Skip to content

Cộng đồng học tập lớp 12

  • Thi đấu
  • Sitemap

Cộng đồng học tập lớp 12

  • Home » 
  • Giải Chuyên đề học tập Vật Lí 12 - Cánh diều

Chuyên đề Vật Lí 12 Cánh diều Bài 1: Các đặc trưng của dòng điện xoay chiều

By Admin Lop12.com 27/02/2025

Giải Chuyên đề Vật Lí 12 Bài 1: Các đặc trưng của dòng điện xoay chiều

Mở đầu trang 6 Chuyên đề Vật Lí 12: Hiện nay, dòng điện xoay chiều được dùng rộng rãi trong sản xuất và đời sống. Chúng ta đã biết mô tả cường độ dòng điện và điện áp xoay chiều bằng các công thức đại số. Ngoài cách này, còn có cách mô tả nào trực quan hơn không?

Lời giải:

Ngoài cách mô tả bằng công thức chúng ta còn có cách mô tả bằng đồ thị trực quan hơn.

I. Mô tả cường độ dòng điện và điện áp xoay chiều bằng đồ thị

Câu hỏi 1 trang 6 Chuyên đề Vật Lí 12: Cường độ dòng điện và điện áp xoay chiều được biểu diễn bằng đồ thị như thế nào?

Lời giải:

Cường độ dòng điện xoay chiều có thể được biểu diễn bằng đồ thị như hình vẽ. Từ đồ thị ta thấy, dòng điện xoay chiều có cường độ biến đổi điều hoà theo thời gian. Trong một nửa chu kì, cường độ dòng điện mang giá trị dương, nửa chu kì còn lại cường độ dòng điện mang giá trị âm. Điện áp xoay chiều cũng được biểu diễn tương tự.

Cường độ dòng điện và điện áp xoay chiều được biểu diễn bằng đồ thị như thế nào

Câu hỏi 2 trang 7 Chuyên đề Vật Lí 12: Một dòng điện xoay chiều có cường độ được mô tả bằng i=5cos100πt−π4A với t được đo bằng s.

a) Tìm cường độ dòng điện cực đại I0, tần số góc ω và chu kì T của dòng điện này.

b) Vẽ phác đồ thị mô tả cường độ dòng điện i theo thời gian t.

Lời giải:

a) Cường độ dòng điện cực đại: I0 = 5 A, tần số góc ω=100πrad/s, chu kì T=2πω=0,02s.

b) Tại thời điểm t = 0 s thì i0 = 2,52A và đang tăng.

Đồ thị mô tả cường độ dòng điện i theo thời gian t.

Một dòng điện xoay chiều có cường độ được mô tả bằng i = 5cos(100πt - π/4)A

Câu hỏi 3 trang 7 Chuyên đề Vật Lí 12: Dựa vào đồ thị Hình 1.2, hãy xác định:

Dựa vào đồ thị Hình 1.2 hãy xác định chu kì T và tần số f của dòng điện i

a) chu kì T và tần số f của dòng điện i.

b) công thức mô tả cường độ dòng điện i theo thời gian t.

Lời giải:

a) Chu kì T = 12 ms, tần số f=1T=112.10−3=83,3Hz

b) Cường độ dòng điện cực đại I0 = 3 mA, tần số góc ω=2πT=2π12.10−3=500π3rad/s

Tại thời điểm ban đầu cường độ dòng điện cực đại và đang giảm nên pha ban đầu φ=0 rad.

Biểu thức cường độ dòng điện: i=3cos500π3tmA

Câu hỏi 4 trang 8 Chuyên đề Vật Lí 12: Ở Hình 1.3, điện áp giữa hai đầu đoạn mạch đổi dấu tại các thời điểm nào?

Ở Hình 1.3 điện áp giữa hai đầu đoạn mạch đổi dấu tại các thời điểm nào

Lời giải:

Điện áp đổi dấu tại vị trí cân bằng, tại các thời điểm T2,T,3T2,…

II. Cường độ hiệu dụng và điện áp hiệu dụng

Câu hỏi 5 trang 8 Chuyên đề Vật Lí 12: Công suất toả nhiệt trung bình trên điện trở R liên hệ như thế nào với công suất cực đại của dòng điện xoay chiều hình sin chạy qua R?

Lời giải:

Công suất toả nhiệt trung bình: p¯=12RI02

Công suất cực đại: Pmax=RI02

Công suất toả nhiệt trung bình trên điện trở R bằng một nửa công suất cực đại của dòng điện xoay chiều hình sin chạy qua R.

