Skip to content

Cộng đồng học tập lớp 12

  • Thi đấu
  • Sitemap

Cộng đồng học tập lớp 12

  • Home » 
  • Giải Chuyên đề học tập Toán 12 - Chân trời

Chuyên đề Toán 12 Chân trời sáng tạo Bài 2: Phân bố Bernoulli và phân bố nhị thức

By Admin Lop12.com 20/02/2025

Giải Chuyên đề Toán 12 Bài 2: Phân bố Bernoulli và phân bố nhị thức

Khởi động trang 64 Chuyên đề Toán 12: Một loại hạt giống có xác suất nảy mầm là 0,9. Bác Hoan gieo 100 hạt giống đó một cách độc lập với nhau. Có người cho rằng “Trong 100 hạt giống bác Hoan gieo sẽ có đúng 90 hạt nảy mầm”. Nhận định đó là đúng hay sai?

Khởi động trang 64 Chuyên đề Toán 12 Chân trời sáng tạo

Lời giải:

Nhận định đó là sai.

1. Phân bổ Bernoulli

Khám phá 1 trang 64 Chuyên đề Toán 12: Thuyền trưởng Vinh gửi một tín hiệu vô tuyến từ thuyền đến trạm điều khiển. Xác suất để trạm điều khiển thu được tín hiệu vô tuyến là 0,8. Gọi X là số tín hiệu vô tuyến của thuyền trưởng Vinh được thu bởi trạm điều khiển. Hãy tính kì vọng và phương sai của X.

Lời giải:

Khi trạm điều khiển thu được tín hiệu vô tuyến thì số tín hiệu vô tuyến của thuyền trưởng Vinh được thu bởi trạm điều khiển là 1.

Khi trạm điều khiển không thu được tín hiệu vô tuyến thì số tín hiệu vô tuyến của thuyền trưởng Vinh được thu bởi trạm điều khiển là 0.

Tập các giá trị của X là {0; 1}.

Xác suất để trạm điều khiển không thu được tín hiệu vô tuyến là 1 – 0,8 = 0,2.

Ta có bảng phân bố xác suất của X là:

X

0

 1

P

0,2

0,8

Kì vọng của X là:

E(X) = 0 . 0,2 + 1 . 0,8 = 0,8.

Phương sai của X là:

V(X) = 02 . 0,2 + 12 . 0,8 = 0,8.

Thực hành 1 trang 65 Chuyên đề Toán 12: Trong các biến ngẫu nhiên rời rạc sau, biến ngẫu nhiên rời rạc nào có phân bố Bernoulli? Xác định giá trị của tham số p và tính độ lệch chuẩn của các biến ngẫu nhiên rời rạc có phân bố Bernoulli đó.

a) X là số mặt 6 chấm xuất hiện khi gieo một con xúc xắc cân đối và đồng chất.

b) Gieo 2 con xúc xắc cân đối và đồng chất. Biến ngẫu nhiên rời rạc Y nhận giá trị bằng 1 nếu xuất hiện mặt 6 chấm, bằng 0 nếu không xuất hiện mặt nào 6 chấm.

c) Gieo 1 con xúc xắc cân đối và đồng chất, gọi Z là số dư khi chia số chấm xuất hiện cho 2.

d) Gieo 1 con xúc xắc cân đối và đồng chất, gọi T là số dư khi chia số chấm xuất hiện cho 3.

Lời giải:

a) X nhận hai giá trị là: 0; 1.

Chỉ có 1 kết quả thuận lợi cho biến cố “X = 1” trong tổng số 6 kết quả xảy ra nên PX=1=16.

Vậy X có phân bố Bernoulli với tham số p=16.

Phương sai của X là: VX=16⋅1−16=536.

Độ lệch chuẩn của X là: σX=VX=536=56.

b) Y nhận hai giá trị là: 0; 1.

Vì có 7 kết quả thuận lợi cho biến cố “Y bằng 1” trong tổng số 36 kết quả nên PY=1=736.

Vậy Y có phân bố Bernoulli với tham số p=736.

Phương sai của Y là: VY=736⋅1−736=2031  296.

Độ lệch chuẩn của Y là: σY=VY=2031  296=20336.

c) Z nhận hai giá trị là: 0; 1.

Vì có 3 kết quả thuận lợi cho biến cố “Z bằng 1” trong tổng số 6 kết quả nên PZ=1=36=12.

