Skip to content

Cộng đồng học tập lớp 12

  • Thi đấu
  • Sitemap

Cộng đồng học tập lớp 12

  • Home » 
  • Giải Chuyên đề học tập Hóa học 12 - Chân trời

Chuyên đề Hóa 12 Chân trời sáng tạo Bài 2: Một số cơ chế phản ứng trong hoá học hữu cơ

By Admin Lop12.com 01/03/2025

Giải Chuyên đề Hóa 12 Bài 2: Một số cơ chế phản ứng trong hoá học hữu cơ

Khởi động trang 10 Chuyên đề Hóa học 12: Hiểu rõ cơ chế phản ứng hoá học hữu cơ rất quan trọng cho việc nghiên cứu hoá học hữu cơ. Điều này dựa trên sự hiểu biết về chất phản ứng, tác nhân và điều kiện phản ứng. Làm sao để viết được cơ chế phản ứng của một số phản ứng hoá học hữu cơ phổ biến?

Lời giải:

Để viết được cơ chế phản ứng của một số phản ứng hoá học hữu cơ phổ biến phải:

– Nắm vững được các khái niệm: tác nhân electrophile, tác nhân nucleophile …

– Trình bày được một số cơ chế phản ứng trong hoá học hữu cơ như: cơ chế thế gốc SR (vào carbon no của alkane), cơ chế cộng electrophile AE (vào liên kết đôi C=C của alkene), cơ chế thế electrophile SEAr (vào nhân thơm), cơ chế thế nucleophile SN1, SN2 (phản ứng thuỷ phân dẫn xuất halogen), cơ chế cộng nucleophile AN (vào hợp chất carbonyl)…

– Hiểu được sự tạo thành sản phẩm và hướng của một số phản ứng (cơ chế thế gốc SR vào carbon no của alkane và cơ chế cộng electrophile AE vào liên kết đôi C = C của alkene theo quy tắc cộng Markovnikov).

1. Tác nhân electrophile và nucleophile

Câu hỏi thảo luận 1 trang 10 Chuyên đề Hóa học 12: Phân biệt chất phản ứng và tác nhân phản ứng.

Lời giải:

Xét phản ứng hữu cơ tổng quát:

Chất phản ứng + Tác nhân phản ứng → Sản phẩm

Trong phản ứng hoá học hữu cơ, chất phức tạp hơn thường được gọi là chất phản ứng; chất hữu cơ đơn giản hơn hoặc chất vô cơ thường được gọi là tác nhân phản ứng.

Luyện tập trang 11 Chuyên đề Hóa học 12: Xác định tác nhân nucleophile hoặc electrophile trong các phản ứng sau:

Xác định tác nhân nucleophile hoặc electrophile trong các phản ứng sau

Lời giải:

– Tác nhân electrophile là tác nhân có ái lực với electron, chúng thường là các tiểu phân mang điện tích dương (như H+,Br+,N+O2,…) hoặc có trung tâm mang một phần điện tích dương (như Cδ+H3−Brδ−,…)

– Tác nhân nucleophile là tác nhân có ái lực với hạt nhân, chúng thường là các tiểu phân mang điện tích âm (như Cl−,HO−,CN−,…) hoặc có cặp electron hoá trị tự do (như H2O, CH3OH, …)

Như vậy:

– Trong phản ứng (1) H+ là tác nhân electrophile;

– Trong phản ứng (2) −OH là tác nhân nucleophile.

2. Một số cơ chế phản ứng trong hoá học hữu cơ

Câu hỏi thảo luận 2 trang 11 Chuyên đề Hóa học 12: Xác định các gốc tự do tạo thành trong phản ứng của methane với chlorine.

