Skip to content

Cộng đồng học tập lớp 12

  • Thi đấu
  • Sitemap

Cộng đồng học tập lớp 12

  • Home » 
  • Giải SBT Toán 12 – Cánh diều

Sách bài tập Toán 12 Bài 2 (Cánh diều): Nguyên hàm của một số hàm số sơ cấp

By Admin Lop12.com 19/02/2025

Giải SBT Toán 12 Bài 2: Nguyên hàm của một số hàm số sơ cấp

Bài 16 trang 14 SBT Toán 12 Tập 2: ∫sin(−x)dx bằng:

A. sinx + C.

B. cosx + C.

C. −sinx + C.

D. −cosx + C.

Lời giải:

Đáp án đúng là: B

Ta có: ∫sin(−x)dx=∫−sinxdx=∫sinxdx= −(−cosx) + C = cosx + C.

Bài 17 trang 14 SBT Toán 12 Tập 2: ∫cos(−x)dx bằng:

A. sinx + C.

B. cosx + C.

C. −sinx + C.

D. −cosx + C.

Lời giải:

Đáp án đúng là: A

Ta có: ∫cos(−x)dx=∫cosxdx=sinx + C.

Bài 18 trang 14 SBT Toán 12 Tập 2: ∫1sin2(−x)dx bằng:

A. tanx + C.

B. cotx + C.

C. −tanx + C.

D. −cotx + C.

Lời giải:

Đáp án đúng là: D

Ta có: ∫1sin2(−x)dx=∫1−sinx2dx=∫1sin2xdx=−cotx+C.

Bài 19 trang 14 SBT Toán 12 Tập 2: ∫1cos2(−x)dx bằng:

A. tanx + C.

B. cotx + C.

C. −tanx + C.

D. −cotx + C.

Lời giải:

Đáp án đúng là: A

Ta có: ∫1cos2(−x)dx=∫1cos2xdx= tanx + C.

Bài 20 trang 14 SBT Toán 12 Tập 2: ∫17xdx bằng:

A. 17xln17.

B. 17xln17

C. 17xln17 + C.

D. 17xln17 + C.

Lời giải:

Đáp án đúng là: D

Ta có: ∫17xdx=17xln17+C.

Bài 21 trang 14 SBT Toán 12 Tập 2: Cho hàm số f(x) = x7+8x.

a) f(x) = x6 + 8x

Đ

S

b) ∫f(x)dx=∫x6dx−∫8xdx

Đ

S

c) ∫f(x)dx=∫x6dx+∫8xdx

Đ

S

d) ∫f(x)dx=x77+8ln|x|.

Đ

S

Lời giải:

a) Đ

b) S

c) Đ

d) S

Ta có: f(x) =x7+8x=x7x+8x=x6+8x

∫f(x)dx=∫x6+8xdx=∫x6dx+∫8xdx

=∫x6dx+8∫1xdx=x77+8ln|x|+C.

Bài 22 trang 14 SBT Toán 12 Tập 2: Cho hàm số f(x) = sin3x+sinxsin2x.

a) f(x) = 2sin3x+x2cos3x−x2sin2x

Đ

S

b) f(x) = 2cosx.

Đ

S

c) ∫f(x)dx=2∫cosxdx.

Đ

S

d) ∫f(x)dx=−2sinx+C.

Đ

S

Lời giải:

a) Đ

b) Đ

c) Đ

d) S

Ta có: f(x) = sin3x+sinxsin2x=2sin3x+x2cos3x−x2sin2x=2sin2xcosxsin2x=2cosx

Ta có: ∫f(x)dx=∫2cosxdx=2∫cosxdx = 2sinx + C.

Bài 23 trang 15 SBT Toán 12 Tập 2: Tìm:

a) ∫x13dx;

b) ∫1x7dx;

c) ∫1x453dx;

d) ∫x−1x2dx;

e) ∫(x−3)(x+1)xdx;

g) ∫3x2−4x(2x+5)dx.

Lời giải:

a) ∫x13dx = 113+1x13+1 + C = 34x43 + C.

b) ∫1x7dx = ∫1x72dx = ∫x−72dx = −25x−52+C

c) ∫1x453dx = ∫1x415dx = ∫x−415dx = 1511x1115+C

d) ∫x−1x2dx = ∫x2+1x2−2dx = x33−1x−2x+C.

e) ∫(x−3)(x+1)xdx = ∫x2−2x−3xdx

∫x−2−3xdx = x22−2x−3ln|x|+C

g) ∫3x2−4x(2x+5)dx = ∫6x3+15x2−8−20xdx

= 32x4+5x3−8x−20ln|x|+C.

Bài 24 trang 15 SBT Toán 12 Tập 2: Tìm:

a) ∫e5xdx;

b) ∫12024xdx;

c) ∫(2x+x2)dx;

d) ∫(2x.32x+1)dx;

e) ∫3x+4x+15xdx.