Vậy Z có phân bố Bernoulli với tham số p=12.

Phương sai của Z là: VZ=12⋅1−12=14.

Độ lệch chuẩn của Z là: σZ=VZ=14=12.

d) T nhận ba giá trị là: 0; 1 và 2 nên T không có phân bố Bernoulli.

2. Phép thử lặp và công thức Bernoulli

Khám phá 2 trang 66 Chuyên đề Toán 12: Xét phép thử ngẫu nhiên T là “Gieo một đồng xu cân đối và đồng chất”. Hãy liệt kê tất cả các kết quả có thể xảy ra khi thực hiện phép thử T ba lần liên tiếp một cách độc lập.

Lời giải:

Tập hợp tất cả các kết quả có thể xảy ra khi thực hiện phép thử T ba lần liên tiếp một cách độc lập là: {1 – S; 1 – N; 2 – S; 2 – N; 3 – S; 3 – N}, trong đó chẳng hạn 1 – S là lần 1 đồng xu xuất hiện mặt sấp.

Thực hành 2 trang 67 Chuyên đề Toán 12: Trong Hoạt động khởi động (trang 64), hãy tính xác suất của biến cố “Trong 100 hạt giống bác Hoan gieo, có đúng 90 hạt nảy mầm”.

Lời giải:

Gọi T là phép thử “Gieo ngẫu nhiên một hạt giống”. Theo đề bài, phép thử T được lặp lại 100 lần một cách độc lập. Gọi A là biến cố “Hạt giống nảy mầm”. Ta có P(A) = 0,9.

Gọi Ak là biến cố “Có k hạt giống nảy mầm trong 100 hạt giống được gieo”, với k = 0, 1, …, 100. Áp dụng công thức Bernoulli, ta có:

PAk=C100k⋅0,9k⋅1−0,9100−k, với k = 0, 1, …, 100.

Gọi B là biến cố “Trong 100 hạt giống bác Hoan gieo, có đúng 90 hạt nảy mầm”.

Do đó, PB=PA90=C10090⋅0,990⋅1−0,9100−90≈0,132.

Thực hành 3 trang 67 Chuyên đề Toán 12: Tỉ lệ người lao động có bằng đại học ở một khu công nghiệp là 30

A: “Có đúng 3 trong 10 người được phỏng vấn có bằng đại học”;

B: “Có ít nhất 1 trong 10 người được phỏng vấn có bằng đại học”.

Lời giải:

Gọi T là phép thử “Phỏng vấn ngẫu nhiên một người lao động từ khi công nghiệp”. Theo đề bài, phép thử T được lặp lại 10 lần một cách độc lập. Gọi X là biến cố “Người lao động có bằng đại học”. Ta có P(X) = 30

Gọi Xk là biến cố “Có k người có bằng đại học trong 10 người lao động được phỏng vấn”, với k = 0, 1, …, 10. Áp dụng công thức Bernoulli, ta có:

PXk=C10k⋅0,3k⋅1−0,310−k, với k = 0, 1, …, 10.

Do đó, PA=PX3=C103⋅0,33⋅1−0,310−3≈0,267.

Ta có PB=PXk|k≥1=1−PX0=1−C100⋅0,30⋅1−0,310−0≈1−0,028=0,972.

3. Phân bổ nhị thức

Khám phá 3 trang 67 Chuyên đề Toán 12: Một công ty dược nhận thấy xác suất một bệnh nhân có phản ứng phụ khi được điều trị bằng một loại thuốc M là 0,08. Chọn ngẫu nhiên 10 000 bệnh nhân được điều trị một cách độc lập bằng thuốc M. Gọi X là số bệnh nhân có phản ứng phụ trong 10 000 bệnh nhân đó. Hãy viết biểu thức tính kì vọng của X.

Lời giải:

Gọi T là phép thử “Chọn ngẫu nhiên một bệnh nhân”. Theo đề bài, phép thử T được lặp lại 10 000 lần một cách độc lập. Gọi A là biến cố “Bệnh nhân có phản ứng phụ với thuốc M”. Ta có P(A) = 0,08.

Gọi Xk là biến cố “Có k bệnh nhân có phản ứng phụ trong 10 000 bệnh nhân đó”, với k = 0, 1, …, 10 000. Áp dụng công thức Bernoulli, ta có:

PX=k=C10  000k⋅0,08k⋅1−0,0810  000−k=C10  000k⋅0,08k⋅0,9210  000−k, với k = 0, 1, 2, …, 10 000.