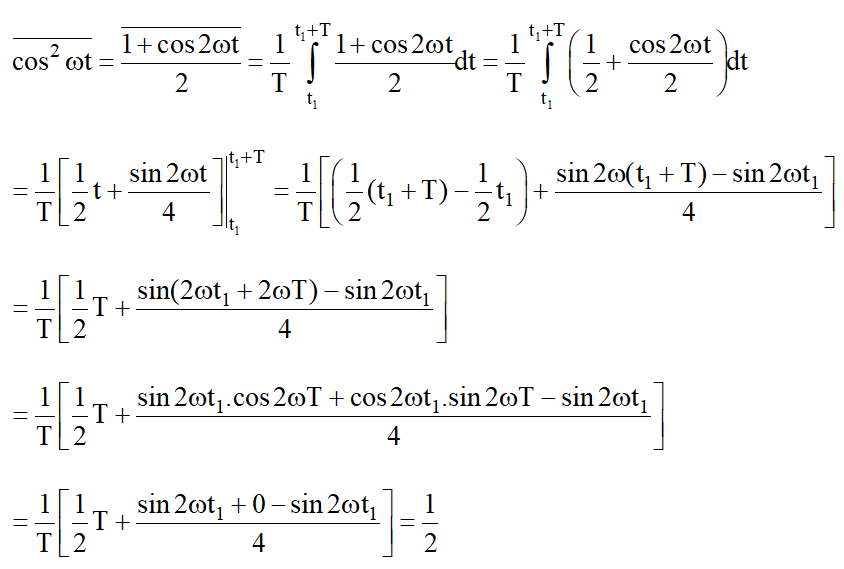
Tìm hiểu thêm trang 9 Chuyên đề Vật Lí 12: Dùng công thức lượng giác cos2α=1+cos2α2 chứng minh rằng cos2ωt¯=12

Lời giải:

Áp dụng công thức lượng giác trên có:

Dùng công thức lượng giác (cos^2)α = (1 + cos2α) / 2 chứng minh

Câu hỏi 6 trang 9 Chuyên đề Vật Lí 12: Phát biểu định nghĩa cường độ hiệu dụng của dòng điện xoay chiều.

Lời giải:

Cường độ hiệu dụng của dòng điện xoay chiều là đại lượng có giá trị bằng cường độ của một dòng điện không đổi, sao cho khi đi qua cùng một điện trở R thì công suất tiêu thụ trong R bởi hai dòng điện đó là như nhau.

Câu hỏi 7 trang 9 Chuyên đề Vật Lí 12: Mạng điện xoay chiều ở Việt Nam có điện áp hiệu dụng là 220 V. Hãy tìm giá trị điện áp cực đại.

Lời giải:

Điện áp cực đại: U0=U2=2202V

Luyện tập 1 trang 10 Chuyên đề Vật Lí 12: Hãy viết công thức điện áp uAN và uMB được biểu diễn ở Hình 1.4.

Hãy viết công thức điện áp uAN và uMB được biểu diễn ở Hình 1.4

Lời giải:

Hai điện áp có cùng chu kì T = 2.10-2 s, tần số góc ω=2πT=100πrad/s

Điện áp cực đại U0AN = 200 V; U0MB = 100 V

Tại thời điểm ban đầu điện áp uAN = 200 V và đang giảm nên pha ban đầu φAN=0rad

Tại thời điểm ban đầu điện áp uMB = 50 V và đang giảm nên pha ban đầu φMB=π3rad

Biểu thức điện áp: uAN=200cos100πtV và uMB=100cos100πt+π3V.

III. Khảo sát đoạn mạch xoay chiều RLC mắc nối tiếp

Luyện tập 2 trang 10 Chuyên đề Vật Lí 12: Cường độ dòng điện cực đại chạy qua điện trở R là 2 A. Biết R = 20 Ω, hãy tính công suất tiêu thụ ở điện trở.

Lời giải:

Công suất tiêu thụ trên điện trở: P=I2R=I022R=222.20=40W.

Thực hành, khám phá trang 11 Chuyên đề Vật Lí 12: Mục đích

Khảo sát được đoạn mạch xoay chiều RLC mắc nối tiếp bằng dụng cụ thực hành và rút ra mối liên hệ giữa U và I.

Khảo sát được đoạn mạch xoay chiều RLC mắc nối tiếp bằng dụng cụ thực hành

Hình 1.6. Mạch điện RLC mắc nối tiếp

Dụng cụ

• Đồng hồ đo điện đa năng (1) và (2).

• Điện trở (3).

• Cuộn dây đồng có lõi thép (4).

• Tụ điện (5).

• Bảng lắp mạch điện và dây dẫn điện.