Lời giải:

Xét phản ứng của methane với chlorine:

CH4+Cl2→asmtCH3Cl+HCl

Phản ứng trên xảy ra theo cơ chế thế gốc tự do (SR) gồm 3 giai đoạn:

Giai đoạn khơi mào: Cl2→asmt2C•

Giai đoạn phát triển mạch:

Xác định các gốc tự do tạo thành trong phản ứng của methane với chlorine

Giai đoạn tắt mạch:

Xác định các gốc tự do tạo thành trong phản ứng của methane với chlorine

Vậy các gốc tự do tạo thành trong phản ứng của methane với chlorine là: Xác định các gốc tự do tạo thành trong phản ứng của methane với chlorine

Câu hỏi thảo luận 3 trang 11 Chuyên đề Hóa học 12: Dự đoán các gốc tự do tạo thành khi cho propane tác dụng với bromine tạo thành dẫn xuất monobromo. So sánh độ bền của các gốc tự do này.

Lời giải:

* Cơ chế phản ứng: Phản ứng trên xảy ra theo cơ chế thế gốc (SR), gồm ba giai đoạn chính như sau:

– Giai đoạn khơi mào phản ứng:

Br−Br→to2B•

– Giai đoạn phát triển mạch phản ứng:

Dự đoán các gốc tự do tạo thành khi cho propane tác dụng với bromine

…..

– Giai đoạn tắt mạch phản ứng:

Dự đoán các gốc tự do tạo thành khi cho propane tác dụng với bromine

* Như vậy, các gốc tự do được tạo thành: Dự đoán các gốc tự do tạo thành khi cho propane tác dụng với bromine

Độ bền của gốc tự do phụ thuộc vào bậc của nguyên tử carbon chứa electron độc thân.

Ta có độ bền của các gốc tự do này như sau:

Dự đoán các gốc tự do tạo thành khi cho propane tác dụng với bromine

Luyện tập trang 12 Chuyên đề Hóa học 12: Trình bày cơ chế phản ứng khi cho ethylene tác dụng với HBr, với H2O (xúc tác H+).

Lời giải:

* Phản ứng khi cho ethylene tác dụng với HBr:

CH2 = CH2 + HBr → CH3 – CH2Br

Cơ chế phản ứng:

Trình bày cơ chế phản ứng khi cho ethylene tác dụng với HBr với H2O xúc tác H+

* Phản ứng khi cho ethylene tác dụng với H2O (xúc tác H+):

CH2=CH2 + H2O →H+ CH3-CH2-OH

Cơ chế phản ứng:

– Quá trình proton hoá liên kết đôi C = C của ethylene tạo thành carbocation:

Trình bày cơ chế phản ứng khi cho ethylene tác dụng với HBr với H2O xúc tác H+

– Quá trình nước cộng hợp vào carbocation:

Trình bày cơ chế phản ứng khi cho ethylene tác dụng với HBr với H2O xúc tác H+

– Quá trình tách proton để tạo alcohol:

Trình bày cơ chế phản ứng khi cho ethylene tác dụng với HBr với H2O xúc tác H+

Câu hỏi thảo luận 4 trang 12 Chuyên đề Hóa học 12: Cho biết hướng tạo ra sản phẩm chính và hướng tạo ra sản phẩm phụ trong Ví dụ 6.

Lời giải:

Ví dụ 6: Cơ chế phản ứng cộng HCl vào 2 – methylpropene như sau:

Cho biết hướng tạo ra sản phẩm chính và hướng tạo ra sản phẩm phụ trong Ví dụ 6

Hướng tạo ra sản phẩm chính là hướng (1):

Cho biết hướng tạo ra sản phẩm chính và hướng tạo ra sản phẩm phụ trong Ví dụ 6

Do 2 – methylpropene là alkene bất đối xứng nên phản ứng cộng HCl vào alkene này sẽ ưu tiên theo hướng tạo thành carbocation bền hơn, ta lại có độ bền:

Cho biết hướng tạo ra sản phẩm chính và hướng tạo ra sản phẩm phụ trong Ví dụ 6

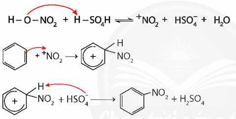
Câu hỏi thảo luận 5 trang 13 Chuyên đề Hóa học 12: Xác định tác nhân electrophile trong phản ứng của benzene và dung dịch HNO3 đặc và H2SO4 đặc.