Kì vọng của X là:

E(X) = 0 . P(X = 0) + 1 . P(X = 1) + … + k . P(X = k) + … + 10 000 . P(X = 10 000)

=0⋅C10  0000⋅0,080⋅0,9210  000−0+1⋅C10  0001⋅0,081⋅0,9210  000−1

+…+k⋅C10  000k⋅0,08k⋅0,9210  000−k+…+10  000⋅C10  00010  000⋅0,0810  000⋅0,9210  000−10  000.

Thực hành 4 trang 70 Chuyên đề Toán 12: Tính kì vọng của X ở Hoạt động khám phá 3 (trang 67).

Lời giải:

Gọi T là phép thử “Chọn ngẫu nhiên một bệnh nhân”. Theo đề bài, phép thử T được lặp lại 10 000 lần một cách độc lập. Gọi A là biến cố “Bệnh nhân có phản ứng phụ với thuốc M”. Ta có P(A) = 0,08.

Do phép thử T được thực hiện 10 000 lần một cách độc lập với nhau và xác suất xảy ra biến cố A trong mỗi lần thử đều bằng 0,08 nên X là biến cố ngẫu nhiên rời rạc có phân bố nhị thức B(10 000; 0,08).

Do đó, kì vọng của X là:

E(X) = 10 000 . 0,08 = 800.

Thực hành 5 trang 70 Chuyên đề Toán 12: Cho biến ngẫu nhiên rời rạc X có phân bố nhị thức B(5; 0,2).

a) Tính xác suất của biến cố “X lớn hơn 3”.

b) Tính kì vọng và độ lệch chuẩn của X.

Lời giải:

Ta có PX=k=C5k⋅0,2k⋅1−0,25−k=C5k⋅0,2k⋅0,85−k, với k = 0, 1, 2, 3, 4, 5.

Lần lượt tính P(X = k) với k = 0, 1, 2, 3, 4, 5 từ công thức trên, ta thu được bảng phân bố xác suất của X như sau:

Thực hành 5 trang 70 Chuyên đề Toán 12 Chân trời sáng tạo

a) Xác suất của biến cố “X lớn hơn 3” là:

PX>3=PX=4+PX=5=4625+13  125=213  125.

b) Kì vọng của X là:

EX=0⋅1  0243  125+1⋅256625+2⋅128625+3⋅32625+4⋅4625+5⋅13  125=1.

Phương sai của X là:

VX=02⋅1  0243  125+12⋅256625+22⋅128625+32⋅32625+42⋅4625+52⋅13  125−12=45.

Độ lệch chuẩn của X là:

σX=VX=45=255.

Chú ý: Ta cũng có thể tính kì vọng và phương sai của X như sau:

E(X) = np = 5 . 0,2 = 1 và V(X) = np(1 – p) = 5 . 0,2 . (1 – 0,2) = 0,8.

Do đó độ lệch chuẩn của X là: σX=VX=0,8=255.

Vận dụng trang 70 Chuyên đề Toán 12: Vào đầu mùa đông, trang trại A lắp mới 10 bóng đèn để sưởi ấm cho gà. Các bóng đèn hoạt động độc lập với nhau và sẽ được bật liên tục trong mùa đông. Bóng bị hỏng không được thay thế. Xác suất không bị hỏng trong cả mùa đông của mỗi bóng đều bằng 0,8. Đàn gà sẽ đủ ấm nếu có ít nhất 7 bóng đèn hoạt động.

a) Tính xác suất của biến cố “Đàn gà đủ ấm trong suốt mùa đông”.

b) Nếu người ta mua dự trữ thêm 1 bóng đèn loại rất tốt, chắc chắn có thể sử dụng hết cả mùa đông, và sẽ sử dụng nó thay thế cho bóng đèn đầu tiên bị hỏng trong 10 bóng đèn ban đầu, thì xác suất của biến cố “Đàn gà đủ ấm trong suốt mùa đông” là bao nhiêu?

Lời giải:

Gọi T là phép thử “Lắp ngẫu nhiên một bóng đèn” và A là biến cố “Bóng đèn A hoạt động”. Gọi X là số lần xảy ra biến cố A khi lặp lại 10 lần phép thử T.

