Giải SBT Hóa học 12 Bài 2: Xà phòng và chất giặt rửa
Câu 2.1 trang 9 SBT Hóa học 12: Xà phòng và chất giặt rửa có đặc điểm chung nào sau đây?
A. Không tan trong nước.
B. Là muối sodium hoặc potassium của acid béo.
C. Là muối sulfonate hoặc sulfate của acid béo.
D. Thường có cấu tạo gồm hai phần là phần không phân cực (kị nước) và phần phân cực (ưa nước).
Lời giải:
Đáp án đúng là: D.
Xà phòng và chất giặt rửa có đặc điểm chung là: thường có cấu tạo gồm hai phần là phần không phân cực (kị nước) và phần phân cực (ưa nước).
Câu 2.2 trang 10 SBT Hóa học 12: Chất nào sau đây được sử dụng làm xà phòng?
A. CH3COOK.
B. C15H31COONa.
C. CH3[CH2]11OSO3Na.
D. C15H31COOCH3.
Lời giải:
Đáp án đúng là: B.
Xà phòng là hỗn hợp muối sodium hoặc potassium của các acid béo và một số chất phụ gia.
C15H31COONa là muối sodium của acid béo (palmitic acid) nên được sử dụng làm xà phòng.
Câu 2.3 trang 10 SBT Hóa học 12: Dung dịch nào sau đây là chất giặt rửa tự nhiên?
A. Nước quả cam.
B. Nước quả chanh.
C. Nước quả bồ kết.
D. Nước quả dâu.
Lời giải:
Đáp án đúng là: C.
Nước quả bồ kết là chất giặt rửa tự nhiên.
Câu 2.4 trang 10 SBT Hóa học 12: Sản phẩm của phản ứng nào sau đây dùng để sản xuất xà phòng?
A. Thủy phân tinh bột.
B. Thủy phân ester có mạch carbon ngắn (< 12C) bằng dung dịch NaOH.
C. Thủy phân dầu thực vật hoặc mỡ động vật bằng dung dịch NaOH.
D. Thủy phân dầu thực vật hoặc mỡ động vật trong môi trường acid.
Lời giải:
Đáp án đúng là: C.
Sản phẩm của phản ứng thủy phân dầu thực vật hoặc mỡ động vật bằng dung dịch NaOH dùng để sản xuất xà phòng.
Câu 2.5 trang 10 SBT Hóa học 12: Thủy phân hoàn toàn triglyceride X bằng dung dịch NaOH thu được xà phòng có công thức là C17H35COONa. Công thức cấu tạo của X là
A. (C17H35COO)3C3H5.
B. (C17H33COO)3C3H5.
C. C17H35COOC3H5.
D. (C15H31COO)3C3H5.
Lời giải:
Đáp án đúng là: A.
Phương trình hoá học minh hoạ:
(C17H35COO)3C3H5 + 3NaOH 3C17H35COONa + C3H5(OH)3
Câu 2.6 trang 10 SBT Hóa học 12: Chất giặt rửa tổng hợp chủ yếu được sản xuất từ
A. mỡ động vật.
B. dầu thực vật.
C. quả bồ kết, bồ hòn.
D. dầu mỏ.
Lời giải:
Đáp án đúng là: D.
Chất giặt rửa tổng hợp chủ yếu được sản xuất từ dầu mỏ.
Câu 2.7 trang 10 SBT Hóa học 12: Khi cho vài giọt dầu ăn vào dung dịch xà phòng, lắc đều. Hiện tượng quan sát được là
A. dầu ăn không tan và nổi lên trên.
B. dầu ăn không tan và chìm xuống dưới.
C. dầu ăn tan vào dung dịch xà phòng.
D. dầu ăn kết tủa lắng xuống dưới đáy.
Lời giải:
Đáp án đúng là: C.
Khi cho vài giọt dầu ăn vào dung dịch xà phòng, lắc đều. Hiện tượng quan sát được là dầu ăn tan vào dung dịch xà phòng.
Câu 2.8 trang 10 SBT Hóa học 12: Hợp chất nào sau đây được sử dụng làm chất giặt rửa tổng hợp?
A. CH3COONa.
B. CH3[CH2]12COONa.
C. CH3[CH2]12COOCH3.
D. CH3[CH2]11OSO3Na.
Lời giải:
Đáp án đúng là: D.
Chất giặt rửa tổng hợp thường là muối sodium alkylsulfate hoặc alkylbenzene sulfonate.
CH3[CH2]11OSO3Na được dùng làm chất giặt rửa tổng hợp.
Câu 2.9 trang 10 SBT Hóa học 12: Không nên dùng xà phòng khi giặt rửa với nước cứng vì
A. cần dùng lượng nước nhiều hơn.
B. gây ô nhiễm môi trường.
C. ion Ca2+, Mg2+ làm giảm độ bền sợi vải.
D. xuất hiện kết tủa làm giảm tác dụng giặt rửa của xà phòng.
Lời giải:
Đáp án đúng là: D
Không nên dùng xà phòng khi giặt rửa với nước cứng vì xuất hiện kết tủa làm giảm tác dụng giặt rửa của xà phòng.
Câu 2.10 trang 11 SBT Hóa học 12: Khi xà phòng hóa triglyceride X bằng dung dịch NaOH dư, đun nóng, thu được xà phòng gồm hỗn hợp ba muối sodium oleate, sodium stearate và sodium palmitate. Số đồng phân cấu tạo có thể có của X là
A. 2.
B. 1.
C. 3.
D. 4.
Lời giải:
Đáp án đúng là: C.
Số đồng phân cấu tạo có thể có của X là 3:
Câu 2.11 trang 11 SBT Hóa học 12:
a) Xà phòng và chất giặt rửa thường có cấu tạo gồm hai phần: ưa nước và kị nước.
b) Xà phòng hóa tripalmitin với dung dịch NaOH thu được sản phẩm là C15H29COONa và glycerol.
c) Chất giặt rửa tổng hợp thường được điều chế từ chất béo.
d) Mỡ động vật, dầu thực vật là nguyên liệu để sản xuất xà phòng.
Lời giải:
a) Đúng;
b) Sai vì xà phòng hóa tripalmitin với dung dịch NaOH thu được sản phẩm là C15H31COONa và glycerol.
c) Sai vì chất giặt rửa tổng hợp thường được điều chế từ dầu mỏ.
d) Đúng.
Câu 2.12 trang 11 SBT Hóa học 12:
a) Chất giặt rửa thường là muối sodium alkylsulfate hoặc alkylbenzene sulfonate.
b) Phân tử chất giặt rửa gồm một đầu kị nước gắn với một đầu ưa nước.
