giải Toán 12

Do ABCD.A’B’C’D’ là hình hộp nên các mặt là hình bình hành.

Ta có AD→=BC→  ⇔1−1=xC−2−1−0=yC−11−1=zC−2⇔xC=2yC=0zC=2.

Vậy C(2; 0; 2).

Ta có DC→=D‘C‘→ ⇔2−1=4−xD‘1=5−yD‘2−1=−5−zD‘ ⇔xD‘=3yD‘=4zD‘=−6.

Vậy D'(3; 4; −6).

Ta có AD→=A‘D‘→ ⇔1−1=3−xA‘−1−0=4−yA‘1−1=−6−zA‘ ⇔xA‘=3yA‘=5zA‘=−6.

Vậy A'(3; 5; −6).

Ta có A‘D‘→=B‘C‘→⇔3−3=4−xB‘4−5=5−yB‘−6+6=−5−zB‘⇔xB‘=4yB‘=6zB‘=−5.

Vậy B'(4; 6; −5).

Bài 8 trang 64 Toán 12 Tập 1: Tính công sinh bởi lực F→20;30;−10  (đơn vị: N) tạo bởi một drone giao hàng (Hình 7) khi thực hiện một độ dịch chuyển d→=150;200;100 (đơn vị: m).

Lời giải:

Bài 8 trang 64 Toán 12 Tập 1 Chân trời sáng tạo | Giải Toán 12

Lời giải:

Công sinh bởi lực F→ là A=F→.d→ = 20.150 + 30.200 + (-10).100 = 8000 J.

Xem thêm các bài giải bài tập Toán lớp 12 Chân trời sáng tạo hay, chi tiết khác:

Bài 2. Toạ độ của vectơ trong không gian

Bài 3. Biểu thức toạ độ của các phép toán vectơ

Bài tập cuối chương II

Bài 1. Khoảng biến thiên và khoảng tử phân vị của mẫu số liệu ghép nhóm

Bài 2. Phương sai và độ lệch chuẩn của mẫu số liệu ghép nhóm

Bài tập cuối chương III

Lý thuyết Biểu thức toạ độ của các phép toán vectơ

1. Biểu thức tọa độ của tổng, hiệu hai vecto và tích của một số với một vecto

Trong không gian Oxyz, cho hai vecto a→=(x;y;z) và b→=(x′;y′;z′). Ta có:

  • a→+b→=(x+x′;y+y′;z+z′)
  • a→−b→=(x−x′;y−y′;z−z′)
  • ka→=(kx;ky;kz) với k là một số thực

2. Biểu thức tọa độ của tích vô hướng

Trong không gian Oxyz, tích vô hướng của hai vecto a→=(x;y;z) và b→=(x′;y′;z′) được xác định bởi công thức a→⋅b→=xx′+yy′+zz′

3. Vận dụng

a) Xác định tọa độ của vecto khi biết tọa độ điểm đầu và điểm cuối

Trong không gian Oxyz, cho hai điểm A(xA;yA;zA),B(xB;yB;zB). Ta có:

AB→=(xB−xA;yB−yA;zB−zA)

b) Tọa độ trung điểm đoạn thẳng. Tọa độ trọng tâm tam giác

Trong không gian Oxyz, cho ba điểm không thẳng hàng A(xA;yA;zA),B(xB;yB;zB),C(xC;yC;zC). Khi đó:

  • Tọa độ trung điểm của đoạn thẳng AB là (xA+xB2;yA+yB2;zA+zB2)
  • Tọa độ trọng tâm tam giác ABC là (xA+xB+xC2;yA+yB+yC2;zA+zB+zC2)
Tags : Tags 1. Giải sgk Toán 12 Kết nối tri thức | Giải bài tập Toán 12 Kết nối tri thức Tập 1   chi tiết)   Tập 2 (hay
Share
facebookShare on Facebook

Bài liên quan

Giải SGK Toán 12 Bài 2 (Chân trời sáng tạo): Tích phân

Giải SGK Toán 12 Bài 3 (Chân trời sáng tạo): Ứng dụng hình học của tích phân

Giải SGK Toán 12 Bài 1 (Chân trời sáng tạo): Tính đơn diệu và cực trị của hàm số

Giải SGK Toán 12 (Chân trời sáng tạo): Bài tập cuối chương 4 trang 28

Giải SGK Toán 12 Bài 2 (Chân trời sáng tạo): Giá trị lớn nhất, giá trị nhỏ nhất của hàm số