Do phép thử T được thực hiện 10 lần một cách độc lập với nhau và xác suất của biến cố A trong mỗi lần thử đều bằng 0,8 nên X là biến cố ngẫu nhiên rời rạc có phân bố nhị thức B(10; 0,8). Do đó:

PX=k=C10k⋅0,8k⋅1−0,810−k=C10k⋅0,8k⋅0,210−k, với k = 0, 1, …, 10.

a) Do đàn gà sẽ đủ ấm suốt mùa đông nếu có ít nhất 7 bóng đèn hoạt động nên ta có:

P(X ≥ 7) = P(X = 7) + P(X = 8) + P(X = 9) + P(X = 10)

                ≈ 0,201 + 0,302 + 0,268 + 0,107 = 0,878.

b) Theo bài, có một bóng đèn loại rất tốt chắc chắn có thể sử dụng hết cả mùa đông và sẽ sử dụng nó thay thế cho bóng đèn đầu tiên bị hỏng trong 10 bóng đèn ban đầu nên để đàn gà đủ ấm suốt mùa đông nếu có ít nhất 6 bóng đèn hoạt động.

Do đó ta có:

P(X ≥ 6) = P(X = 6) + P(X = 7) + P(X = 8) + P(X = 9) + P(X = 10)

                ≈ 0,088 + 0,201 + 0,302 + 0,268 + 0,107 = 0,966.

Bài tập

Bài 1 trang 70 Chuyên đề Toán 12: Một hộp chứa 10 tấm thẻ cùng loại được đánh số từ 1 đến 10. Trong các biến ngẫu nhiên rời rạc dưới đây, biến ngẫu nhiên rời rạc nào có phân bố nhị thức?

a) Lấy ra ngẫu nhiên đồng thời 3 thẻ từ hộp và gọi X là số các thẻ ghi số chẵn trong 3 thẻ đó.

b) Lấy ra ngẫu nhiên đồng thời 3 thẻ từ hộp và gọi Y là số các thẻ ghi số chia hết cho 5 trong 3 thẻ đó.

c) Lấy ra 1 thẻ từ hộp, xem số rồi trả thẻ lại hộp. Lặp lại phép thử trên thêm 2 lần một cách độc lập và gọi Z là số thẻ ghi số chẵn trong các thẻ lấy ra.

Lời giải:

a) X không phải là phân bố nhị thức.

b) Y không phải là phân bố nhị thức.

c) Gọi T là phép thử “Lấy ngẫu nhiên một thẻ từ hộp” và C là biến cố “Số ghi trên thẻ là số chẵn”. Z là số lần xảy ra biến cố C khi lặp 3 lần phép thử T.

Do phép thử T được lặp lại 3 lần độc lập với nhau (vì sau mỗi lần thử, thẻ được trả lại hộp nên không làm ảnh hưởng đến kết quả của các lần thử khác). Và xác suất xảy ra biến cố C trong mỗi lần thử đều bằng 510=12 nên Z là biến ngẫu nhiên rời rạc có phân bố nhị thức B3;12.

Bài 2 trang 70 Chuyên đề Toán 12: Tỉ lệ người có nhóm máu O trong một cộng đồng là 40

a) Tính xác suất để có đúng 3 người được chọn có nhóm máu O.

b) Tính xác suất để có từ 3 đến 5 người được chọn có nhóm máu O.

c) Gọi X là số người có nhóm máu O trong 8 người được chọn. Tính kì vọng và phương sai của X.

Lời giải:

Gọi T là phép thử “Chọn ngẫu nhiên một người”. Theo đề bài, phép thử T được lặp lại 8 lần một cách độc lập. Gọi A là biến cố “Người đó có nhóm máu O”. Ta có P(A) = 40

Gọi X là số người có nhóm máu O trong 8 người được chọn.

Do phép thử T được thực hiện 8 lần một cách độc lập với nhau và xác suất xảy ra biến cố A trong mỗi lần thử đều bằng 0,4 nên X là biến cố ngẫu nhiên rời rạc có phân bố nhị thức B(8; 0,4). Do đó:

PX=k=C8k⋅0,4k⋅1−0,48−k=C8k⋅0,4k⋅0,68−k, với k = 0, 1, …, 8.

a) Xác suất để có đúng 3 người được chọn có nhóm máu O là:

PX=3=C83⋅0,43⋅0,68−3≈0,279.

b) Xác suất để có từ 3 đến 5 người được chọn có nhóm máu O là:

P3≤X≤5=PX=3+PX=4+PX=5

=C83⋅0,43⋅0,68−3+C84⋅0,44⋅0,68−4+C85⋅0,45⋅0,68−5

≈ 0,279 + 0,232 + 0,124 = 0,635.

c) Kì vọng của X là: E(X) = np = 8 . 0,4 = 3,2.