Lời giải:

Cơ chế phản ứng khi cho benzene tác dụng với HNO3 đặc và H2SO4 đặc xảy ra như sau:

Xác định tác nhân electrophile trong phản ứng của benzene và dung dịch HNO3 đặc và H2SO4 đặc

Luyện tập trang 13 Chuyên đề Hóa học 12: Trình bày cơ chế phản ứng khi cho benzene tác dụng với Br2, xúc tác FeBr3 tạo thành monobromobenzene. Tác nhân electrophile tạo thành từ sự kết hợp giữa Br2 và FeBr3 được biểu diễn như sau:

Br2 + FeBr3 → Br+ + [FeBr4]−

Lời giải:

Cơ chế phản ứng xảy ra như sau:

– Quá trình hoạt hoá tác nhân Br2 bằng FeBr3:

Trình bày cơ chế phản ứng khi cho benzene tác dụng với Br2 xúc tác FeBr3

– Quá trình tương tác giữa benzene và tác nhân electrophile:

Trình bày cơ chế phản ứng khi cho benzene tác dụng với Br2 xúc tác FeBr3

– Quá trình tách proton để tạo thành sản phẩm:

Trình bày cơ chế phản ứng khi cho benzene tác dụng với Br2 xúc tác FeBr3

Luyện tập trang 14 Chuyên đề Hóa học 12: Trình bày cơ chế của phản ứng thuỷ phân 1 – bromobutane bằng dung dịch NaOH.

Lời giải:

CH3-CH2-CH2-CH2Br + NaOH →to CH3-CH2-CH2-CH2OH + NaBr

1 – bromobutane là dẫn xuất halogen bậc một, phản ứng chủ yếu xảy ra theo cơ chế SN2.

NaOH → Na+ + OH−

Trình bày cơ chế của phản ứng thuỷ phân 1 – bromobutane bằng dung dịch NaOH

Câu hỏi thảo luận 6 trang 14 Chuyên đề Hóa học 12: Xác định tác nhân nucleophile trong phản ứng iodomethane tác dụng với dung dịch sodium hydroxide.

Lời giải:

Cho iodomethane tác dụng với sodium hydroxide phản ứng xảy ra theo cơ chế như sau:

Xác định tác nhân nucleophile trong phản ứng iodomethane tác dụng với dung dịch sodium hydroxide

Tác nhân nucleophile trong phản ứng là: HO−.

Câu hỏi thảo luận 7 trang 14 Chuyên đề Hóa học 12: Xác định tác nhân nucleophile trong phản ứng khi cho acetone tác dụng với hydrogen cyanide.

Lời giải:

Tác nhân nucleophile trong phản ứng khi cho acetone tác dụng với hydrogen cyanide là: C−N.

Bài tập (trang 15)

Bài tập 1 trang 15 Chuyên đề Hóa học 12: Viết phương trình hoá học của phản ứng xảy ra khi cho 2 – methylpropane tác dụng với bromine trong điều kiện chiếu sáng tạo thành sản phẩm 2 – bromo – 2 – methylpropane. Giải thích bằng cơ chế phản ứng.

Lời giải:

Phương trình phản ứng:

Viết phương trình hoá học của phản ứng xảy ra khi cho 2 – methylpropane tác dụng với bromine

Cơ chế phản ứng:

– Giai đoạn khơi mào:

Viết phương trình hoá học của phản ứng xảy ra khi cho 2 – methylpropane tác dụng với bromine

– Giai đoạn phát triển mạch:

Viết phương trình hoá học của phản ứng xảy ra khi cho 2 – methylpropane tác dụng với bromine

….

– Giai đoạn tắt mạch:

Viết phương trình hoá học của phản ứng xảy ra khi cho 2 – methylpropane tác dụng với bromine

…

Bài tập 2 trang 15 Chuyên đề Hóa học 12: Trình bày cơ chế phản ứng cộng nước (xúc tác H+) vào 2 – methylpropene và xác định sản phẩm chính theo quy tắc Markovnikov.

Lời giải:

Phương trình hoá học:

Trình bày cơ chế phản ứng cộng nước xúc tác H+ vào 2 – methylpropene và xác định sản phẩm

Cơ chế phản ứng:

Trình bày cơ chế phản ứng cộng nước xúc tác H+ vào 2 – methylpropene và xác định sản phẩm

Bài tập 3 trang 15 Chuyên đề Hóa học 12: Benzaldehyde cyanohydrin có thể được tạo thành từ phản ứng hoá học giữa benzaldehyde và HCN. Viết phương trình hoá học và giải thích bằng cơ chế phản ứng.

