Giải bài tập Hóa học 12 Bài 7: Amino acid và peptide
Mở đầu trang 39 Hóa học 12: Amino acid là đơn vị hình thành nên peptide và protein cho cơ thể. Amino acid, peptide là gì? Chúng có cấu tạo và tính chất đặc trưng nào?

Lời giải:
* Amino acid:
– Amino acid là hợp chất hữu cơ tạp chức, trong phân tử chứa đồng thời nhóm carboxyl (-COOH) và nhóm amino (-NH3).
– Tính chất vật lí:
+ Ở điều kiện thường, amino acid là chất rắn, khi ở dạng kết tinh, chúng không màu.
+ Amino acid thường tan nhiều trong nước.
+ Amino acid có nhiệt độ nóng chảy cao.
– Tính chất hóa học:
+ Amino acid có tính lưỡng tính và có phản ứng tạo thành ester khi có xúc tác acid mạnh.
+ Các e-amino acid, w-amino acid có thể tham gia phản ứng trùng ngưng tạo thành polymer.
* Peptide
– Peptide là hợp chất hữu cơ được hình thành từ các đơn vị a-amino acid liên kết với nhau qua liên kết peptide (-CO-NH-).
– Peptide được tạo thành từ 2, 3, 4,… đơn vị a-amino acid lần lượt được gọi là dipeptide, tripeptide, tetrapeptide, … Peptide được tạo thành từ nhiều đơn vị a-amino acid được gọi là polypeptide.
– Tính chất hóa học:
+ Peptide có phản ứng thuỷ phân trong môi trường acid, môi trường kiềm hoặc dưới tác dụng của enzyme.
+ Phản ứng màu biuret đặc trưng cho peptide có từ 2 liên kết peptide trở lên.
Câu hỏi 1 trang 39 Hóa học 12: Quan sát Hình 7.1, cho biết trong phân tử amino acid có chứa nhóm chức hoá học nào. Nguyên tử carbon ở vị trí thứ 2 đến 6 theo chữ cái Hy Lạp được viết và đọc như thế nào?

Lời giải:
– Trong phân tử amino acid có chứa nhóm chức carboxyl (-COOH) và nhóm amino (-NH3).
– Theo chữ cái Hy Lạp, cách đọc và viết nguyên tử carbon ở vị trí thứ 2 đến thứ 6:
|
Vị trí của nguyên tử carbon |
Chữ cái Hy Lạp |
|
|
Cách đọc |
Cách viết |
|
|
2 |
Alpha |
|
|
3 |
Beta |
|
|
4 |
Gamma |
|
|
5 |
Delta |
|
|
6 |
Epsilon |
|
Câu hỏi 2 trang 40 Hóa học 12: Quan sát Hình 7.1 và Hình 7.2, nêu đặc điểm cấu tạo phân tử amino acid. Phân tích cách đọc theo tên hệ thống.


Lời giải:
– Phân tử amino acid là carboxylic acid có nhóm thế amino ở gốc hydrocarbon.
– Tên hệ thống của amino acid: Số chỉ vị trí nhóm NH2 – amino + tên của carboxylic acid (danh pháp thay thế).
* Tham khảo: Danh pháp thay thế của carboxylic acid:
Số chỉ vị trí nhánh-Tên nhánh +Tên hydrocarbon ứng với mạch chính (bỏ kí tự e ở cuối) + oic + acid
Câu hỏi 3 trang 40 Hóa học 12: Tại sao amino acid dễ hoà tan trong nước và có nhiệt độ nóng chảy cao?
Lời giải:
Amino acid tồn tại ở dạng ion lưỡng cực (muối nội phân tử) nên, amino acid:
+ Có tính phân cực mạnh dễ tan trong các dung môi phân cực là nước.
+ Giữa các phân tử amino acid có thể tạo liên kết hydrogen liên phân tử, đồng thời amino acid có nhiều tính chất của hợp chất ion nên amino acid có nhiệt độ nóng chảy cao.
Câu hỏi 4 trang 41 Hóa học 12: Quan sát Hình 7.3, cho biết alanine tồn tại chủ yếu ở dạng ion nào trong dung dịch ở pH khác nhau.
Lời giải:

– Trong môi trường acid mạnh, alanine tồn tại chủ yếu ở dạng cation.
– Ở môi trường trung tính, alanine tồn tại chủ yếu ở dạng ion lưỡng cực.
– Ở môi trường base mạnh, alanine chủ yếu tồn tại ở dạng anion.
Câu hỏi 5 trang 41 Hóa học 12: Nhận xét tính chất của glycine trong Ví dụ 2 và Ví dụ 3.
Lời giải:
Trong Ví dụ 2, glycine phản ứng với base (dung dịch NaOH); ở Ví dụ 3, glycine phản ứng với acid (dung dịch HCl). Do đó glycine có tính lưỡng tính.
Câu hỏi 6 trang 41 Hóa học 12: Phản ứng giữa amino acid với alcohol khi có xúc tác acid mạnh thuộc loại phản ứng gì? Viết phương trình tổng quát của phản ứng trên.
Lời giải:
– Phản ứng giữa amino acid với alcohol khi có xúc tác acid mạnh là phản ứng ester hóa.
– Phương trình tổng quát:

Luyện tập trang 41 Hóa học 12: Viết phương trình hoá học của các phản ứng chứng minh tính lưỡng tính của alanine.
Lời giải:

Câu hỏi 7 trang 42 Hóa học 12: Trong Ví dụ 5, cho biết những nhóm chức nào của amino acid tham gia phản ứng trùng ngưng.
Lời giải:
Trong phân tử amino acid, nhóm chức –NH2 và –COOH đều tham gia phản ứng trùng ngưng, cụ thể như sau: OH của nhóm COOH ở phân tử amino acid này kết hợp với H của nhóm NH2 ở phân tử amino acid kia tạo thành H2O và sinh ra polymer do các gốc amino acid kết hợp với nhau.
Câu hỏi 8 trang 42 Hóa học 12: Cho biết liên kết giữa các đơn vị a-amino acid trong phân tử peptide thuộc loại liên kết gì?
Lời giải:
Trong phân tử peptide, các đơn vị a-amino acid liên kết với nhau qua liên kết peptide (-CO-NH-).
Luyện tập trang 42 Hóa học 12: Từ Hình 7.4, khi thay đổi vị trí amino acid trong peptide, như: Gly-Ala thành Ala-Gly thì các peptide này có cấu tạo khác nhau như thế nào?
Lời giải:
|
Gly-Ala |
![]() |
Amino acid đầu N là glycine, amino acid đầu C là alanine (nhóm CO của glycine liên kết với NH của alanine). |
|
Ala-Gly |
![]() |
Amino acid đầu N là alanine, amino acid đầu C là glycine (nhóm CO của alanine liên kết với NH của glycine). |
Câu hỏi 9 trang 43 Hóa học 12: Trong Ví dụ 6, loại liên kết nào của peptide bị phá vỡ? Sản phẩm của phản ứng là gì?
Lời giải:
Trong Ví dụ 6, liên kết peptide bị phá vỡ, sản phẩm phản ứng là hai a-amino acid (glycine và alanine).
Câu hỏi 10 trang 43 Hóa học 12: Tiến hành thí nghiệm, quan sát và ghi nhận hiện tượng.
Lời giải:
Hiện tượng: Cho dung dịch peptide (lòng trắng trứng) vào ống nghiệm đựng kết tủa xanh lam Cu(OH)2 (tạo ra khi cho dung dịch CuSO4 tác dụng với dung dịch NaOH), thấy Cu(OH)2 tan ra và thu được phức chất có màu tím đặc trưng.
Luyện tập trang 43 Hóa học 12: Nêu cách phân biệt dung dịch Gly-Ala và dung dịch Ala-Gly-Val.
Lời giải:
Sử dụng Cu(OH)2 trong môi trường kiềm để phân biệt dung dịch Gly-Ala và dung dịch Ala-Gly-Val.
+ Ala-Gly-Val là tripeptide có khả năng tham gia phản ứng màu biuret với Cu(OH)2/NaOH tạo phức màu tím.
+ Còn Gly–Ala là dipeptide không có khả năng tham gia phản ứng màu biuret với Cu(OH)2/NaOH nên không có hiện tượng.
Bài tập
Bài 1 trang 44 Hóa học 12: Dựa vào đặc điểm cấu tạo, so sánh nhiệt độ nóng chảy của các chất sau:
CH3-CH2-NH2 và H2N-CH2-COOH.
Lời giải:
Ethylamine chỉ chứa nhóm chức amine (NH2) nên ethylamine không có tính phân cực mạnh, glycine chứa hai nhóm chức carboxyl (COOH) và amine (NH2) nên glycine có thể tồn tại ở dạng ion lưỡng cực do đó glycine có tính phân cực mạnh, vậy nên nhiệt độ nóng chảy của glycine cao hơn nhiều so với ethylamine.
Bài 2 trang 44 Hóa học 12: Valine là một amino acid, valine tham gia vào nhiều chức năng của cơ thể, thúc đẩy quá trình phát triển cơ và phục hồi mô. Thiếu valine sẽ ảnh hưởng đến sự phát triển của cơ thể, gây trở ngại về thần kinh, thiếu máu.
a) Viết phương trình hoá học chứng minh tính lưỡng tính của valine.
b) Viết công thức cấu tạo của dipeptide Val-Val.
Lời giải:
a) Phương trình hóa học chứng minh tính lưỡng tính của valine:

b) Công thức cấu tạo của dipeptide Val-Val:

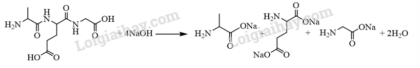
Bài 3 trang 44 Hóa học 12: Một peptide có cấu trúc như sau:

a) Peptide trên chứa các amino acid nào? Có bao nhiêu liên kết peptide trong phân tử?
b) Viết phản ứng thuỷ phân hoàn toàn peptide đã cho trong dung dịch HCl dư và dung dịch NaOH dư.
c) Peptide này có phản ứng màu biuret không?
Lời giải:
a) Peptide trên chứa alanine, glutamic acid và glycine. Có 2 liên kết peptide trong phân tử trên.
b) Thủy phân peptide trong môi trường acid:

Thủy phân peptide trong môi trường base:

c) Peptide trên là tripeptide nên peptide này có phản ứng màu biuret.
Lý thuyết Amino acid và peptide
A. Amino acid
1. Khái niệm, cấu trúc và tên gọi
Khái niệm: Amino acid là hợp chất hữu cơ tạp chức, trong phân tử chứa đồng thời nhóm carboxylic (-COOH) và nhóm amino (- NH2)
– Đặc điểm cấu tạo và tên gọi của amino acid
Amino acid thường được gọi bằng tên thông thường như glycine, alanine, valine,…
2. Tính chất vật lí
– Ở điều kiện thường, amino acid là chất rắn, khi ở dạng kết tinh, chúng không màu.
– Amino acid thường tan nhiều trong nước
– Amino acid có nhiệt độ nóng chảy cao.
3. Tính chất điện di
– Amino acid có khả năng di chuyển khác nhau trong điện trường tùy thuộc PH của môi trường (tính chất điện di).
Ví dụ:
4. Tính chất hóa học
1. Tính chất riêng của các nhóm chức
Amino acid có tính lưỡng tính và có phản ứng tạo thành ester khi có xúc tác acid mạnh.
+ Tác dụng với acid mạnh:
Ví dụ: H2N – CH2 – COOH + HCl ClH3N – CH2 – COOH
+ Tác dụng với base mạnh:
Ví dụ: H2N – CH2 – COOH + NaOH H2N – CH2 – COONa + H2O
+ Phản ứng tạo ester hóa
Ví dụ: 
2. Tính chất chung của 2 nhóm chức
Các – amino acid, -amino acid có thể tham gia phản ứng trùng ngưng tạo thành polymer.
B. Peptide
1. Khái niệm và cấu tạo
– Peptide là hợp chất hữu cơ được hình thành từ các đơn vị – amino acid liên kết với nhau qua liên kết peptide ( – CO – NH – )
– Peptide được tạo thành từ 2,3,4,… đơn vị -amino acid lần lượt được gọi là dipeptide, tripeptide, tetrapeptide,… Peptide được tạo thành từ nhiều đơn vị -amino acid được gọi là polypeptide.
2. Tính chất hóa học
1. Phản ứng thủy phân
Khi đun nóng peptide với dung dịch acid hoặc kiềm sẽ xảy ra phản ứng thủy phân. Tùy thuộc vào pH của phản ứng sẽ cho sản phẩm cuối cùng là các phân tử – amino acid ở các dạng khác nhau (phân tử trung hòa, cation, anion).
2. Phản ứng màu biuret
Trừ dipeptide, các peptide còn lại có khả năng hòa tan Cu(OH)2 trong môi trường kiềm tạo thành phức chất tan trong nước có màu tím đặc trưng. Phản ứng này còn được gọi là phản ứng màu biuret.
Sơ đồ tư duy Amino acid và Peptide

Xem thêm các bài giải bài tập Hóa Học lớp 12 Chân trời sáng tạo hay, chi tiết khác:
Bài 6. Amine
Bài 7. Amino acid và peptide
Bài 8. Protein và enzyme
Bài 9. Đại cương về polymer
Bài 10. Chất dẻo và vật liệu composite
Bài 11. Tơ – Cao su – Keo dán tổng hợp