Lời giải:

a) ∫e5xdx=∫(e5)xdx=e5xlne5+C=e5x5+C.

b) ∫12024xdx=∫11024xdx=12024xln12024+C=−12024x.ln2024+C

c) ∫(2x+x2)dx=∫2xdx+∫x2dx=2xln2+x33+C

d) ∫(2x.32x+1)dx=∫(2x.32x.3)dx=3∫(2x.9x)dx=3∫18xdx=3.18xln18+C.

e) ∫3x+4x+15xdx=∫3x5x+4x5x+15xdx

=∫35xdx+∫45xdx+∫15xdx

=35xln35+45xln45+15xln15+C

=3x5x(ln3−ln5)+4x5x(ln4−ln5)−15xln5+C.

Bài 25 trang 15 SBT Toán 12 Tập 2: Tìm:

a) ∫(5sinx−6cosx)dx;

b) ∫sin22xdx+∫cos22xdx;

c) ∫sin2x2dx;

d) ∫sinx2+cosx22dx;

e*) ∫cos4x2dx−∫sin4x2dx;

g*) ∫tan2xdx.

Lời giải:

a) ∫(5sinx−6cosx)dx=5∫sinxdx−6∫cosxdx= −5cosx – 6sinx + C.

b) ∫sin22xdx+∫cos22xdx=∫sin22x+cos22xdx = x + C.

c) ∫sin2x2dx=∫1−cosx2dx=12∫dx−12∫cosxdx=x2−sinx2+C

d) ∫sinx2+cosx22dx = ∫sin2x2+2sinx2.cosx2+cos2x2dx

                                       = ∫1+sinxdx = x – cosx + C.

e*) ∫cos4x2dx−∫sin4x2dx = ∫cos4x2−sin4x2dx

= ∫cos2x2+sin2x2cos2x2−sin2x2dx

= ∫cosxdx = sinx + C.

g*) ∫tan2xdx = ∫sin2xcos2xdx = ∫1−cos2xcos2xdx = ∫1cos2x−1dx = tanx – x + C.

Lý thuyết Nguyên hàm của một số hàm số sơ cấp

1. Nguyên hàm của hàm số luỹ thừa

1.1. Hàm số luỹ thừa

● Cho số thực α. Hàm số y = xα được gọi là hàm số luỹ thừa.

Ví dụ 1. Các hàm số y = x3; y = x– 2; y = x14 ; y = x5  là những hàm số lũy thừa.

● Tập xác định của hàm số lũy thừa y = xα tùy thuộc vào giá trị của α. Cụ thể như sau:

+ Với α nguyên dương, tập xác định là ℝ;

+ Với α nguyên âm hoặc bằng 0, tập xác định là ℝ \ {0};

+ Với α không nguyên, tập xác định là (0; + ∞).

● Định lí: Hàm số lũy thừa y = xα (α ∈ ℝ) có đạo hàm với mọi x > 0 và (xα)’ = αxα – 1.

1.2. Nguyên hàm của hàm số luỹ thừa

Với α ≠ – 1, ta có: ∫xαdx=xα+1α+1+C .

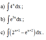
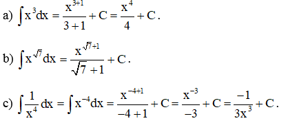
Ví dụ 2. Tìm:

Nguyên hàm của một số hàm số sơ cấp (Lý thuyết Toán lớp 12) | Cánh diều

Hướng dẫn giải

Nguyên hàm của một số hàm số sơ cấp (Lý thuyết Toán lớp 12) | Cánh diều

2. Nguyên hàm của hàm số f(x) = 1x

Ta có: ∫1xdx=lnx+C .

Ví dụ 3. Tìm:

a) ∫2xdx ;

b) ∫53xdx

Hướng dẫn giải

a) ∫2xdx=2∫1xdx=2lnx+C .

b) ∫53xdx=53∫1xdx=53lnx+C .

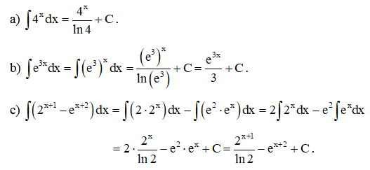
3. Nguyên hàm của hàm số lượng giác

Nguyên hàm của một số hàm số sơ cấp (Lý thuyết Toán lớp 12) | Cánh diều

Ví dụ 4. Tìm:

Nguyên hàm của một số hàm số sơ cấp (Lý thuyết Toán lớp 12) | Cánh diều

Hướng dẫn giải

Nguyên hàm của một số hàm số sơ cấp (Lý thuyết Toán lớp 12) | Cánh diều

4. Nguyên hàm của hàm số mũ

Với a > 0, a ≠ 1, ta có: ∫axdx=axlna+C .

