Skip to content

Cộng đồng học tập lớp 12

  • Thi đấu
  • Sitemap

Cộng đồng học tập lớp 12

  • Home » 
  • Giải SBT Toán 12 – Cánh diều

Sách bài tập Toán 12 Bài 3 (Cánh diều): Tích phân

By Admin Lop12.com 19/02/2025

Giải SBT Toán 12 Bài 3: Tích phân

Bài 26 trang 19 SBT Toán 12 Tập 2: Cho f(x) là hàm số liên tục trên đoạn [a; b]. Giả sử F(x), G(x) là các nguyên hàm của f(x) trên đoạn [a; b]. Trong các phát biểu sau, phát biểu nào sai?

A. F(a) – F(b) = G(a) – G(b).

B. ∫abf(x)dx=F(b)−F(a).

C. ∫abf(x)dx=f(b)−f(a).

D. ∫abf(x)dx=G(b)−G(a).

Lời giải:

Đáp án đúng là: C

Vì F(x), G(x) là các nguyên hàm của f(x) trên đoạn [a; b] nên ta có:

∫abf(x)dx=F(b)−F(a)=G(b)−G(a).

Vậy phát biểu C là phát biểu sai. Chọn C.

Bài 27 trang 20 SBT Toán 12 Tập 2: Phát biểu nào sau đây là đúng?

A. ∫abxαdx=bα+1−aα+1.

B. ∫abxαdx=αbα−1−aα−1.

C. ∫abxαdx=bα+1−aα+1α+1 (α ≠ −1).

D. ∫abxαdx=bα+1−aα+1α (α ≠ 0).

Lời giải:

Đáp án đúng là: C

Với α ≠ −1, ta có: ∫abxαdx=xα+1α+1ab=bα+1α+1−aα+1α+1=bα+1−aα+1α+1

Bài 28 trang 20 SBT Toán 12 Tập 2: Phát biểu nào sau đây là đúng?

A. ∫absinxdx=sina−sinb.

B. ∫absinxdx=sinb−sina.

C. ∫absinxdx=cosa−cosb.

D. ∫absinxdx=cosb−cosa.

Lời giải:

Đáp án đúng là: C

Ta có: ∫absinxdx=−cosxab=−cosb−(−cosa)=cosa−cosb.

Bài 29 trang 20 SBT Toán 12 Tập 2: Phát biểu nào sau đây là đúng?

Biết f(x) = 1sin2x liên tục trên [a; b].

A. ∫ab1sin2xdx=cota−cotb

B. ∫ab1sin2xdx=cotb−cota

C. ∫ab1sin2xdx=tana−tanb

D. ∫ab1sin2xdx=tanb−tana

Lời giải:

Đáp án đúng là: A

∫ab1sin2xdx=−cotxab=−cotb−(−cota)=cota−cotb

Bài 30 trang 20 SBT Toán 12 Tập 2: Phát biểu nào sau đây là đúng?

A. ∫abexdx=eb+1−ea+1.

B. ∫abexdx=ea+1−eb+1.

C. ∫abexdx=eb−ea.

D. ∫abexdx=ea−eb.

Lời giải:

Đáp án đúng là: C

Ta có: ∫abexdx=exab=eb−ea.

Bài 31 trang 20 SBT Toán 12 Tập 2: Tích phân ∫ab1xdx bằng:

A. lnb – lna.

B. |lnb| − |lna|.

C. ln|b| − ln|a|.

D. ln|a| − ln|b|.

Lời giải:

Đáp án đúng là: C

Ta có: ∫ab1xdx = ln|x|ab=ln|b|−ln|a|.

Bài 32 trang 20 SBT Toán 12 Tập 2: Tích phân ∫12−3x3dx có giá trị bằng:

A. 98

B. −4564

C. 158

D. –98

Lời giải:

Đáp án đúng là: D

Ta có: ∫12−3x3dx=−3∫12x−3dx=32x−212=32.2−2−32⋅1−2=−98.