• Biến áp nguồn (không thể hiện ở hình 1.7)

Phương án thí nghiệm

• Tìm hiểu công dụng của từng dụng RLC mắc nối tiếp cụ đã cho.

• Thiết kế phương án thí nghiệm với các dụng cụ này.

Tiến hành

a) Đo tần số, cường độ và điện áp dòng điện xoay chiều

Khảo sát được đoạn mạch xoay chiều RLC mắc nối tiếp bằng dụng cụ thực hành

Hình 1.7. Bố trí dụng cụ thí nghiệm

• Mắc mạch điện theo sơ đồ Hình 1.6 (đồng hồ đo điện đa năng 1 mắc nối tiếp với R là ampe kế, đồng hồ đo điện đa năng 2 mắc song song với R là vôn kế). Dùng dây dẫn điện nối hai điểm A và B với biến áp nguồn (Hình 1.7).

• Bật biến áp nguồn, vặn núm xoay của đồng hồ đo điện đa năng 2 sang thang đo điện áp xoay chiều. Đọc giá trị UR và ghi kết quả vào vở theo Bảng 1.1.

• Lần lượt mắc đồng hồ đo điện đa năng 2 vào hai đầu cuộn dây, hai đầu tụ điện và hai đầu đoạn mạch để đo điện áp hiệu dụng UL, UC. Đọc các giá trị UL, UC và ghi kết quả vào vở theo Bảng 1.1.

• Vặn núm xoay của đồng hồ đo điện đa năng 2 sang thang đo tần số, đặt hai que đo của đồng hồ này vào hai đầu đoạn mạch. Đọc giá trị tần số và ghi kết quả vào vở theo Bảng 1.1.

Kết quả

Khảo sát được đoạn mạch xoay chiều RLC mắc nối tiếp bằng dụng cụ thực hành

b) Mối liên hệ giữa I và U

• Tiếp tục mắc đồng đồ đo điện đa năng 2 vào hai đầu đoạn mạch RLC mắc nối tiếp. Đọc giá trị UAB và ghi kết quả vào vở theo Bảng 1.2.

• Đọc giá trị IAB trên đồng hồ đo điện đa năng 1 và ghi kết quả vào vở theo bảng 1.2.

Kết quả

Bảng 1.2 là kết quả đo UAB và IAB trong một lần làm thí nghiệm.

UAB (V)

2

4

6

8

10

IAB (mA)

2,32

4,64

6,96

9,28

11,60

UABIAB

?

?

?

?

?

Từ kết quả thí nghiệm ở Bảng 1.2, hãy rút ra mối liên hệ giữa UAB và IAB.

Lời giải:

Bảng 1.2 là kết quả đo UAB và IAB trong một lần làm thí nghiệm.

UAB (V)

2

4

6

8

10

IAB (mA)

2,32

4,64

6,96

9,28

11,60

UABIAB

862,1

862,1

862,1

862,1

862,1

Nhận xét: Từ kết quả của thí nghiệm này và nhiều thí nghiệm khác, ta thấy tỉ số điện áp hiệu dụng giữa hai đầu của đoạn mạch điện xoay chiều RLC (mắc nối tiếp) và cường độ dòng điện hiệu dụng trong đoạn mạch là một hằng số. Hằng số này được gọi là tổng trở của đoạn mạch RLC mắc nối tiếp, kí hiệu là Z.

Câu hỏi 8 trang 11 Chuyên đề Vật Lí 12: Làm thế nào để đo được tần số, cường độ dòng điện hiệu dụng và điện áp hiệu dụng của đoạn mạch điện xoay chiều bằng đồng hồ đo điện đa năng?

Lời giải:

Dùng đồ hồ đo điện đa năng để đo như sau:

Bước 1: Cắm biến áp nguồn vào ổ điện 220 V – 50 Hz. Bật công tắc cho biến áp hoạt động. Vặn núm xoay phía trước để điều chỉnh điện áp đầu ra xoay chiều.

Bước 2: Ấn nút ON/OFF để đồng hồ đo điện đa năng hoạt động, vặn núm xoay để điều chỉnh chế độ đo điện áp xoay chiều.

Bước 3: Cắm hai dây nối của que đo vào đồng hồ đo điện đa năng.

Bước 4: Cắm hai đầu kim nhọn của hai dây nối vào hai lỗ cắm đầu ra của biến áp nguồn. Quan sát số chỉ điện áp hiệu dụng và tần số trên mặt đồng hồ đo. Khi các số chỉ ổn định, ghi lại hai giá trị này vào vở theo mẫu Bảng 1.1. Rút hai đầu kim nhọn ra khỏi biến áp nguồn.