Nhận xét: Áp dụng công thức trên, ta có: ∫exdx=ex+C .

Ví dụ 5. Tìm:

Nguyên hàm của một số hàm số sơ cấp (Lý thuyết Toán lớp 12) | Cánh diều

Hướng dẫn giải

Nguyên hàm của một số hàm số sơ cấp (Lý thuyết Toán lớp 12) | Cánh diều

Xem thêm các bài giải SBT Toán lớp 12 Cánh diều hay, chi tiết khác:

Bài 1: Nguyên hàm

Bài 2: Nguyên hàm của một số hàm số sơ cấp

Bài 3: Tích phân

Bài 4: Ứng dụng hình học của tích phân

Bài tập cuối chương 4

Bài 1: Phương trình mặt phẳng

Tags : Tags 1. Giải sgk Toán 12 Kết nối tri thức | Giải bài tập Toán 12 Kết nối tri thức Tập 1   chi tiết)   Tập 2 (hay
Share
facebookShare on Facebook

Bài liên quan

Sách bài tập Toán 12 Bài 4 (Cánh diều): Ứng dụng hình học của tích phân

Sách bài tập Toán 12 (Cánh diều): Bài tập cuối chương 4

Sách bài tập Toán 12 Bài 1 (Cánh diều): Tính đơn điệu và cực trị của hàm số

Sách bài tập Toán 12 Bài 1 (Cánh diều): Phương trình mặt phẳng

Sách bài tập Toán 12 Bài 2 (Cánh diều): Giá trị lớn nhất và giá trị nhỏ nhất của hàm số

Sách bài tập Toán 12 Bài 2 (Cánh diều): Phương trình đường thẳng

Sách bài tập Toán 12 Bài 3 (Cánh diều): Đường tiệm cận của đồ thị hàm số

Sách bài tập Toán 12 Bài 3 (Cánh diều): Phương trình mặt cầu

Mục lục

  1. Sách bài tập Toán 12 Bài 1 (Cánh diều): Tính đơn điệu và cực trị của hàm số
  2. Sách bài tập Toán 12 Bài 2 (Cánh diều): Giá trị lớn nhất và giá trị nhỏ nhất của hàm số
  3. Sách bài tập Toán 12 Bài 3 (Cánh diều): Đường tiệm cận của đồ thị hàm số
  4. Sách bài tập Toán 12 Bài 4 (Cánh diều): Khảo sát sự biến thiên và vẽ đồ thị của hàm số
  5. Sách bài tập Toán 12 (Cánh diều): Bài tập cuối chương 1
  6. Sách bài tập Toán 12 Bài 1 (Cánh diều): Vectơ và các phép toán vectơ trong không gian
  7. Sách bài tập Toán 12 Bài 2 (Cánh diều): Toạ độ của vectơ
  8. Sách bài tập Toán 12 Bài 3 (Cánh diều): Biểu thức toạ độ của các phép toán vectơ
  9. Sách bài tập Toán 12 (Cánh diều): Bài tập cuối chương 2
  10. Sách bài tập Toán 12 Bài 1 (Cánh diều): Khoảng biến thiên, khoảng tứ phân vị của mẫu số liệu ghép nhóm
  11. Sách bài tập Toán 12 Bài 2 (Cánh diều): Phương sai, độ lệch chuẩn của mẫu số liệu ghép nhóm
  12. Sách bài tập Toán 12 (Cánh diều): Bài tập cuối chương 3
  13. Sách bài tập Toán 12 Bài 1 (Cánh diều): Nguyên hàm
  14. Sách bài tập Toán 12 Bài 3 (Cánh diều): Tích phân
  15. Sách bài tập Toán 12 Bài 4 (Cánh diều): Ứng dụng hình học của tích phân
  16. Sách bài tập Toán 12 (Cánh diều): Bài tập cuối chương 4
  17. Sách bài tập Toán 12 Bài 1 (Cánh diều): Phương trình mặt phẳng
  18. Sách bài tập Toán 12 Bài 2 (Cánh diều): Phương trình đường thẳng
  19. Sách bài tập Toán 12 Bài 3 (Cánh diều): Phương trình mặt cầu
  20. Sách bài tập Toán 12 (Cánh diều): Bài tập cuối chương 5
  21. Sách bài tập Toán 12 Bài 1 (Cánh diều): Xác xuất có điều kiện
  22. Sách bài tập Toán 12 Bài 2 (Cánh diều): Công thức xác suất toàn phần. Công thức Bayes
  23. Sách bài tập Toán 12 (Cánh diều): Bài tập cuối chương 6

  • Quên mật khẩu
  • Login
  • Đăng ký
Copyright © 2025 Cộng đồng học tập lớp 12
Back to Top
Menu
  • Thi đấu
  • Sitemap
Tài khoản

  • Đăng ký
  • Lost your password ?