Bài 33 trang 20 SBT Toán 12 Tập 2: Tích phân ∫121xxdx có giá trị bằng:

A. 2 − 2

B. 2 + 2

C. −2+820

D. −2−820

Lời giải:

Đáp án đúng là: A

Ta có: ∫121xxdx=∫121x32dx=∫12x−32dx=−2x12=−22−−21=−2+2.

Bài 34 trang 21 SBT Toán 12 Tập 2: Nếu ∫01f(x)dx=4 thì ∫012f(x)dx bằng:

A. 16.

B. 4.

C. 2.

D. 8.

Lời giải:

Đáp án đúng là: D 

Ta có: ∫012f(x)dx = 2∫01f(x)dx=2.4=8

Bài 35 trang 21 SBT Toán 12 Tập 2: Nếu ∫12f(x)dx=−2 và ∫23f(x)dx=1 thì ∫13f(x)dx bằng:

A. −3.

B. −1.

C. 1.

D. 3.

Lời giải:

Đáp án đúng là: B

Ta có: ∫13f(x)dx=∫12f(x)dx + ∫23f(x)dx = −2 + 1 = −1.

Vậy ∫13f(x)dx = −1

Bài 36 trang 21 SBT Toán 12 Tập 2: Cho ∫23f(x)dx=3 và ∫23g(x)dx=1. Khi đó ∫23f(x)+g(x)dx bằng:

A. 4.

B. 2.

C. −2.

D. 3.

Lời giải:

Đáp án đúng là: A

Ta có: ∫23f(x)+g(x)dx = ∫23f(x)dx + ∫23g(x)dx = 3 + 1 = 4.

Vậy ∫23f(x)+g(x)dx=4

Bài 37 trang 21 SBT Toán 12 Tập 2: Trong mỗi ý a), b), c), d), chọn phương án: đúng (Đ) hoặc sai (S).

Cho f(x) là hàm số có đạo hàm cấp hai liên tục trên đoạn [a; b].

a) ∫abf‘‘(x)dx=f‘(b)−f‘(a).

Đ

S

b) ∫abf‘‘(x)dx=f(b)−f(a).

Đ

S

c) ∫abf‘‘(x)dx=f‘(a)−f‘(b).

Đ

S

d) ∫abf‘‘(x)dx=f(a)−f(b).

Đ

S

Lời giải:

a) Đ

b) S

c) S

d) S

Ta có: f(x) có đạo hàm là f'(x), f(x) có đạo hàm cấp hai là f”(x), tức là [f'(x)]’ = f”(x).

Do đó, f'(x) là một nguyên hàm của f”(x).

Vậy ∫abf‘‘(x)dx=f‘(x)ab=f‘(b)−f‘(a).

Bài 38 trang 21 SBT Toán 12 Tập 2: Nêu một ví dụ chỉ ra rằng ∫abf(x)g(x)dx≠∫abf(x)dx∫abg(x)dx với f(x) và g(x) liên tục trên đoạn [a; b], g(x) ≠ 0 ∀x ∈ [a; b]

Lời giải:

Lấy f(x) = 1, g(x) = x, a = 1, b = 2. Ta có:

∫abf(x)g(x)dx= ∫121xdx=ln|x|12=ln2−ln1=ln2

∫abf(x)dx∫abg(x)dx = ∫121dx∫12xdx=x12x2212=2−12−12=23.

Ta có: ln2 ≠ 23 nên ∫121xdx≠∫121dx∫12xdx

Bài 39 trang 21 SBT Toán 12 Tập 2: Cho ∫−12g(x)dx=6, G(x) là một nguyên hàm của hàm số g(x) trên đoạn [−1; 2] và G(−1) = 8. Tính G(2).