Phương sai của X là: V(X) = np(1 – p) = 8 . 0,4 . (1 – 0,4) = 1,92.

Bài 3 trang 70 Chuyên đề Toán 12: Có 60

a) Tính xác suất để có đúng 4 tài xế thường xuyên nghe tin tức giao thông trên đài.

b) Tính xác suất để có ít nhất 5 tài xế thường xuyên nghe tin tức giao thông trên đài.

Lời giải:

Gọi T là phép thử “Chọn ngẫu nhiên một tài xế”. Theo đề bài, phép thử T được lặp lại 6 lần một cách độc lập. Gọi A là biến cố “Tài xế đó thường xuyên nghe tin tức giao thông trên đài khi lái xe”. Ta có P(A) = 60

Gọi X là số tài xế thường xuyên nghe tin tức giao thông trên đài khi lái xe.

Do phép thử T được thực hiện 6 lần một cách độc lập với nhau và xác suất xảy ra biến cố A trong mỗi lần thử đều bằng 0,6 nên X là biến cố ngẫu nhiên rời rạc có phân bố nhị thức B(6; 0,6). Do đó:

PX=k=C6k⋅0,6k⋅1−0,66−k=C6k⋅0,6k⋅0,46−k, với k = 0, 1, …, 6.

a) Xác suất để có đúng 4 tài xế thường xuyên nghe tin tức giao thông trên đài là:

PX=4=C64⋅0,64⋅0,46−4=0,31104.

b) Xác suất để có ít nhất 5 tài xế thường xuyên nghe tin tức giao thông trên đài là:

PX≥5=PX=5+PX=6 =C65⋅0,65⋅0,46−5+C66⋅0,66⋅0,46−6

= 0,186624 + 0,046656 = 0,23328.

Bài 4 trang 70 Chuyên đề Toán 12: Tỉ lệ phát bóng hỏng của một vận động viên bóng chuyền là 15

a) Tính kì vọng và phương sai của X.

b) Hỏi xác suất X nhận giá trị bằng bao nhiêu là lớn nhất?

Lời giải:

Gọi T là phép thử “Vận động viên phát ngẫu nhiên một quả bóng”. Theo đề bài, phép thử T được lặp lại 40 lần một cách độc lập. Gọi A là biến cố “Quả bóng bị phát hỏng”. Ta có P(A) = 15

Do phép thử T được thực hiện 40 lần một cách độc lập với nhau và xác suất xảy ra biến cố A trong mỗi lần thử đều bằng 0,15 nên X là biến cố ngẫu nhiên rời rạc có phân bố nhị thức B(40; 0,15).

a) Kì vọng của X là: E(X) = np = 40 . 0,15 = 6.

Phương sai của X là: V(X) = np(1 – p) = 40 . 0,15 . (1 – 0,15) = 5,1.

b) Ta có:

PX=k=C40k⋅0,15k⋅1−0,1540−k (với k = 0, 1, …, 40)

=C40k⋅0,15k⋅0,8540−k=C40k⋅0,150,85k⋅0,8540=C40k⋅317k⋅0,8540.

Khi đó: PX=k+1=C40k+1⋅317k+1⋅0,8540 với k = 0, 1, …, 39.

⦁ Trường hợp 1. Nếu P(X = k) > P(X = k + 1) thì ta có:

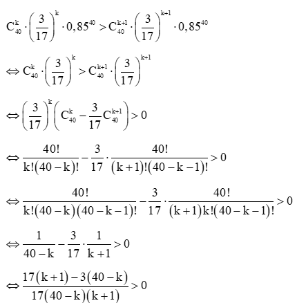
Bài 4 trang 70 Chuyên đề Toán 12 Chân trời sáng tạo

⇔ 17k + 17 – 120 + 3k > 0 (do 40 – k > 0)

⇔ 20k > 103

⇔k>10320=5,15

Mà k ∈ {0; 1; …; 40} nên k ∈ {6; 7; …; 50}.