Lời giải:

Phương trình hoá học:

Benzaldehyde cyanohydrin có thể được tạo thành từ phản ứng hoá học giữa benzaldehyde và HCN

Cơ chế phản ứng:

HCN ⇌ H+ + –CN

Benzaldehyde cyanohydrin có thể được tạo thành từ phản ứng hoá học giữa benzaldehyde và HCN

Xem thêm các bài giải Chuyên đề học tập Hóa học 12 Chân trời sáng tạo hay, chi tiết khác:

Bài 1: Khái niệm cơ chế phản ứng hữu cơ

Bài 2: Một số cơ chế phản ứng trong hoá học hữu cơ

Bài 3: Quy trình thủ công tái chế kim loại và một số ngành nghề liên quan đến hoá học tại địa phương

Bài 4: Công nghiệp silicate

Bài 5: Xử lí nước sinh hoạt

Bài 6: Một số khái niệm cơ bản về phức chất

Tags : Tags 1. Giải Hóa học 12 Bài 30: Thực hành: Tính chất của natri   magie   nhôm và hợp chất của chúng
Share
facebookShare on Facebook

Bài liên quan

Giải Chuyên đề Hóa học 12 Chân trời sáng tạo | Chuyên đề học tập Hóa 12 Chân trời sáng tạo (hay, ngắn gọn)

Giải Chuyên đề Hóa học 12 Cánh diều | Chuyên đề học tập Hóa 12 Cánh diều (hay, ngắn gọn)

Chuyên đề Hóa 12 Chân trời sáng tạo Bài 1: Khái niệm cơ chế phản ứng hữu cơ

Chuyên đề Hóa 12 Chân trời sáng tạo Bài 3: Quy trình thủ công tái chế kim loại và một số ngành nghề liên quan đến hoá học tại địa phương

Chuyên đề Hóa 12 Chân trời sáng tạo Bài 4: Công nghiệp silicate

Chuyên đề Hóa 12 Chân trời sáng tạo Bài 5: Xử lí nước sinh hoạt

Chuyên đề Hóa 12 Chân trời sáng tạo Bài 6: Một số khái niệm cơ bản về phức chất

Chuyên đề Hóa 12 Chân trời sáng tạo Bài 7: Liên kết và cấu tạo của phức chất

Mục lục

  1. Giải Chuyên đề Hóa học 12 Chân trời sáng tạo | Chuyên đề học tập Hóa 12 Chân trời sáng tạo (hay, ngắn gọn)
  2. Giải Chuyên đề Hóa học 12 Cánh diều | Chuyên đề học tập Hóa 12 Cánh diều (hay, ngắn gọn)
  3. Chuyên đề Hóa 12 Chân trời sáng tạo Bài 1: Khái niệm cơ chế phản ứng hữu cơ
  4. Chuyên đề Hóa 12 Chân trời sáng tạo Bài 3: Quy trình thủ công tái chế kim loại và một số ngành nghề liên quan đến hoá học tại địa phương
  5. Chuyên đề Hóa 12 Chân trời sáng tạo Bài 4: Công nghiệp silicate
  6. Chuyên đề Hóa 12 Chân trời sáng tạo Bài 5: Xử lí nước sinh hoạt
  7. Chuyên đề Hóa 12 Chân trời sáng tạo Bài 6: Một số khái niệm cơ bản về phức chất
  8. Chuyên đề Hóa 12 Chân trời sáng tạo Bài 7: Liên kết và cấu tạo của phức chất
  9. Chuyên đề Hóa 12 Chân trời sáng tạo Bài 8: Vai trò và ứng dụng của phức chất

  • Quên mật khẩu
  • Login
  • Đăng ký
Copyright © 2025 Cộng đồng học tập lớp 12
Back to Top
Menu
  • Thi đấu
  • Sitemap
Tài khoản

  • Đăng ký
  • Lost your password ?