Lời giải:

Vì G(x) là một nguyên hàm của hàm số g(x) trên đoạn [−1; 2] nên ta có:

∫−12g(x)dx=G(2)−G(−1) , suy ra G(2) – G(−1) = 6 hay G(2) – 8 = 6, suy ra G(2) = 14.

Bài 40 trang 22 SBT Toán 12 Tập 2: Cho ∫−21f(x)dx=5 và ∫−21g(x)dx=−4. Tính:

a) ∫1−2f(x)dx;

b) ∫−21−4f(x)dx;

c) ∫−21−2g(x)3dx;

d) ∫−21f(x)+g(x)dx;

e) ∫−21f(x)−g(x)dx

g) ∫−213f(x)−5g(x)dx

Lời giải:

a) Ta có: ∫1−2f(x)dx = ∫−21f(x)dx=−5

Vậy ∫1−2f(x)dx = –5

b) Ta có: ∫−21−4f(x)dx = −4∫−21f(x)dx = −4.5 = −20

Vậy ∫−21−4f(x)dx = –20

c) ∫−21−2g(x)3dx = −23∫−21g(x)dx = −23.(−4)=83.

Vậy ∫−21−2g(x)3dx =83

 d) ∫−21f(x)+g(x)dx = ∫−21f(x)dx+∫−21g(x)dx = 5 + (−4) = 1

Vậy ∫−21f(x)+g(x)dx = 1

e) ∫−21f(x)−g(x)dx = ∫−21f(x)dx−∫−21g(x)dx = 5 – (−4) = 9

Vậy ∫−21f(x)−g(x)dx = 9

g) ∫−213f(x)−5g(x)dx = ∫−213f(x)dx−∫−215g(x)dx

3∫−21f(x)dx−5∫−21g(x)dx = 3.5 – 5. (−4) = 35

Vậy ∫−213f(x)−5g(x)dx = 35

Bài 41 trang 22 SBT Toán 12 Tập 2: Cho ∫−13f(x)dx=2, ∫23f(x)dx=−5. Tính tích phân ∫−12f(x)dx

Lời giải:

Ta có: ∫−13f(x)dx=∫−12f(x)dx+∫23f(x)dx hay 2 = ∫−12f(x)dx + (−5).

Suy ra ∫−12f(x)dx = 2 + 5 = 7.

Vậy ∫−12f(x)dx = 7

Bài 42 trang 22 SBT Toán 12 Tập 2: Một ô tô đang chạy với vận tốc 18 m/s thì người lái ô tô đạp phanh, từ thời điểm đó, ô tô chuyển động chậm dần đều với vận tốc v(t) = −6t + 18 (m/s), trong đó t là thời gian tính bằng giây. Hỏi từ lúc đạp phanh đến khi dừng hẳn, ô tô di chuyển được quãng đường bao nhiêu mét?

Lời giải:

Xe ô tô dừng hẳn khi v(t) = 0, tức là −6t + 18 = 0 hay t = 3 (s).

Quãng đường mà ô tô di chuyển từ lúc đạp phanh đến khi dừng hẳn là:

∫03(−6t+18)dt=(−3t2+18t)03 = 27 (m).

Bài 43 trang 22 SBT Toán 12 Tập 2: Một vật chuyển động với vận tốc được cho bởi đồ thị ở Hình 3.

Một vật chuyển động với vận tốc được cho bởi đồ thị ở Hình 3

a) Tính quãng đường mà vật di chuyển được trong 5 giây đầu tiên.

b) Tính quãng đường mà vật di chuyển được từ thời điểm 1 giây đến 5 giây.

Lời giải:

Đồ thị hàm số biểu diễn vận tốc theo thời gian là đường thẳng qua gốc tọa độ, nên ta có: v(t) = at (a ∈ ℝ).

Khi t = 5 thì v = 10 nên ta có: 10 = 5a hay a = 2.