Khi đó P(X = 6) > P(X = 7) > … > P(X = 40).

⦁ Trường hợp 2. Nếu P(X = k) < P(X = k + 1) thì tương tự trường hợp 1, ta có: k < 5,15.

Mà k ∈ {0; 1; …; 39} nên k ∈ {0; 1; ..; 5}.

Khi đó P(X = 0) < P(X = 1) < … < P(X = 5).

⦁ Xét PX=5=C405⋅3175⋅0,8540≈0,169;

        PX=6=C406⋅3176⋅0,8540≈0,174.

Do đó P(X = 5) < P(X = 6).

Suy ra P(X = 0) < P(X = 1) < … < P(X = 5) < P(X = 6) > P(X = 7) > … > P(X = 40).

Vì vậy, P(X = 6) có giá trị lớn nhất.

Vậy xác suất X nhận giá trị bằng 6 là lớn nhất.

Xem thêm các bài giải Chuyên đề học tập Toán 12 Chân trời sáng tạo hay, chi tiết khác:

Bài 3: Đầu tư tài chính. Lập kế hoạch tài chính cá nhân

Bài tập cuối chuyên đề 2

Bài 1: Biến ngẫu nhiên rời rạc

Bài 2: Phân bố Bernoulli và phân bố nhị thức

Bài tập cuối chuyên đề 3

Tags : Tags 1. Giải sgk Toán 12 Kết nối tri thức | Giải bài tập Toán 12 Kết nối tri thức Tập 1   chi tiết)   Tập 2 (hay
Share
facebookShare on Facebook

Bài liên quan

Giải Chuyên đề Toán 12 Chân trời sáng tạo | Chuyên đề học tập Toán 12 Chân trời sáng tạo (hay, ngắn gọn)

Chuyên đề Toán 12 Chân trời sáng tạo Bài 1: Bài toán quy hoạch tuyến tính

Chuyên đề Toán 12 Chân trời sáng tạo Bài 2: Vận dụng đạo hàm giải bài toán tối ưu

Chuyên đề Toán 12 Chân trời sáng tạo Bài tập cuối chuyên đề 1 trang 21

Chuyên đề Toán 12 Chân trời sáng tạo Bài 1: Tiền tệ. Lãi suất

Chuyên đề Toán 12 Chân trời sáng tạo Bài 2: Tín dụng. Vay nợ

Chuyên đề Toán 12 Chân trời sáng tạo Bài 3: Đầu tư tài chính. Lập kế hoạch tài chính cá nhân

Chuyên đề Toán 12 Chân trời sáng tạo Bài tập cuối chuyên đề 2 trang 50

Mục lục

  1. Giải Chuyên đề Toán 12 Chân trời sáng tạo | Chuyên đề học tập Toán 12 Chân trời sáng tạo (hay, ngắn gọn)
  2. Chuyên đề Toán 12 Chân trời sáng tạo Bài 1: Bài toán quy hoạch tuyến tính
  3. Chuyên đề Toán 12 Chân trời sáng tạo Bài 2: Vận dụng đạo hàm giải bài toán tối ưu
  4. Chuyên đề Toán 12 Chân trời sáng tạo Bài tập cuối chuyên đề 1 trang 21
  5. Chuyên đề Toán 12 Chân trời sáng tạo Bài 1: Tiền tệ. Lãi suất
  6. Chuyên đề Toán 12 Chân trời sáng tạo Bài 2: Tín dụng. Vay nợ
  7. Chuyên đề Toán 12 Chân trời sáng tạo Bài 3: Đầu tư tài chính. Lập kế hoạch tài chính cá nhân
  8. Chuyên đề Toán 12 Chân trời sáng tạo Bài tập cuối chuyên đề 2 trang 50
  9. Chuyên đề Toán 12 Chân trời sáng tạo Bài 1: Biến ngẫu nhiên rời rạc
  10. Chuyên đề Toán 12 Chân trời sáng tạo Bài tập cuối chuyên đề 3 trang 71

  • Quên mật khẩu
  • Login
  • Đăng ký
Copyright © 2025 Cộng đồng học tập lớp 12
Back to Top
Menu
  • Thi đấu
  • Sitemap
Tài khoản

  • Đăng ký
  • Lost your password ?