Giải SGK Toán 12 Bài 1 (Chân trời sáng tạo): Phương trình mặt phẳng

Giải SGK Toán 12 Bài 3 (Chân trời sáng tạo): Đường tiệm cận của đồ thị hàm số

Giải SGK Toán 12 Bài 2 (Chân trời sáng tạo): Phương trình đường thẳng trong không gian

Mục lục

  1. Giải SGK Toán 12 Bài 1 (Chân trời sáng tạo): Tính đơn diệu và cực trị của hàm số
  2. Giải SGK Toán 12 Bài 2 (Chân trời sáng tạo): Giá trị lớn nhất, giá trị nhỏ nhất của hàm số
  3. Giải SGK Toán 12 Bài 3 (Chân trời sáng tạo): Đường tiệm cận của đồ thị hàm số
  4. Giải SGK Toán 12 Bài 4 (Chân trời sáng tạo): Khảo sát và vẽ đồ thị một số hàm số cơ bản
  5. Giải SGK Toán 12 (Chân trời sáng tạo): Bài tập cuối chương 1 trang 37
  6. Giải SGK Toán 12 Bài 1 (Chân trời sáng tạo): Vectơ và các phép toán trong không gian
  7. Giải SGK Toán 12 Bài 2 (Chân trời sáng tạo): Toạ độ của vectơ trong không gian
  8. Giải SGK Toán 12 (Chân trời sáng tạo): Bài tập cuối chương 2 trang 65
  9. Giải SGK Toán 12 Bài 1 (Chân trời sáng tạo): Khoảng biến thiên và khoảng tử phân vị của mẫu số liệu ghép nhóm
  10. Giải SGK Toán 12 Bài 2 (Chân trời sáng tạo): Phương sai và độ lệch chuẩn của mẫu số liệu ghép nhóm
  11. Giải SGK Toán 12 (Chân trời sáng tạo): Bài tập cuối chương 3
  12. Giải SGK Toán 12 Bài 1 (Chân trời sáng tạo): Vẽ đồ thị hàm số bằng phần mềm Geogebra
  13. Giải SGK Toán 12 Bài 2 (Chân trời sáng tạo): Tìm giá trị lớn nhất và giá trị nhỏ nhất của hàm số bằng máy tính cầm tay
  14. Giải SGK Toán 12 Bài 1 (Chân trời sáng tạo): Nguyên hàm
  15. Giải SGK Toán 12 Bài 2 (Chân trời sáng tạo): Tích phân
  16. Giải SGK Toán 12 Bài 3 (Chân trời sáng tạo): Ứng dụng hình học của tích phân
  17. Giải SGK Toán 12 (Chân trời sáng tạo): Bài tập cuối chương 4 trang 28
  18. Giải SGK Toán 12 Bài 1 (Chân trời sáng tạo): Phương trình mặt phẳng
  19. Giải SGK Toán 12 Bài 2 (Chân trời sáng tạo): Phương trình đường thẳng trong không gian
  20. Giải SGK Toán 12 Bài 3 (Chân trời sáng tạo): Phương trình mặt cầu
  21. Giải SGK Toán 12 (Chân trời sáng tạo): Bài tập cuối chương 5 trang 66
  22. Giải SGK Toán 12 Bài 1 (Chân trời sáng tạo): Xác suất có điều kiện
  23. Giải SGK Toán 12 Bài 2 (Chân trời sáng tạo): Công thức xác suất toàn phần và công thức Bayes
  24. Giải SGK Toán 12 (Chân trời sáng tạo): Bài tập cuối chương 6 trang 80
  25. Giải SGK Toán 12 Bài 1 (Chân trời sáng tạo): Tính giá trị gần dúng tích phân bằng máy tính cầm tay
  26. Giải SGK Toán 12 Bài 2 (Chân trời sáng tạo): Minh hoạ và tính tích phân bằng phần mềm GeoGebra
  27. Giải SGK Toán 12 Bài 3 (Chân trời sáng tạo): Sử dụng phần mềm GeoGebra dể biểu diễn hình học toạ độ trong không gian

  • Quên mật khẩu
  • Login
  • Đăng ký
Copyright © 2025 Cộng đồng học tập lớp 12 - Sách Toán
Back to Top
Menu
  • Thi đấu
  • Sitemap
Tài khoản

  • Lost your password ?