Vậy v(t) = 2t.

a) Quãng đường mà vật di chuyển được trong 5 giây đầu tiên là:

 ∫05v(t)dt=∫052tdt=t205 = 25 (m).

b) Quãng đường mà vật di chuyển được từ thời điểm 1 giây đến 5 giây là:

∫15v(t)dt=∫152tdt=t215 = 24 (m).

Bài 44 trang SBT Toán 12 Tập 2: Một con lắc lò xo dao động điều hòa theo phương ngang trên mặt phẳng không ma sát như Hình 4, có vận tốc tức thời cho bởi v(t) = 2cost, trong đó t tính bằng giây và v(t) tính bằng cm/s. Tại thời điểm t = 0, con lắc đó ở vị trí cân bằng.

Một con lắc lò xo dao động điều hòa theo phương ngang trên mặt phẳng không ma sát như Hình 4

Tính quãng đường mà con lắc lò xo di chuyển được sau 1 giây kể từ vị trí cân bằng theo đơn vị centimét (làm tròn kết quả đến hàng phần trăm).

Lời giải:

Quãng đường mà con lắc lò xo di chuyển được sau 1 giây kể từ vị trí cân bằng là:

S=∫01v(t)dt=∫012costdt=2sint01=2sin1≈1,68 (cm).

Lý thuyết Tích phân

1. Định nghĩa tích phân

Cho f(x) là hàm số liên tục trên đoạn [a; b]. Giả sử F(x) là một nguyên hàm của f(x) trên đoạn [a; b].

Hiệu số F(b) – F(a) được gọi là tích phân từ a đến b của hàm số f(x), kí hiệu là ∫abfxdx.

Chú ý:

+ Kí hiệu Fxab=Fb−Fa  và đọc là F(x) thế cận từ a đến b.

Vậy ∫abfxdx=Fxab=Fb−Fa .

Gọi:∫ab là dấu tích phân; a là cận dưới, b là cận trên; f(x)dx là biểu thức dưới dấu tích phân và f(x) là hàm số dưới dấu tích phân.

+ Ta quy ước: ∫aafxdx=0;   ∫abfxdx=−∫bafxdx .

+ Tích phân của hàm số f từ a đến b chỉ phụ thuộc vào các cận a, b mà không phụ thuộc vào biến số x hay t, nghĩa là ∫abfxdx=∫abftdt .

Ví dụ 1. Tính:

a) ∫232xdx ;

b) ∫12exdx .

Hướng dẫn giải

a) ∫232xdx=x223  = 32 – 22 = 5. 

b) ∫12exdx=ex12  = e2 – e1 = e2 – e.

2. Tính chất của tích phân

● Tính chất 1: Cho hàm số y = f(x) liên tục trên đoạn [a; b]. Khi đó, ta có:

 ∫abkfxdx=k∫abfxdx (k là hằng số).

Ví dụ 2. Cho ∫−22fxdx=−3 . Tính ∫−225fxdx .

Hướng dẫn giải

Ta có: ∫−225fxdx=5∫−22fxdx=5⋅−3=−15 .

● Tính chất 2: Cho các hàm số y = f(x), y = g(x) liên tục trên đoạn [a; b]. Khi đó, ta có:

∫abfx+gxdx=∫abfxdx+∫abgxdx;

∫abfx−gxdx=∫abfxdx−∫abgxdx.

Ví dụ 3. Tính ∫02x2+x−1dx .

Hướng dẫn giải

Ta có: ∫02x2+x−1dx=∫02x2dx+∫02xdx−∫021dx=x3302+x2202−x02

                                    =83−0+42−0−2−0=83 .

● Tính chất 3: Cho hàm số y = f(x) liên tục trên đoạn [a; b]. Giả sử c là số thực tùy ý thuộc đoạn [a; b]. Khi đó, ta có:

∫abfxdx=∫acfxdx+∫cbfxdx.

Ví dụ 4. Tính ∫02x−1 dx .