Bước 5: Lặp lại bước 4 hai lần.

Bước 6: Tắt biến áp nguồn và rút phích cắm khỏi ổ điện. Tắt đồng hồ đo.

Làm thế nào để đo được tần số cường độ dòng điện hiệu dụng và điện áp

Câu hỏi 9 trang 11 Chuyên đề Vật Lí 12: Dựa trên các dụng cụ ở trường của mình, hãy thiết kế phương án thí nghiệm đo tần số, cường độ dòng điện hiệu dụng và điện áp hiệu dụng trong một đoạn mạch điện xoay chiều mắc nối tiếp như Hình 1.6.

Dựa trên các dụng cụ ở trường của mình hãy thiết kế phương án thí nghiệm đo

Lời giải:

Dựa vào mạch điện trên các em hãy tự thiết kế phương án thí nghiệm dựa vào dụng cụ có sẵn ở phòng thí nghiệm trong trường học.

Tìm hiểu thêm trang 13 Chuyên đề Vật Lí 12: Tìm hiểu các thang đo điện áp hiệu dụng, cường độ dòng điện hiệu dụng và tần số dòng điện xoay chiều của đồng hồ đo điện đa năng.

Khi dùng đồng hồ đo điện đa năng để đo cường độ dòng điện, điện áp và tần số của dòng điện xoay chiều, cần lưu ý gì về vị trí của núm xoay thay đổi thang đo và chốt cắm của hai que đo ở Hình 1.8.

Tìm hiểu các thang đo điện áp hiệu dụng cường độ dòng điện hiệu dụng và tần số

Lời giải:

Vị trí múm xoay cần xoay đúng thang đo, chọn thang đo có giới hạn đo phù hợp.

Vận dụng trang 13 Chuyên đề Vật Lí 12: Thảo luận, đề xuất phương án và thực hiện phương án đã đề xuất để đo cường độ dòng điện hiệu dụng, điện áp hiệu dụng và tần số của đoạn mạch điện xoay chiều RLC mắc nối tiếp bằng các dụng cụ ở trường của bạn.

Lời giải:

Học sinh tự tiến hành thí nghiệm với các dụng cụ ở trường.

Xem thêm các bài Chuyên đề học tập Vật Lí 12 Cánh diều hay, chi tiết khác:

Bài 1: Các đặc trưng của dòng điện xoay chiều

Bài 2: Máy biến áp và chỉnh lưu dòng điện xoay chiều

Bài 1: Tia X và tạo ảnh bằng tia X

Bài 2: Siêu âm và cộng hưởng từ

Bài 1: Năng lượng photon và hiệu ứng quang điện

Bài 2: Quang phổ vạch của nguyên tử

Tags : Tags 1. SBT Vật lí 12 Bài 40: Các hạt sơ cấp | Giải SBT Vật Lí lớp 12
Share
facebookShare on Facebook

Bài liên quan

Chuyên đề Vật Lí 12 Cánh diều Bài 2: Máy biến áp và chỉnh lưu dòng điện xoay chiều

Chuyên đề Vật Lí 12 Cánh diều Bài 1: Tia X và tạo ảnh bằng tia X

Chuyên đề Vật Lí 12 Cánh diều Bài 2: Siêu âm và cộng hưởng từ

Chuyên đề Vật Lí 12 Cánh diều Bài 1: Năng lượng photon và hiệu ứng quang điện

Chuyên đề Vật Lí 12 Cánh diều Bài 2: Quang phổ vạch của nguyên tử

Chuyên đề Vật Lí 12 Cánh diều Bài 3: Lưỡng tính sóng hạt và vùng năng lượng

Mục lục

  1. Chuyên đề Vật Lí 12 Cánh diều Bài 2: Máy biến áp và chỉnh lưu dòng điện xoay chiều
  2. Chuyên đề Vật Lí 12 Cánh diều Bài 1: Tia X và tạo ảnh bằng tia X
  3. Chuyên đề Vật Lí 12 Cánh diều Bài 2: Siêu âm và cộng hưởng từ
  4. Chuyên đề Vật Lí 12 Cánh diều Bài 1: Năng lượng photon và hiệu ứng quang điện
  5. Chuyên đề Vật Lí 12 Cánh diều Bài 2: Quang phổ vạch của nguyên tử
  6. Chuyên đề Vật Lí 12 Cánh diều Bài 3: Lưỡng tính sóng hạt và vùng năng lượng

  • Quên mật khẩu
  • Login
  • Đăng ký
Copyright © 2025 Cộng đồng học tập lớp 12
Back to Top
Menu
  • Thi đấu
  • Sitemap
Tài khoản

  • Lost your password ?