c) Khi giặt rửa bằng nước cứng nên sử dụng xà phòng.
d) Phản ứng thủy phân chất béo trong môi trường kiềm (NaOH, KOH) thuộc loại phản ứng xà phòng hóa.
Lời giải:
a) Đúng;
b) Đúng;
c) Sai vì xà phòng bị giảm tác dụng khi giặt rửa trong nước cứng.
d) Đúng.
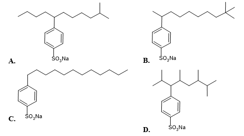
Câu 2.13 trang 11 SBT Hóa học 12: Thông thường, nếu mạch carbon của chất giặt rửa tổng hợp không phân nhánh thì chất tẩy rửa đó dễ phân hủy sinh học hơn so với mạch carbon phân nhánh. Chất tẩy rửa nào sau đây thân thiện với môi trường nhất?
Lời giải:
Đáp án đúng là: C
Vì mạch carbon liên kết với vòng benzene không phân nhánh nên chất tẩy rửa đó dễ phân hủy sinh học hơn so với mạch carbon phân nhánh.
Câu 2.14 trang 12 SBT Hóa học 12:
a) Chất kị nước là những chất không tan trong dầu mỡ, hydrocarbon,…
b) Muối sodium hoặc potassium của carboxylic acid được dùng làm xà phòng.
c) Xà phòng bị giảm hoặc mất tác dụng tẩy rửa khi dùng nước cứng vì gốc acid béo dễ kết tủa với cation Ca2+, Mg2+.
d) Xà phòng, chất giặt rửa tan vào nước tạo dung dịch có sức căng bề mặt nhỏ làm cho vật cần giặt rửa dễ thấm ướt.
Lời giải:
a) Sai vì chất kị nước là những chất tan trong dầu mỡ, hydrocarbon,…
b) Sai vì muối sodium hoặc potassium của carboxylic acid béo mới được dùng làm xà phòng.
c) Đúng;
d) Đúng;
Câu 2.15 trang 12 SBT Hóa học 12: Có 4 ống nghiệm: ống (1) chứa 3 mL nước cất; ống (2) chứa 3 mL nước xà phòng; ống (3) chứa 3 mL nước xà phòng và 3 giọt dung dịch CaCl2 bão hòa; ống (4) chứa 3 mL nước giặt rửa tổng hợp và 3 giọt dung dịch CaCl2 bão hòa. Cho vào mỗi ống nghiệm 3 giọt dầu ăn và lắc đều.
a) Trong ống nghiệm (1), dầu ăn không tan và chìm xuống dưới.
b) Trong ống nghiệm (2), dầu ăn tan tạo hỗn hợp đồng nhất.
c) Trong ống nghiệm (3) có xuất hiện kết tủa.
d) Trong ống nghiệm (4), dầu ăn tan tạo hỗn hợp đồng nhất.
Lời giải:
a) Sai vì dầu ăn nhẹ hơn nước nên nổi lên trên.
b) Đúng vì gốc kị nước của xà phòng hòa tan được dầu ăn tạo tạo hỗn hợp đồng nhất.
c) Đúng vì có phản ứng tạo kết tủa giữa gốc acid béo và ion Ca2+.
d) Đúng vì nước giặt rửa tổng hợp không tạo kết tủa với CaCl2 và hòa tan được CaCl2 tạo hỗn hợp đồng nhất.
Câu 2.16 trang 12 SBT Hóa học 12: Đường ống thoát nước của bồn rửa chén, bát sau khi sử dụng một thời gian có thể bị tắc do chất béo dạng rắn (như glyceryl tristearate (tristearin) có trong mỡ động vật) đọng ở trong đường ống. Để thông tắc, có thể cho một ít NaOH dạng rắn vào đường ống thoát.
a) Giải thích hiện tượng và viết phương trình hóa học của phản ứng xảy ra trong quá trình thông tắc.
b) Nếu dùng 12 g NaOH rắn thì có thể xà phòng hóa tối đa được bao nhiêu gam tristearin?
Lời giải:
a) (C17H35COO)3C3H5 + 3NaOH 3C17H35COONa + C3H5(OH)3
NaOH hòa tan vào nước và tỏa nhiệt làm cho phản ứng xà phòng hóa xảy ra nhanh hơn. Xà phòng tạo thành tan được trong nước làm cho đường ống không bị tắc.
b) Mtristearin = 890
Ta có nNaOH = = 0,3 mol
ntristearin = mtristearin = 0,1.890 = 89 gam
Câu 2.17 trang 12 SBT Hóa học 12: Chỉ số xà phòng hóa là số miligam KOH dùng để trung hòa hết triglyceride và trung hòa hết lượng acid tự do trong 1 gam chất béo. Một chất béo chứa 3,55
Lời giải:
Mstearic acid = 284; Mtristearin = 890
Trong 1 gam chất béo có:
nstearic acid = 1,15.10-4 mol; ntristearin = 0,001 mol
Phương trình hoá học:
C17H35COOH + KOH → C17H35COOK + H2O
(C17H35COO)3C3H5 + 3KOH 3C17H35COOK + C3H5(OH)3
nKOH phản ứng = 1,25.10-4 + 3.0,001 = 0,003125 mol
mKOH = 0,003125.56 = 0,175 gam = 175 mg.
Chỉ số xà phòng hóa của chất béo trên là 175.
Lý thuyết Xà phòng và chất giặt rửa
I. Khái niệm, đặc điểm cấu tạo của xà phòng và chất giặt rửa
– Xà phòng là hỗn hợp muối sodium hoặc potassium của các acid béo và các chất phụ gia. Thành phần chủ yếu của xà phòng thường là muối sodium của palmitic acid hoặc stearic acid.
– Chất giặt rửa tổng hợp là các chất được tổng hợp hóa học, có tác dụng giặt rửa như xà phòng nhưng không phải là muối sodium, potassium của các acid béo. Những chất này thường là muối sodium alkylsulfate hoặc alkylbenzene sulfonate.
– Cấu tạo của xà phòng và chất giặt rửa phổ biến thường gồm hai phần:
+ Phần phân cực (đầu ưa nước): là nhóm carboxylate (xà phòng) hoặc nhóm sulfate, sulfonate (chất giặt rửa tổng hợp). Phần này có thể hòa tan trong nước
+ Phần không phân cực (đuôi kị nước): là gốc hydrocarbon có mạch dài (R). Phần này không tan trong nước.