Hướng dẫn giải

Ta có:∫02x−1 dx=∫01x−1dx+∫12x−1dx=∫011−xdx+∫12x−1dx

 =x−x2201+x22−x12=1−12−0+42−2−12−1= 1.

3. Tích phân của một số hàm số sơ cấp

3.1. Tích phân của hàm số lũy thừa

Với α ≠ – 1, ta có: ∫abxαdx=xα+1α+1ab=bα+1−aα+1α+1 .

Ví dụ 5. Tính:

a) ∫−114x3dx ;

b) ∫12x3dx .

Hướng dẫn giải

a) ∫−114x3dx=x4−11 = 14 – (– 1)4 = 0.

b) ∫12x3dx=x3+13+112=23+1−13+13+1=23+1−13+1.

3.2. Tích phân của hàm số f(x) = 1x

Với hàm số f(x) = 1x liên tục trên đoạn [a; b], ta có:

∫ab1xdx=lnxab=lnb−lna.

Ví dụ 6. Tính ∫2e65xdx .

Hướng dẫn giải

Ta có: =65lnx2e=65lne−ln2=651−ln2 .

3.3. Tích phân của hàm số lượng giác

● ∫absinxdx=−cosxab=−cosb−−cosa=cosa−cosb .

● ∫abcosxdx=sinxab=sinb−sina .

● Với hàm số f(x) = 1sin2x  liên tục trên đoạn [a; b], ta có:

∫ab1sin2xdx=−cotxab=−cotb−−cota=cota−cotb.

● Với hàm số f(x) = 1cos2x  liên tục trên đoạn [a; b], ta có:

∫ab1cos2xdx=tanxab=tanb−tana.

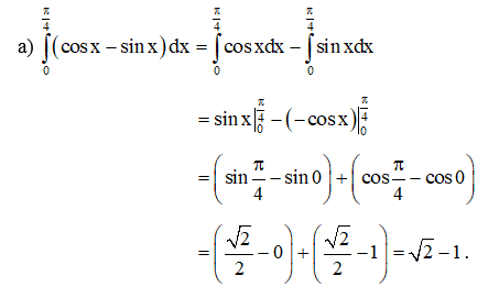
Ví dụ 7. Tính:

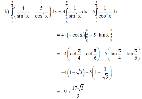
a) ∫0π4cosx−sinxdx ;

b) ∫π6π44sin2x−5cos2xdx .

Hướng dẫn giải

Tích phân (Lý thuyết Toán lớp 12) | Cánh diều

Tích phân (Lý thuyết Toán lớp 12) | Cánh diều

3.4. Tích phân của hàm số mũ

Với a > 0, a ≠ 1, ta có: ∫αβaxdx=axlnaαβ=aβ−aαlna .

Chú ý: Áp dụng công thức trên, ta có: ∫αβexdx=exαβ=eβ−eα .

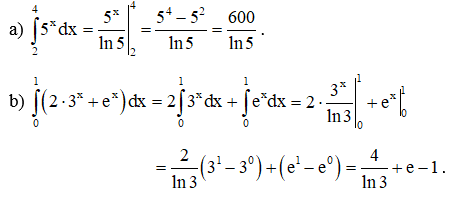
Ví dụ 8. Tính:

a) ∫245xdx ;

b) ∫012⋅3x+exdx .

Hướng dẫn giải

Tích phân (Lý thuyết Toán lớp 12) | Cánh diều

Xem thêm các bài giải SBT Toán lớp 12 Cánh diều hay, chi tiết khác:

Bài 2: Nguyên hàm của một số hàm số sơ cấp

Bài 3: Tích phân

Bài 4: Ứng dụng hình học của tích phân

Bài tập cuối chương 4

Bài 1: Phương trình mặt phẳng

Bài 2: Phương trình đường thẳng

Tags : Tags 1. Giải sgk Toán 12 Kết nối tri thức | Giải bài tập Toán 12 Kết nối tri thức Tập 1   chi tiết)   Tập 2 (hay
Share
facebookShare on Facebook

Bài liên quan

Sách bài tập Toán 12 Bài 4 (Cánh diều): Ứng dụng hình học của tích phân

Sách bài tập Toán 12 (Cánh diều): Bài tập cuối chương 4

Sách bài tập Toán 12 Bài 1 (Cánh diều): Tính đơn điệu và cực trị của hàm số

Sách bài tập Toán 12 Bài 1 (Cánh diều): Phương trình mặt phẳng

Sách bài tập Toán 12 Bài 2 (Cánh diều): Giá trị lớn nhất và giá trị nhỏ nhất của hàm số

Sách bài tập Toán 12 Bài 2 (Cánh diều): Phương trình đường thẳng

Sách bài tập Toán 12 Bài 3 (Cánh diều): Đường tiệm cận của đồ thị hàm số

Sách bài tập Toán 12 Bài 3 (Cánh diều): Phương trình mặt cầu

Mục lục

  1. Sách bài tập Toán 12 Bài 1 (Cánh diều): Tính đơn điệu và cực trị của hàm số
  2. Sách bài tập Toán 12 Bài 2 (Cánh diều): Giá trị lớn nhất và giá trị nhỏ nhất của hàm số
  3. Sách bài tập Toán 12 Bài 3 (Cánh diều): Đường tiệm cận của đồ thị hàm số
  4. Sách bài tập Toán 12 Bài 4 (Cánh diều): Khảo sát sự biến thiên và vẽ đồ thị của hàm số
  5. Sách bài tập Toán 12 (Cánh diều): Bài tập cuối chương 1
  6. Sách bài tập Toán 12 Bài 1 (Cánh diều): Vectơ và các phép toán vectơ trong không gian
  7. Sách bài tập Toán 12 Bài 2 (Cánh diều): Toạ độ của vectơ
  8. Sách bài tập Toán 12 Bài 3 (Cánh diều): Biểu thức toạ độ của các phép toán vectơ
  9. Sách bài tập Toán 12 (Cánh diều): Bài tập cuối chương 2
  10. Sách bài tập Toán 12 Bài 1 (Cánh diều): Khoảng biến thiên, khoảng tứ phân vị của mẫu số liệu ghép nhóm
  11. Sách bài tập Toán 12 Bài 2 (Cánh diều): Phương sai, độ lệch chuẩn của mẫu số liệu ghép nhóm
  12. Sách bài tập Toán 12 (Cánh diều): Bài tập cuối chương 3
  13. Sách bài tập Toán 12 Bài 1 (Cánh diều): Nguyên hàm
  14. Sách bài tập Toán 12 Bài 2 (Cánh diều): Nguyên hàm của một số hàm số sơ cấp
  15. Sách bài tập Toán 12 Bài 4 (Cánh diều): Ứng dụng hình học của tích phân
  16. Sách bài tập Toán 12 (Cánh diều): Bài tập cuối chương 4
  17. Sách bài tập Toán 12 Bài 1 (Cánh diều): Phương trình mặt phẳng
  18. Sách bài tập Toán 12 Bài 2 (Cánh diều): Phương trình đường thẳng
  19. Sách bài tập Toán 12 Bài 3 (Cánh diều): Phương trình mặt cầu
  20. Sách bài tập Toán 12 (Cánh diều): Bài tập cuối chương 5
  21. Sách bài tập Toán 12 Bài 1 (Cánh diều): Xác xuất có điều kiện
  22. Sách bài tập Toán 12 Bài 2 (Cánh diều): Công thức xác suất toàn phần. Công thức Bayes
  23. Sách bài tập Toán 12 (Cánh diều): Bài tập cuối chương 6

  • Quên mật khẩu
  • Login
  • Đăng ký
Copyright © 2025 Cộng đồng học tập lớp 12 - Sách Toán
Back to Top
Menu
  • Thi đấu
  • Sitemap
Tài khoản

  • Lost your password ?