II. Tính chất giặt rửa
– Khi xà phòng, chất giặt rửa tan vào nước sẽ tạo dung dịch có sức căng bề mặt nhỏ làm cho vật cần giặt rửa dễ thấm ướt. Đuôi kị nước trong xà phòng và chất giặt rửa thâm nhập vào vết bẩn, phân chia vết bẩn thành những hạt rất nhỏ có đầu ưa nước quay ra ngoài các hạt này phân tán vào nước và bị rửa trôi.

III. Phương pháp sản xuất xà phòng và chất giặt rửa
1. Phương pháp sản xuất xà phòng
Xà phòng được sản xuất bằng cách đun chất béo với dung dịch NaOH đặc hoặc KOH đặc (phản ứng xà phòng hóa):

Xà phòng còn được sản xuất từ dầu mỏ theo sơ đồ sau:

2. Phương pháp sản xuất chất giặt rửa tổng hợp
Chất giặt rửa tổng hợp được sản xuất từ dầu mỏ theo sơ đồ sau:

IV. Ứng dụng của xà phòng và chất giặt rửa
– Xà phòng được sử dụng để tắm, rửa tay,… chất giặt rửa tổng hợp được sử dụng để giặt quần áo, rửa chén bát, lau sàn,…
– Chất giặt rửa tổng hợp được sử dụng phổ biến là do: chất giặt rửa dễ hòa tan trong nước hơn xà phòng; chất giặt rửa có thể sử dụng với nước cứng và môi trường acid, ngược lại xà phòng kém tác dụng trong môi trường này.
Xem thêm các bài giải SBT Hóa học lớp 12 Kết nối tri thức hay, chi tiết khác: